电路设计对并联锂离子电池单元在光伏家庭储能系统中负载分配和性能的影响
Thorsten Grün*,1, Kevin Stella2, Olaf Wollersheim3
卡尔斯鲁厄 在德国卡尔斯鲁厄理工学院(KIT)纳米技术研究所‐项目能力中心E,Hermann‐von‐Helmholtz‐Platz1,76344,Eggenstein‐ Leopoldshafe n, 德国
摘要
在锂离子家庭储能系统的并联电池电路中,电路的元件以及拓扑结构对单体电池之间的电流分布具有巨大影响, 进而影响电池寿命。对于大型电池组,通常采用焊接技术,这就需要可焊接的集流体。由于常用材料的比电阻较高,该电阻显著影响电流分布。
本文对并联连接的锂离子电池电池模块中的电流分布进行了测量和建模。通过改变电池内阻、集流体电阻以及电路拓扑结构,确定了这些参数对电流分布的影响。在假设符合商用家庭储能系统实际工作条件的充放电曲线的基础上,对电池模块的循环寿命进行了模型计算。
从实验数据和建模结果中提取了决定电池模块电流分布均匀性和循环寿命的最重要参数。最后,得出了并联连接的锂离子电池的设计建议。
© 2018 Elsevier Ltd. 版权所有。
1. 引言
锂离子电池系统采用分级设计原则构建:电池由一个或多个电池模块组成,而这些电池模块又由确定数量>1 的单体电池构成。在商用家庭储能系统中,通常使用由低成本圆柱形电池组成的电池模块,其平均容量为2–3安时(相当于7–11瓦时)。由于该应用所需的总能量在1–10 千瓦时左右,因此需要在一个或多个更多的电池模块。为了满足安全要求,将电池电压保持在48伏以下是非常方便的,这就需要将多个单体电池并联连接,因为单个锂离子电池的最大电压通常为3.6–4.2伏。与串联连接中流经各电池的电流在设计上必然完全相同不同,并联电路中通常会出现不对称电流分布。这是因为只有当并联电路中每条支路的电阻完全相等时,并联电池才会承受完全相同的电流,而现实中系统无法达到这种理想情况。因此,各电池所承受的充电累积量和温度升高程度不均等,这将导致电池的老化程度不同,进而影响电池系统的性能和寿命。Kamalisiahrodui等人[1] 以及 Bruen和Marco[2] 研究了2个或4个电池并联配置下并联电池的一般电流分布情况。造成此类不对称电流分布的原因例如包括电池参数的样本差异,如电学上的单体电池内阻R cell 和发射系数e等。
*通讯作者。电子邮件地址:thorsten.gruen@kit.edu(T.格伦)。 1现就职于德国 埃根施泰因‐勒奥波德沙芬赫尔曼‐冯‐亥姆霍兹广场1号,76344,卡尔斯鲁厄理工学院,电气工程研究所‐储能系统。2现就职于德国斯图加特邮政信箱300240,70442,罗伯特·博世有限公司。3现就职于德国弗赖兴恩斯特‐海因里希‐盖斯特街5号,50226,索尔瓦特创新有限公司。
标称容量C n,Gogoana等人[3]此前已有报道。他们指出,在72个电池单元的批次中,Rcell的差异可达24.7%,C n的差异可达3.6%。M.J.Brand等人[4]的研究示例性地展示了初始电池参数偏差对电流分布的影响。Fleckstein等人报告[5], ,由于主动冷却导致电池模块内温度不均,也会引起个体老化行为。其中,温度不均会影响每个单体电池的Rcell ,从而导致电流分布不对称。
不对称电流分布会导致电池内单体的荷电状态(SOC)不均,以及单体开路电压UOCV的差异。当电流骤降时(例如充电或放电结束),这些UOCV差异将引起交换电流。只要各个单体电压未完全平衡,这些电流就会持续存在,进一步加剧单体的应力。M.Dubarry等人[6] 在其研究中分析了并联锂离子电池的这种均衡行为,并通过实验表明,在电压差为0.5V时,两个连接的单体之间产生的交换电流约为1C。
在将电池电气集成到电池模块时,除了锂离子电池外,还需要一个集流体来连接各个单体电池。互连部件(焊接、接触焊点等)以及集流体本身均表现为电阻,会影响并联电池中的电流分布,进而影响系统的老化行为。尽管电池的内阻以及可能的互连电阻会受到复杂的退化机制影响,在一阶近似下,集流体的电阻可被视为随时间保持恒定。然而,每个电池对应的集流体电阻绝对值在很大程度上取决于电路设计、集流体材料和几何结构,因此可由开发者进行设计。
本文报告了基于电‐热模型的实验与建模结果,展示了并联锂离子电池之间的电流分布均匀性如何由电路设计本身决定。本研究基于商用家庭储能系统中常见的材料和电路设计。将讨论在使用光伏组件等波动较大的可再生能源运行时,对老化和性能的影响。
2. 建模
2.1. 电池单体电池模型
对于锂离子电池系统的精确建模,必须考虑单体电池及系统的电学和热学行为。因此,我们希望提出一种与热模型耦合的等效电路模型 (ECM)。
2.1.1. 电气子模型
电池电气模型应能够描述单体电池的电气行为以及电池系统的电气行为。在并联电池的特定情况下,必须考虑由于非均匀电流分布导致不同SOC而引起的电池间的额外相互作用,这些相互作用会影响电池特性,如U OCV 和R cell 。
