目录
集合等式证明
定理:对于任意两个集合A和B,A⊆B且B⊆A,当且仅当A=B。
集合表示,集合基数计算
集合表示
- 枚举法:将集合中的元素全部列出,写在花括号内,元素之间用逗号隔开({1, 2, 3})。
- 描述法:通过刻画集合中元素所具备的某种特性来表示集合(A={x | P(x)})。
- 图形法(文氏图法):利用平面上点的对应元素的封闭区域对集合进行图解表示(一般通过方形或圆形表示一个集合)。

集合基数计算
基数:一个集合中的元素个数称为集合的基数(用 |A| 或 card(A) 表示)。
幂集:对于任意集合A,由A的所有不同子集为元素组成的集合称为A的幂集合,简称为幂集(用P(A) 或 2^A表示)。
如果| A | = n,则 | P(A) | = 2^n 。
容斥原理:设A,B是有限集合,则:
| A U B | = | A | + | B | - | A ∩ B |
而对于有限集合A、B和C,AUBUC 的基数为:
| A U B U C | = | A | + | B | + | C | - | A ∩ B | - | A ∩ C| - | B ∩ C | + | A ∩ B ∩ C |
因此可以得出容斥原理的推论
对于有限集合 Ai ( i = 1, 2, 3, 4 ... n),其基数为:

容斥原理的应用:


关系定义、性质,关系运算
关系定义
序偶
由两个元素x和y按照一定的次序排列成的二元组称为一个有序对或序偶,记为<x,y>。
其中,x称为序偶的第一元素或前元素,y称为序偶的第二元素或后元素。
两个序偶的前元素和后元素分别都相等时,才能称两个序偶相等。
笛卡尔积
对于集合A和B,以A中元素为第一元素,B中元素为第二元素组成序偶,所有这样的序偶组成的集合称为A和B的笛卡尔积,记作A×B:
A×B = {<x, y> | x ∈ A, y ∈ B }
关系
如果一个集合的全体元素都是序偶,则称这个集合为一个二元关系,简称为关系,记作R。
对于某个二元关系R,若<x, y> ∈ R,则称x与y以R相关,也常记为xRy。
设A、B为任意集合,将A×B的任一子集R称为集合A到集合B的一个关系(当A = B时,称R为A上的关系)。
常见特殊关系
空关系:对于非空集合A,空集∅称为A上的空关系。
全域关系:关系Ea = { <x, y> | x ∈ A, y ∈ A } 。
恒等关系:关系Ia = { <x, x> | x ∈ A }。
等价关系:见下文。
偏序关系:见下文。
关系表示
1.集合法
上面对关系的定义就是用集合表示关系的,一般常用集合表示。
例题:


2.关系图
简单来说就是序偶 <x, y> 由 x 指向 y。


3.关系矩阵
<x, y>存在,则点(x, y)为1,否则为0。


关系性质
大家根据定义判断比较方便

关系运算
基本运算(集合运算):并、交、差、补、对称差。(关系是一种集合,集合的所有基本运算都使用与关系)
特殊运算:复合运算、逆运算、幂运算、闭包运算。
复合运算
设R是一个从集合A到集合B的关系,S是从集合B到集合C的关系,则定义关系R和S的复合关系为集合A到集合C的关系。(类似传递)

逆运算
设R是一个集合A到集合B的关系,则定义关系R的逆关系为集合B到集合A的关系。

幂运算
设R是一个集合A上的关系,n为自然数,则,关系R的n次幂(R的n次幂就是n次个R的复合)定义为:

闭包运算
闭包运算分为自反闭包( r(R) )、对称闭包 ( s(R) )、传递闭包 ( t(R) )
实际上就是对集合上的关系,添加最少的元素,使其具有相关的性质。
例如:
自反闭包


添加了<2, 2>,<3, 3>,用最少的元素使其满足自反性。
对称闭包


添加了元素<3, 1>,使得新关系s(R)具有对称性。
偏序关系定义、哈斯图、特殊元素
偏序关系
对于非空集合A上的二元关系R,如果R是自反的,反对称的和传递的,则称R为A上的偏序关系;
简称偏序,记为 "≤",并将序偶 <x, y> ∈ R记为 x ≤ y。
注意:这里的 "≤" 不是数值的大小,而是在偏序关系中的顺序性。x ≤ y 的含义是:依照这个序,x在偏序上排在y的前面或相同。
哈斯图
可比、不可比、盖住定义
设R为非空集合A上的偏序关系,对于任意元素x, y ∈ A,
- 若 x ≤ y 或者 y ≤ x,则称 x 与 y 是可比的;
- 若 x ≤ y 且 x ≠ y,则称 x 排在 y 的前面,记 x < y;
- 若 <x, y> ∉ R 且 <y, x> ∉ R,则称 x 与 y 是不可比的;
- 若 x < y 且不存在元素 z ∈ A,使得 x < z 且 z < y,则称 y 盖住 x。
绘制步骤
- 以 "·" 表示元素;
- 若 x < y,则 y 画在 x 的上层;
- 若 y 盖住 x,则连线;
- 不可比的元素可画在同一层。
例子:


偏序关系8种特殊元素
大家根据核心特征进行判断比较容易懂。
| 特殊元素类型 | 定义(设偏序集为⟨A, ≤⟩,x∈A) | 核心特征 | 关键说明 |
| 最大元 | 对所有 a∈A,都有 a ≤ x | 能 “大于等于” 集合 A 中所有元素,若存在则唯一 | 需覆盖整个集合,不存在比它更大的元素;与极大元的区别是 “全局支配” 而非 “局部无更大” |
| 最小元 | 对所有 a∈A,都有 x ≤ a | 能 “小于等于” 集合 A 中所有元素,若存在则唯一 | 需覆盖整个集合,不存在比它更小的元素;与极小元的区别是 “全局被支配” 而非 “局部无更小” |
| 极大元 | 不存在 a∈A,使得 x ≤ a 且 x ≠ a | 集合 A 中没有比它更大的元素(局部顶端),可能不唯一 | 无需支配所有元素,仅自身无 “上界”;若存在最大元,则最大元是唯一的极大元 |
| 极小元 | 不存在 a∈A,使得 a ≤ x 且 x ≠ a | 集合 A 中没有比它更小的元素(局部底端),可能不唯一 | 无需被所有元素支配,仅自身无 “下界”;若存在最小元,则最小元是唯一的极小元 |
| 上界 | 对所有 a∈A,都有 a ≤ x(x 可∈A,也可∉A) | 能 “大于等于” 集合 A 中 所有元素,允许在集合A外,可能不唯一 | 范围比最大元广(最大元是属于 A 的上界);多个上界中可能存在 “最小的上界”(上确界) |
| 下界 | 对所有 a∈A,都有 x ≤ a(x 可∈A,也可∉A) | 能 “小于等于” 集合 A 中 所有元素,允许在集合A外,可能不唯一 | 范围比最小元广(最小元是属于 A 的下界);多个下界中可能存在 “最大的下界”(下确界) |
| 上确界 | x 是 A 的所有上界中最小的那个(即 x 是上界,且对 A 的任一上界 y,都有 x ≤ y) | 是所有上界的最小元,若存在则唯一;必须满足 “最小性” | 上确界可能属于 A(此时即为最大元),也可能不属于 A;无界的集合不存在上确界 |
| 下确界 | x 是 A 的所有下界中最大的那个(即 x 是下界,且对 A 的任一下界 y,都有 y ≤ x) | 是所有下界的最大元,若存在则唯一;必须满足 “最大性” | 下确界可能属于 A(此时即为最小元),也可能不属于 A;无界的集合不存在下确界 |
例如:
集合A = {e1, e2, e3, e4, e5, e6, e7}。
偏序关系和哈斯图如下 ,



等价关系定义、等价类、划分
等价关系
设R为非空集合A上的关系(即A≠∅且R⊆A×A),如果R是自反的、对称的和传递的,则称R为A上的等价关系。
设R是一个等价关系,若<x, y>∈R,则称x与y等价。
等价类
设R是非空集合A上的等价关系,对任意x∈A,称集合

为x关于R的等价类。(其中x为[x]的生成元或代表元)
例题:
设R是集合A = {1, 2, 3, 4, 5, 6, 7, 8}上的模3同余关系,试用关系图表示该关系?并求R的所有等价类。

对于任意x, y∈A,如果<x, y>∈R,则[x] = [y]。
商集
设R是非空集合A上的等价关系;将由R的所有等价类构成的集合称为A关于R的商集,记作A/R。

例子:
集合 A = {1, 2, 3, 4, 5, 6, 7, 8}。

划分
对于非空集合A,S={S1, S2, ... , Sm}如果满足
- Si ⊆ A 且 Si ≠ ∅ (i=1, 2, ..., m),
- Si ∩ Sj = ∅(i ≠ j; i = 1, 2, ..., m; j = 1, 2, ..., m),
- S1 ∪ S2 ∪ ... ∪ Sm = A
则称S为A的一个划分,而S1,S2,...,Sm分别称为这划分的块或类。