何等人[7]总结了可用于单体电池建模的等效电路模型。对于我们的单体电池模型,我们选择了戴维南模型,包括U OCV 、R cell 以及一个 RC电路(包含R p 和C p ),用于表示以扩散、电荷传输和双电层效应形式存在的过电压U RC (见图1和公式(1))。
$$
U_{RC} = - \frac{1}{R_P(t)C_P(t)} U_{RC}(t) + \frac{I_{cell}(t)}{C_p(t)}
\quad (1)
$$
Rcell表示由电极、隔膜和电解质引起的欧姆电阻效应。它取决于电池化学体系、SOC、单细胞温度Tcell以及由老化引起的电池老化程度。在我们的模型中,UOCV仅取决于电池化学体系和SOC。
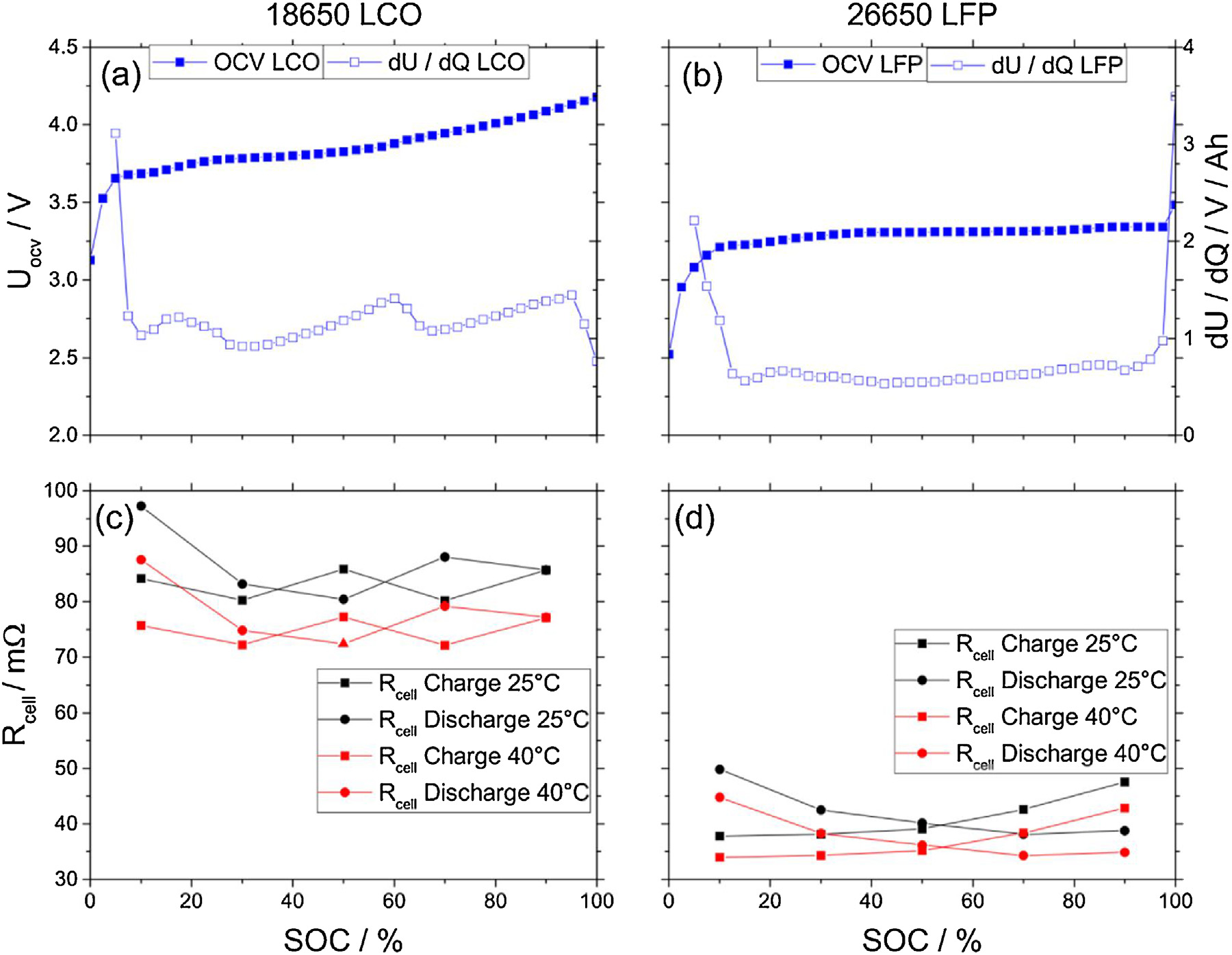
SOC、UOCV与微分电压dUOCV/dQ之间的关系具有非线性特性,可通过查表法实现并进行模拟(参见图2(a–b))。单体电池连接至集流体的电阻Rtransfer在等效电路模型中被视为欧姆电阻。正负极的Rtransfer使用HIOKI3554电池测试仪(1kHz、150mA交流测量电流)进行测量,其值取决于所选用的连接技术以及电池壳体材料。
在市面上可提供的多种圆柱形电池化学体系中,本研究选用了两种,即磷酸铁锂(LFP)和钴酸锂(LCO)。我们选择这两种电池化学体系主要是因为它们具有不同的UOCV特性以及对电流分布可能产生不同的影响。LFP的典型特征是在较大的SOC范围内UOCV曲线非常平坦,而LCO的UOCV曲线则表现出更明显的连续斜率。LFP电池采用26650型号外壳,额定容量为3安时;LCO电池采用18650型号外壳,容量为2.45安时。
对于这两种电池化学体系,测量了4个电池单元的R cell 和U OCV 。在25 °C和40 °C温度下,通过使用0.5C充放电脉冲持续20秒的方法,测量了多个 SOC下的R cell (见图2)。
Rp和C p是根据Huria等人[8]所述,使用MATLAB ©优化工具箱确定的。其中采用非线性的勒文贝格‐马夸尔特算法,对参数RP和CP进行拟合,以最小化在0.5C充放电脉冲期间每个时间步长t的测量电压 ûcell与模拟电压Ucell之间的最小二乘误差。
$$
\arg \min_u \sum_{t=1}^{N} (U_{cell}(t; u) - \hat{U}_{cell}(t))^2 \
u = [R_p, C_p]
\quad (2)
$$
$$
U_{cell}(t) = U_{OCV}(t) - (R_{cell}(t) + R_{transfer,+} + R_{transfer,-})I_{cell}(t) - U_{RC}(t)
\quad (3)
$$
2.1.2. 热子模型
流经单体电池的电流会产生热量,该热量取决于单个单体电池的电流I cell 以及由焦耳热定律给出的欧姆电阻R cell 和R transfer 。必须考虑接触电阻R transfer ,因为在圆柱形电池中,接触部分与电池热耦合良好,因此会直接导致电池发热。在一阶模型中,我们重点关注单个单体电池在均匀环境中的热交换(对流、辐射)条件下的温度变化。更精确的高阶模型将包含考虑电池单元之间的热相互作用以及电池模块冷却概念的细节。由于我们希望推导出非常通用的电路设计原则的影响,因此决定为了通用性而接受一阶精度。
我们考虑了由于对流面积Acell(根据数据表中的几何数据计算出的单体电池表面积)、周围环境温度T surr以及传热系数l c所带来的冷却效应。此外,我们也以简化的方式考虑了辐射的影响。由于我们的仿真和实验均在 50 °C以下进行,因此我们采用辐射效应P r通用公式 (式(4))中的四次方描述,其中
- e: 发射系数
- Tcell: 单体电池温度
- Tsurr: 环境温度
- s: 斯特藩‐玻尔兹曼常数
- Acell: 表面积
$$
P_r = \epsilon \sigma A_{cell} (T_{cell}^4 - T_{surr}^4)
\quad (4)
$$
关于能量守恒,单体电池温度T cell 随时间的变化由有效热源和冷却效应决定,可根据公式(5)计算,其中mcell 为单体电池的质量,h c 为比热容,l r 为辐射的传热系数(表1)。
$$
m_{cell} h_c \frac{dT_{cell}}{dt} = (R_{cell}(SOC, T_{cell}) + R_{transfer,+} + R_{transfer,-}) I_{cell}^2 - \lambda_c (T_{cell} - T_{surr})A_{cell} - \lambda_r (T_{cell} - T_{surr})A_{cell}
\quad (5)
$$
2.1.3. 老化子模型
绍尔和温茨尔在其研究[11] 中提出了针对电池系统的不同寿命预测模型的比较。我们采用基于安时(Ah)累积量的加权模型,该模型假设给定安时累积量对单体电池寿命的影响还取决于安时累积过程中具体条件的影响。偏离标准条件(温度、电流)会导致电池寿命的虚拟减少。
此类老化模型在文献中已被用于多种电池化学体系。例如,杜福‐洛佩斯等人[12] 在模拟独立光伏系统中对比了三种典型的铅酸电池老化模型。他们得出结论:计算得到的寿命大约是实际系统中寿命的三倍。然而,席费尔等人的加权Ah模型[13] 取得了最佳结果,与实际寿命非常接近。对于锂离子电池系统的寿命估算,也使用了加权Ah模型,奥诺里等人[14], 、马拉诺等人[15] 以及迪菲利皮等人[16] 的研究表明该模型可用于描述插电式混合动力汽车中的老化过程。但Ah模型的精度主要取决于描述老化效应的详细程度。
测量的 U OCV 和 微分电压dU OCV /dQ 随SOC的变化曲线,适用于 LFP 和 LCO 电池单元 在多个 SOC 条件下的结果;(b–c) R cell 曲线 在不同 充电 和 放电 方向、多个 SOC 及温度条件下对于LFP 和 LCO的结果)
表 1 单体电池模型热子模型的参数
| hc /J(g开尔文)⁻¹ | lr /瓦特(开尔文)⁻¹ | lc /瓦特 (米²开尔文)⁻¹ |
|---|---|---|
| 通用 | 0.6–1.8 [8–10] | 3–5 |
| 磷酸铁锂 26650 | 0.9 | 3 |
| 钴酸锂 18650 | 1.5 | 3 |
在我们的模型中,我们以阿伦尼乌斯定律的形式考虑温度影响,并引入增益因子a,以模拟瓦尔德曼等人[17] 提供的在多个温度下进行1C充放电循环测试时容量衰减的结果。当温度Tcell超过标准条件温度T SC (假定为 25 °C)时,温度权重系数wT(t)将加速虚拟老化过程,如公式(6)所示。
电流对老化的影响已由Ning等人[18] 以及Schuster等人[19]的研究表明。不仅增加的安时累积量,而且由于较大电流引起的更高过电压和材料应力都会加速老化。正如我们对wT所作的假设一样,仅当电流 Icell超过数据手册中规定的最大允许充放电电流ISC时,我们才根据公式(7)将电流导致的老化加速效应以权重系数wI的形式加以考虑。
$$
w_T(t) \rightarrow
\begin{cases}
\frac{T_{cell}(t)}{T_{sc}} > 1, & w_T(t) = \exp\left(a \frac{T_{cell}(t)}{T_{sc}} + 1\right) \
\frac{T_{cell}(t)}{T_{sc}} < 1, & w_T(t) = 1
\end{cases}
\quad (6)
$$
$$
w_I(t) \rightarrow
\begin{cases}
\frac{I_{cell}(t)}{I_{sc}} > 1, & w_I(t) = \frac{I_{cell}(t)}{I_{sc}} + 1 \
\frac{I_{cell}(t)}{I_{sc}} < 1, & w_I(t) = 1
\end{cases}
\quad (7)
$$
最后的加权安时 throughput(QTP)可通过对电流 flow与权重相乘后积分得到因素 wT和 wI分别用于表示温度和电流老化影响(见 公式 (8))。积分从寿命初期(BoL)开始。
$$
Q_{TP}(t) = \int_{t_{BoL}}^{t} |I_{cell}(t)| w_T(t) w_I(t) dt
\quad (8)
$$
老化模型基于健康状态(SOH)的估算,健康状态(SOH)定义为在时间t时的可用容量Cact与标称容量C n(在t= 0 时等于Cact)之间的百分比(见公式(9))。
$$
SOH(t) = \frac{C_{act}(Q_{TP}(t))}{C_n} \times 100\%
\quad (9)
$$
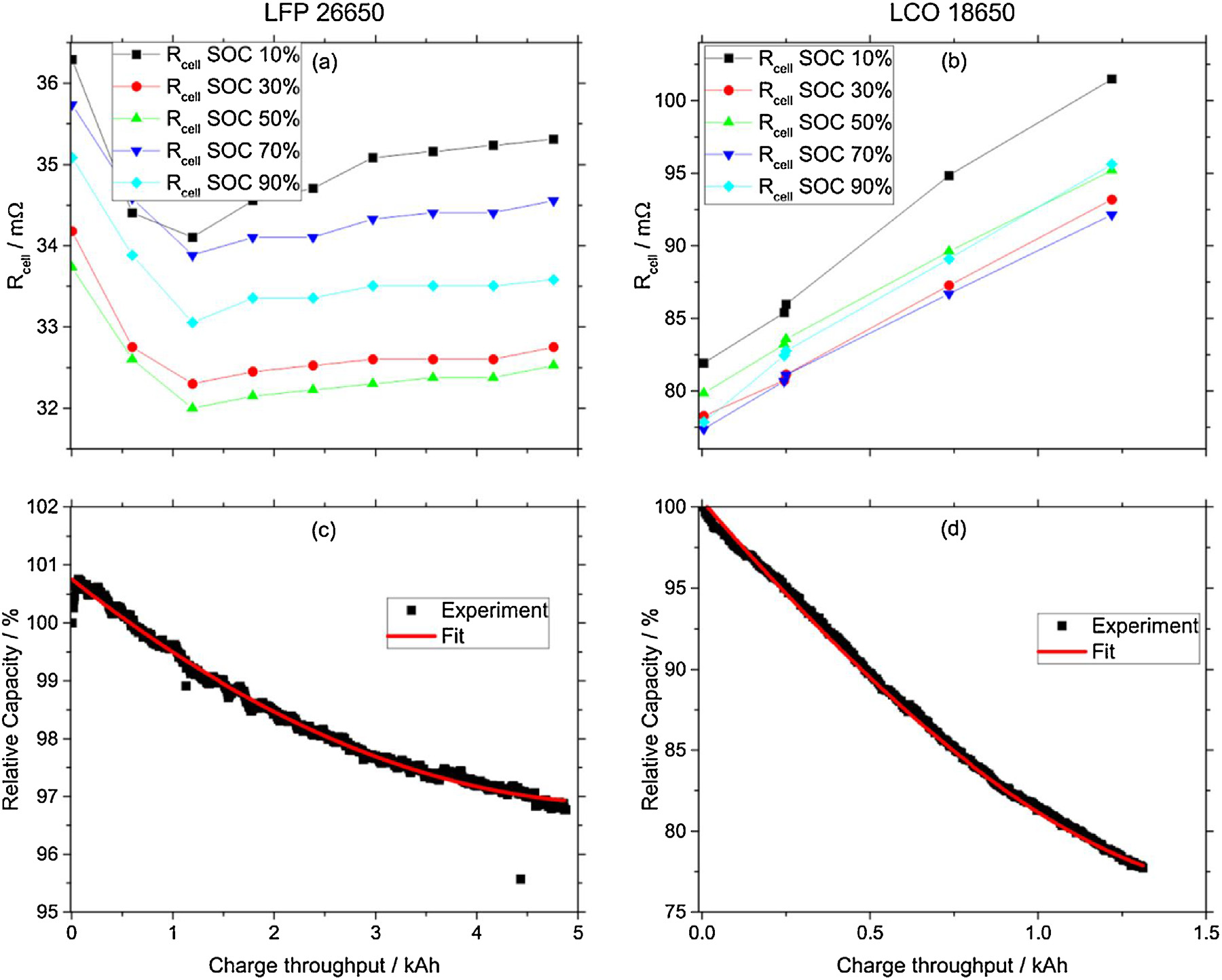
Cact可以被数学地描述为 QTP的函数 。我们根据实验 (见 图 3(a–b)) 假设其为二阶多项式函数 2次 函数 。系数 p1至 p3通过使用 MATLAB 2017a © 拟合函数确定。
$$
C_{act}(Q_{TP}) = p_1 Q_{TP}^2 + p_1 Q_{TP} + p_3
\quad (10)
$$
为了实验确定容量衰减以及电池单元内阻Rcell ,上述电池单元根据以下制度进行了100%放电深度(DOD)的循环测试,持续一定时间 (约2个月):
- 1 C 恒定电流恒压(CCVC) 充电 至 截止 电压 和 截止 电流 1/20 C 达到要求
- 1 C 恒定电流曲线 放电 至 最低 截止 电压 达到要求
测量 R cell 随SOC 和充电量 的变化情况; ( b ) 文中所述1C/1C循环测试过程中的相对容量衰减。相对容量以千安时为单位的充电量表示)