等价类、商集与划分:
设R是非空集合A上的等价关系,则集合A上关于R的商集A/R是A的一个划分。(称之为由等价关系R导出的等价划分)
每个等价类都是一个划分块。
设{S1, S2, ..., Sm}是非空集合A的一个划分,则由该划分确定的关系
R = (S1 × S1) ∪ (S2 × S2) ∪ ... ∪ (Sm × Sm)
是A上的等价关系,称之为由该划分所导出的等价关系。
例题:设集合A = {1, 2, 3, 4, 5}。
关系求划分


划分求关系


函数定义、特殊函数、函数运算及函数性质证明
函数定义
设f是集合A到B的关系,如果对每个 x∈A ,都存在唯一的 y∈B 使得 <x, y>∈f,则称关系 f 为集合A到集合B的函数或映射,记为 f: A -> B 或 y = f(x)。
其中x为函数 f 的自变量或源点,y为x在函数 f 下的函数值或像点。
集合A称为函数 f 的定义域,记为dom f = A。所有像点组成的集合称为函数f的值域或函数f的像,记为ran f 或 f(A)
函数是一种特殊的关系,它要求A中每一个元素都与B中元素相关。
函数判断
- 定义域是集合A,而不能是集合A的任意一个真子集。
- 对于定义域中的任意一个元素都有唯一的值和其对应,也就是说只能是多对一,而不能是一对多,称之为像点的单值性。
- 集合A到B的函数 f 的值域 f(A) 是集合B的子集,即f(A) ⊆ B。
- f(x)表示一个函数值,f是一个序偶的集合,因此f(x) ≠ f。
例子:
判断下列关系那些是函数?


特殊函数
1.单射函数
设 f 是 集合A 到 B 的函数,对于A中任意两个元素 x 和 y,如果 x ≠ y 时,都有 f(x) ≠ f(y) ,则称f是集合A到B的单射函数或一对一的映射。
必要条件:|A| ≤ |B|

2.满射函数
设 f 是 集合A 到 B 的函数,如果函数f的值域恰好是集合B,即f(A) = B,则称f是集合A到B的满射函数或A到B上的映射。
必要条件:|B| ≤ |A|

3.双射函数
设f是集合A到B的函数,如果函数f既是集合A到B的单射函数,又是集合A到B的满射函数,则称f是集合A到B的双射函数或一一对应的映射。
必要条件:|A| = |B|

函数运算
复合运算
对于集合A到B的函数f和集合B到C的函数g,复合关系 f∘g 称为函数f和函数g的复合函数,记为f∘g: A -> C。("∘"为函数的复合运算)
注意:<x, z> ∈ f∘g 是指存在 y 使得 <x, y> ∈ f 和 <y, z> ∈ g,即 y = f(x),z = g(y),f∘g(x) = g(f(x))。(f∘g 是函数,f∘g(x)是变量x的函数值)
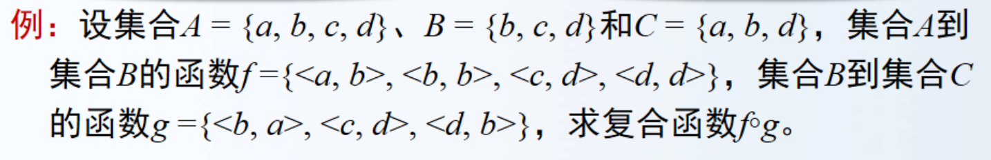
例子:


相关性质
- 若f 和 g 都是单射/满射/双射,则f∘g也是单射/满射/双射。
- 若 f∘g 是单射,则f是单射,但g不一定是单射。
- 若 f∘g 是满射,则g是满射,但f不一定是满射。
- 若 f∘g 是双射,则f是单射,g是满射。
逆运算
对于集合A到B的关系g,如果关系g是A到B函数且其逆关系g^-1是B到A函数,那么称g^-1是函数g的逆函数或反函数,记为g^-1: B -> A。并称 "-1" 为函数的逆运算。
如果g是集合A到B的双射函数,则g的逆关系g^-1是集合B到A的函数(即一定存在逆函数)。
例子:


逆函数的求法:
遵循 “反解变量 → 互换变量 → 确定定义域” 的流程:
- 反解变量:从原函数 y = f(x) 中,把 x 用 y 表示出来(即解关于 x 的方程);
- 互换变量:将 x 和 y 互换,得到 y = f^-1(x)(符合自变量用 x 表示的习惯);
- 确定定义域:逆函数的定义域 = 原函数的值域,需明确标注(避免定义域错误)。
可以通过f(f^-1(x)) = x验证逆函数是否正确。
集合论的旅途到这里就要结束了,接下来还会有命题逻辑与图论。没点关注的点点赞,没点赞的点点收藏,没点收藏的点点关注,我们下次再见。
5672

被折叠的 条评论
为什么被折叠?