循环被周期性停止,并 Rcell 在 25 °C的温度下使用先前所述的方法进行测量。 循环过程中的温度达到最高温度为 34 °C。
为了建立电阻增长r growth随SOC、QTP和Tcell变化的模型,我们首先计算在当前QTP(t)下的Rcell与寿命初期(BoL)时的Rcell之比(见公式(11))。其中SOC和温度(Tcell= 25 °C)保持相同。
$$
r_{growth}(SOC, Q_{TP}(t)) = \frac{R_{cell}(SOC, 25°C, Q_{TP}(t))}{R_{cell}(SOC, 25°C, BoL)}
\quad (11)
$$
在实际温度Tcell 和SOC下,Rcell 乘以因子r growth(见公式 (12))。图4展示了单体电池模型示意图的通用概览。
$$
R_{cell}(SOC, T_{cell}, Q_{TP}(t)) = R_{cell}(SOC, T_{cell}) r_{growth}(SOC, Q_{TP}(t))
\quad (12)
$$
2.2. 电池模型
2.2.1. 通用方法
在包含圆柱形电池的家庭储能系统中,通常需要连接数百个电池单元以构成模块,再将这些模块连接形成电池组。从经济角度来看,采用焊接技术(超声波、电阻焊接、激光焊接)连接电池单元较为便捷,但由于工艺参数(如压力、焊点数量、温度等)的影响,可能会出现样品差异,从而影响连接电阻Rtransfer。Brand等人[20] 的研究比较了多种焊接技术,并揭示了工艺参数对焊接质量的影响。
除了电池单元外,集流体也是电路的一个组成部分,其电阻Rinter取决于集流体横截面A cross、材料的电阻率r以及长度l(见公式(13))。通常情况下,集流体材料的选择受限于所采用的连接技术。因此,在本研究中我们聚焦于镍作为集流体材料,这是由焊接圆柱形电池构成的电池模块设计中常用的材料。
$$
R_{inter} = \rho \frac{l}{A_{cross}}
\quad (13)
$$
图 5(a) 显示了一个由8个圆柱形磷酸铁锂单体电池并联连接到镍制集流体的锂离子电池模块电阻焊接。该模块可以通过将集流体和互连部件替换为欧姆电阻,以及将锂离子电池替换为电池ECM,从而转换为相应的模块等效电路模型 (参见图5(b))。根据模块电气连接位置的不同,可将此类设置分为拓扑结构1(T1)和拓扑结构2(T2)子系统,随后可将其转换为等效电路模型。
根据图5(e)所示ECM结构,n个并联电池之间的电流分布可表示为具有矩阵形式约束的动态线性优化问题(见公式(14))。向量i表示电路中每个节点的电流。矩阵R(t,Tcell)包含n个并联电池各电流路径的欧姆电阻,由于Rcell是温度、QTP和SOC的函数,因此该矩阵具有时间和温度相关性。向量uðtÞ 包含UOCV和URC,最终还包含系统总电流i1 tð Þ。在本模型中,矩阵R(t,Tcell)(n×n)为方阵,因此可通过克莱姆法则计算向量i的解。最后,Icell可通过公式(15)计算得出。
$$
R(SOC, T_{cell}, Q_{TP}) \tilde{i} = \tilde{u}(t)
\quad (14)
$$
$$
I_{cell,i} \rightarrow
\begin{cases}
i < n, & I_{cell,i} = i_i - i_{i+1} \
i = n, & I_{cell,n} = i_n
\end{cases}
\quad (15)
$$
2.2.2. 级联架构
实现电池并联连接的最简单方法已在图5中展示:所有电池单元直接并联连接到同一个模块集流体上。或者,可以通过将2个模块并联连接来实现相同8个电池的并联,其中每个模块仅包含4个并联电池。也可以通过连接4个模块,每个模块包含2个电池单元来实现。此处,总的并联电池数量n被级联为m个模块,每个模块由相同的电池单元数c组成,因此n= m c。我们引入一种命名法,以明确描述级联结构的结构。
该命名法应用于前述8个并联电池的例子如下:
- 级联 1: 4C2M (每个模块 4 个电池单元并联; 2 个模块 并联)
- 级联 2: 2C4M (每个模块 2 个电池单元并联; 4 个模块 并联)
- 级联 通用: xCyM (每个模块 x 个电池单元 并联 ; y个模块 并联)
即使是图5中完全没有级联的简单情况也被涵盖,这种情况将被表示为8C1M,加上级联1和级联2,从而描述了8个电池单元模块的所有三种可能的并联级联结构。图6描绘了并联电池单体的级联结构的示例配置。其中R cond 与图5中的R inter 功能相同,表示模块之间集流体的欧姆电阻。同样,欧姆电阻R link 与R transfer 功能相同(也可参考图5),表示模块与集流体R cond 之间的接触电阻。所提出的拓扑结构T1和T2同样可应用于多个模块并联连接结构中。
电池等效电路模型的示意图 模块; (c–d) 为研究选择的代表性拓扑结构 1 (T1) 和 2 (T2) ,可由三维等效电路模型 (b)转换而来; (e) T1和T2的等效电路模型 for T1 and T2)
由8C1M模块构建级联结构的示例设置,该模块包含8个并联电池单元; (c–d) 本研究中级联结构的等效电路模型(单体电池等效电路模型未显示))
3. 分析
实验研究的目标是分析电路设计、单体电池化学体系以及所选集流体材料和/或尺寸对并联电池电路中电流分布的影响。
实验研究分为 3项研究:旨在分析拓扑结构T1和T2下,采用不锈钢和铜制集流体的4c1m系统在恒定充放电条件下的电流分布;对采用商用镍制集流体的 4C1M磷酸铁锂系统在恒定充放电条件下的热行为进行热分析;针对2C4M、4C2M和8C1M系统,在磷酸铁锂体系下采用实际家用光伏储能充放电曲线进行电流分布研究。
- 研究A:在恒定充放电条件下,对采用不锈钢和铜制集流体的4c1m系统在拓扑结构T1和T2下的电流分布进行实验研究
- 研究B:在恒定充放电条件下,对采用商用镍制集流体的4C1M磷酸铁锂系统的拓扑结构T1和T2进行热分析
- 研究C:针对2C4M、4C2M和8C1M系统,在磷酸铁锂体系下采用实际家用光伏储能充放电曲线进行电流分布研究
基于模型的研究涉及模型的验证,并进一步分析在实际家用光伏储能充放电曲线作用下,实验研究系统的老化行为。该分析基于模型方法,用于评估系统长期运行性能变化。
3.1. 实验设置 用于 研究 A
在试验台(图9(a))中,4个电池单元并联连接,其中使用长约65 mm、横截面积为1.5 mm²的电缆作为Rtransfer。电池之间交替使用钢片(宽度:17.80 mm,厚度:0.50 mm,长度:32 mm)和铜(Cu)条(宽度:20 mm;厚度:7 mm;长度:33 mm)作为集流体。选用不锈钢片(ρ = 6.90 × 10⁻⁷ Ωm)来模拟高电导率材料(如镍;ρ = 6.99 × 10⁻⁸ Ωm)的影响,这类材料由于具有良好的可焊性而被用于商业系统中。相比之下,铜用于模拟采用大横截面集流体以降低Rinter的电池模块,并因其低电导率(ρ = 1.68 × 10⁻⁸ Ωm)而作为参考。我们假设拓扑结构(T1或T2)具有由于Rinter (<0.015 mV 测量 使用HIOKI 3554 电池测试仪)的电阻值极低,因此对电流分布没有影响。
使用HIOKI 3554电池测试仪的四探针法测量电缆、互连电阻以及电池支架接触弹簧的电阻,该测试仪精度为 ±1%,采用1 kHz、150 mA交流测量电流。电路元件的电阻算术平均值及相对标准偏差如图 9(b)所示。其中,由于铜排的电阻值极低,故忽略其R inter 。为计算每个单体电池的电流,在电池的一根电缆上测量电压降,所用仪器为安捷伦是德科技3972A万用表,精度为 6 1/2 – 数字 并 除以 电缆的 测量 电 阻 。
电流通过电缆时会产生热量,导致电缆温度升高。公式(20)表示电缆电阻随温度变化的影响及其相对于假设电缆电阻在实验温度范围内恒定的计算所产生的误差。在红外摄像头(见图9(c–d))进行的热分析中,于3安培下执行1C恒流恒压充电和1C恒流放电测试期间,我们观察到接触弹簧的最高温升为 5 °C。若将电缆温度为 25 °C时3安培下的计算电流 U 3A(25 °C)与 30 °C时的计算电流进行比较,则得到0.06安培的误差(3A的2%)。
考虑到这一点,在我们的研究中将忽略电缆电阻的温度依赖性。
$$
R_{transfer}(T) = R_{transfer}(T_0)[1 + \kappa_{Cu}(T - 25°C)] \
\kappa_{Cu} = 3.93 \times 10^{-3} °C^{-1} \
|I_{error}| = \left| \frac{U_{3A}(25°C)}{R_{transfer}(25 °C)} - \frac{U_{3A}(30°C)}{R_{transfer}(25 °C)} \right| = 0.06A
\quad (20)
$$
表3中列出的4种不同的4C1M系统使用BasyTec HPS电池测试仪进行0.25 C恒流恒压充电(至截止电压,截止电流为1/20 C)和0.25 C恒定电流曲线放电(至下限截止电压)。
3.2. 实验设置 用于 研究B
流经电池单元的电流会产生以热量形式出现的能量损耗。因此,对焊接电池组进行热分析是研究单体电池应力不平衡和检测低质量焊接电阻的一种极好的独立方法。在本研究中,两组采用拓扑T1和T2连接的4个LFP电池样品(图10)按照以下制度进行了循环测试:
使用BasyTec HPS电池测试仪以1 C(12 A)的电流将模块充电至充电终止电压3.6 V(截止电压,截止电流1/20 C)。当达到截止电流后,以1 C恒定电流曲线放电至下限截止电压2.0 V。测试过程中,采用红外(IR)相机(FLIR SC 640;精度 ±2%)监测两种拓扑结构的温度曲线。
该红外相机设有4个测量点以实现精确的温度测量,因此这些测量点用于测量每种研究拓扑结构中第一个和第四个单体电池的温度。在表示方式上,T1中的TIR,1和TIR,2分别表示第一个和第四个单体电池的测量温度;在T2中,单体电池1的温度由TIR,4表示,单体电池4的温度由TIR,3表示。
3.3. 研究C的实验设置
通过使用“SafetyFirst”项目(资助号03ET6055A)的测量数据,研究了图6(c–d)中典型拓扑结构的电路设计对家用储能应用典型充放电曲线下的电流分布的影响。该项目测量了一个带电网连接的光伏家用储能系统(光伏功率3.5 kWp;容量Cn 106 Ah;家庭年耗电量4200 kWh)内的功率流动情况(见图12),并将其按比例缩小,以匹配本研究中表4所列系统的容量。通过将KIT校园北区1兆瓦太阳能电站中一个 10 kW光伏子系统的实测功率数据缩小至3.5 kWp系统,模拟出真实的光伏发电波动。
关于研究A的试验台,在所有三种可能的拓扑结构中,对8个电池单元内的单体电流测量均采用相同的原理(见图11(a))。电路元件的电阻的算术平均值及其相对标准偏差如图11(b)所示。与研究A相同,铜系统的Rinter未被考虑。xCyM系统的Rtransfer通过所用的接触弹簧进行模拟(Rtransfer= 8–10 mV)。初始SOC选择为25%。
3.4. 仿真
3.4.1. 模型的验证
通过使用公式(21)计算模拟参数与测量参数之间的均方根误差( RMSE),确定了每个单体电池的电池模型精度,这些参数包括Icell、 Tcell和能量 throughput Qcell。
$$
RMSE = \sqrt{\frac{\sum_{i=1}^{k} (x_{m,i} - x_{s,i})^2}{k}}
\quad (21)
$$
其中,xm = measurement, xs = simulation, k = number of data points。
表 5列出了各电池单元的均方根误差(RMSE),该值表示在每种研究配置下,测量与模拟参数比较中的最大均方根误差。模型的电气部分通过测试台的实验数据在1秒分辨率下进行了验证,所用测试数据见图 9和图11,充放电曲线采用动态应力测试(DST),参考美国先进电池联盟《电动汽车电池测试程序手册》[21]。
该温度模型已通过采用相同动态应力测试测试工况的 4C1M 模块试验的实验数据进行了验证,且相同的1 s分辨率。温度通过安装在电芯本体中部的PT100温度传感器进行测量。温度模型还使用研究B中焊接式LFP T1 4C1M和LFP T2 4C1M系统在图10中的测量数据进行了验证。仿真以1 s的分辨率进行,且使用相同时间点的温度值来计算均方根误差(图13)。
3.4.2. 仿真设置
被分析系统经受了图12中C‐Rate曲线按各自系统容量缩放后的倍率曲线。电路元件的欧姆电阻值采用图9(b)和图11(b)中的算术平均值。当所选系统中的第一个电池单元达到最终SOH时,仿真结束,该条件出现在循环试验中(见图3(c–d))。由于所研究的电池单元表现出不同的老化行为,因此每个系统到达最终SOH所需的模拟步数s step均归一化为等效Cu系统的模拟步数sCu。我们以铜系统作为参考,因为假设在这些系统中,除非外部电路电阻出现偏差(例如Rtransfer、Rinter),否则将发生均匀老化。
4. 结果
4.1. 研究A: 恒定充放电
在本章中,我们希望总结研究A中恒定充放电曲线的结果。从图14可以明显看出,并联连接的电池单元强烈地依赖于电流的方向和该电流方向以及 SOC 。它在 SOC 极端值时达到最大值 (0–10% 和 90–100%) 。充电期间的不平衡比放电期间大 1.7–6.7 倍,在充电期间不平衡更大。
此外,从数据中可以明显看出拓扑结构的影响:在LFP T1系统中,不平衡在0.27 A至1.96 A之间变化,而在LFP T2系统中则降低至0.15– 1.02 A。通过降低集流体的电阻,不平衡可进一步降低至0.08–0.54 A,如LFP铜系统的数据显示。
最后,我们还观察到一种影响来自电池单体的化学体系:对铜基系统中 LCO 和 LFP 两种化学体系的比较表明,LCO系统的不平衡更小(最大为 0.12 A),小于磷酸铁锂系统的不平衡。
4.2. 研究 B: 1 C 恒定电流曲线 放电 与 温度 监测
测试期间,红外相机(FLIR SC 640)监测样品的温度变化,以推断其内部的电流分布情况。红外相机测得的温度在图15(b)中绘出。
实验开始时,由于之前的充电过程,拓扑结构1中的4C1M模块尚未达到完全的热平衡状态(TIR,2的起始温度比TIR,1高出约 1 °C)。在解释结果时,应考虑到这一1 °C的不平衡。总体而言,在拓扑结构1中,TIR, 1与TIR,2之间的温差持续增加,大约在放电36分钟后达到最大值5 °C(已计入 1 °C的初始不平衡)。在实验接近结束时(从大约36分钟放电时间起),温度TIR,1相对稳定在32.4 °C,而温度TIR,2则呈指数增长,达到 34.4 °C,这是本实验中达到的最高温度。
在拓扑结构T2中,温度TIR,4比温度TIR,3 高0.5 °C。两个电池单元在放电结束时均达到约33.3 °C的最高温度。在整个放电周期中,温差相对恒定。
4.3. 研究C: 级联结构 及在实际光伏家庭储能工况下的电流分布行为
级联结构下8个并联电池的测量电流分布结果如图16所示,其中绘制了最小值与最大值之间的单体电流Icell随时间的变化。LFP T2 8C1M和LFP T2 2C4M系统表现出相对相似的结果。在家庭储能工况下,单体电流的最大差异约为0.3安培,部分峰值接近0.50安培。这种不均匀的电流分布导致实验结束时模块内电池的SOC不平衡达到约20%。采用 T2 4C2M拓扑结构可显著降低这些不平衡,单体电流差异降至0.21安培,SOC离散程度为12%。若使用铜排,则可在单体应力均匀性方面获得最佳效果(0.15安培;约10%)。如前所述,我们认为拓扑结构(T1或 T2)对电流分布没有影响,原因是Rinter的电阻值极低(0.015毫伏)。
4.4. 老化影响的电路设计
针对多种系统设计(电池化学体系、电路)的并联电池老化行为仿真表明,采用LFP电池的T1拓扑结构受加速老化的影响最为严重(见图 17)。在所有包含集流体电阻Rinter变化的场景中,结果均显示将电阻从6.5毫伏降低至2.5毫伏可显著改善模块寿命。
在所有LFP T2 4C1M系统中,受Rinter变化的影响较小。在所有采用LCO电池的系统中,Rinter以及拓扑结构的影响也显著更小。
将并联电池单元数量从4个增加到8个电池单元时,可以看出,与 LFP T2 4C1M系统相比,LFP T2 8C1M的寿命有所降低。将Rinter从 2.5毫伏变化到6.5毫伏也显示出寿命的减少,从而导致Rinter对8个并联电池的影响增大。
级联结构实现了不同的结果。LFP T2 2C4M 实现了约与 LFP T2 8C1M (Rinter = 2.5 mV) 相同的寿命,而 LFP T2 4C2M 实现了与使用大截面铜排的系统相同的寿命。
一种对LFP T1 8C1M老化行为的模拟方法在此显示出,当R inter = 2.5 mV时,寿命急剧下降至56%,当R inter = 6.5 mV时,寿命下降至35%。
5. 讨论
研究A至研究C的结果表明,多种因素会影响并联电池单元之间的电流分布。如果分析研究A和研究B在恒定电流曲线下的结果,我们可以得出结论:电流分布取决于SOC、电池内阻(与电池化学体系相关),以及电阻性电路元件和拓扑结构。特别是在LFP T1系统中,不平衡达到最大值。研究B的结果表明,研究A中观察到的电流不平衡显著影响此类系统的温度不均匀性。
即使在由4个并联电池单元组成的系统中,也出现了 4 °C的温差,且放电阶段末期单体电流的急剧上升导致相应的温度急剧升高。
相比之下,钴酸锂系统的电流分布不平衡程度较小,由此得出结论:电池内阻相对于电池外接电阻(接触点和集流体)对并联电池中的电流分布具有显著影响。电池内阻是电池容量、电池化学体系以及电池材料质量和制造工艺质量的函数。只要电池内阻在整体电阻网络中占主导地位(如本实验所用的钴酸锂18650电池),外部电阻元件对电流分布的影响就较小。然而,当电池内阻与外部电路电阻处于同一数量级甚至更小时(如本实验所用的磷酸铁锂26650电池),外部电阻元件就需要进行极为精密的设计。
在通用情况下,结果证明与 T1 拓扑结构相比,T2 拓扑结构对互连电阻的变化敏感性较低。在 T1 系统中,该电阻具有较大影响,而在 T2 系统中,这种影响主要被降低了。
在集流体电阻最小化的铜条实验中,已证明单体电池内阻和拓扑结构对电流分布的影响几乎可以完全消除。然而,在商业系统中,由于体积、重量和成本限制,此类极致方案很少被采纳。因此,我们表明,级联结构可作为一种有效的替代方法,用于将大量电池单元并联连接,在保持低成本设计和连接技术的同时,实现与采用铜集流体的系统几乎同样良好的效果。然而,级联结构的设计方式也会影响电池系统中不平衡的程度。在此,模块内部互连部件与单体电池内阻之间的比例,以及模块电阻与模块间互连部件之间的比例,共同决定了总电流在各模块之间以及模块内各单体电池之间的分配比例。
所有这些效应在所测试系统设计的老化模拟结果中得到综合体现。当外部电路电阻主导电流分布时,与电池内阻在网络中占主导地位的情况相比,电流不平衡及相应的寿命缩短更为显著。磷酸铁锂T1系统的寿命均较铜基系统有所降低,具体取决于Rinter的值或并联电池数量。对于电池内阻较高的钴酸锂系统,其模拟寿命的减少程度相较于铜基系统更小(最大降幅至 92% ,对应 LCO T1 且 Rinter= 6.5 mV)。两种电池化学体系的T2 4C1M系统均实现了几乎相同的寿命,与采用铜排的系统类似。将并联电池数量从4个增加到8个后,LFP T2 8C1M的寿命降至73–89%,具体取决于Rinter。在此情况下,LFP T2 4C2M系统的寿命与等效的铜排系统相同。
家用光伏储能系统的负载曲线也会对系统的老化行为产生影响。SOC范围从25%开始,最低降至约5%,在仿真时间结束时上升至约70 %。因此,SOC的极端区域(0–10%和90–100%)对电流分布不均匀性的影响较小,这些对电流分布的影响也相应减弱。
6. 结论
本研究的主要目的是探讨影响采用电阻点焊构建的电池家庭储能系统中并联圆柱形电池单元内电流分布和老化的相关参数。研究识别出多个对电流分布有影响的参数,其中最敏感的参数是集流体电阻与电池内阻之间的关系。使用铜排作为集流体时观察到了最佳效果。通过合理选择电路拓扑结构,可以降低集流体电阻的影响。该发现对于商业系统中的成本优化具有实际意义。
由于电池内阻与电池尺寸、化学体系和质量相关,因此必须仔细选择单体电池,并根据电阻特性设计连接电路,以保持最佳寿命,减少电流和SOC不平衡。在LFP系统中,极高的或极低的SOC情况下观察到最严重的不平衡现象。
显示4CyM模块中的电阻,这些电阻将被转换; (b) 2CyM模块的表示及其在计算Rmodule.时所考虑的电阻)
表 2 用于4CyM和2CyM系统的模块电阻R module 的计算
| 4C y M (修改后的 2C y M) | 2C y M |
|---|---|
| 电阻 path;1 = 电阻 inter;2+ + 电阻 1-2;a + 电阻 3-4;a | 电阻 path;1 = 电阻 inter;1+ + 电阻 transf 发射系数;2+ + 电阻 transf er;2- + 电阻 cell;2 |
| 电阻 path;2 = 电阻 inter;2- + 电阻 1-2;b + 电阻 3-4;b | R path ; 2 = R transf er ; 1 + + 电阻 transf er;1- + 电阻 inter;1- + 电阻 cell;1 |
| 电阻 module = 电阻 path;1 × 电阻 path;2 / (电阻 path;1 + 电阻 path;2) + 电阻 1-2;c + 电阻 3-4;c | R module = R path;1 × R path;2 / (电阻 path;1 + 电阻 path;2) |
试验台示意图,用于分析拓扑结构、集流体电阻和电池化学体系对4C1M配置中并联电池单元内电流分布的影响;(b) 该配置中电阻的测量算术平均值及其相对标准偏差。其中铜 排的R inter 忽略不计(使用HIOKI 3554电池测试仪测得为<0.015 mV);(c) 在25–26 °C条件下开始3A恒流恒压/恒流充放电曲线10分钟后,对接触弹簧和电缆连接发热进行红外摄像头检测;(d) 在3A放电电流和 30 °C条件下总测试时间70分钟后的红外摄像头检测。)
表 3 4C1M 系统配置 ,用于研究 4个 并联连接的电池单元之间的电流分布
| 系统 配置 | 容量 (安时) | 电流 | 集流体 |
|---|---|---|---|
| 1 磷酸铁锂 T1 4C1M | 12 | 不锈钢 钢 | |
| 2 磷酸铁锂 T2 4C1M | 12 | 不锈钢 钢 | |
| 3 磷酸铁锂 T1 铜 4C1M | 12 | Cu | |
| 4 钴酸锂 T1 铜 4C1M | 9.8 | Cu |
表 4 用于研究8个并联电池单元内负载分配的系统配置
| 系统 配置 | 容量 (安时) | 电流 | 集流体 |
|---|---|---|---|
| 5 磷酸铁锂 T2 8C1M | 24 | 不锈钢 钢 | |
| 6 磷酸铁锂 T2 2C4M | 24 | 不锈钢 钢 | |
| 7 磷酸铁锂 T2 4C2M | 24 | 不锈钢 钢 | |
| 8 磷酸铁锂 T1 铜 8C1M | 24 | Cu |
表 5 测量 与模拟 数据之间的最大均方根误差
| 配置 | 并联电池数量 | I cell 均方根误差/安培 | Q cell RMSE/安时 | T cell 均方根误差/ °C |
|---|---|---|---|---|
| 动态应力测试 磷酸铁锂 T1 4C1M | 4 | 0.15 | 0.09 | 1.12 |
| 动态应力测试 磷酸铁锂 T2 4C1M | 4 | 0.07 | 0.02 | 0.46 |
| 动态应力测试 磷酸铁锂 T2 2C4M | 8 | 0.37 | 0.25 | – |
| 动态应力测试 磷酸铁锂 T2 4C2M | 8 | 0.16 | 0.06 | – |
| 动态应力测试 磷酸铁锂 T2 8C1M | 8 | 0.39 | 0.24 | – |
| 动态应力测试 钴酸锂 T1 4C1M | 4 | 0.17 | 0.11 | 1.35 |
| 动态应力测试 钴酸锂 T2 4C1M | 4 | 0.35 | 0.06 | 1.04 |
| 研究 B 磷酸铁锂 T1 4C1M | 4 | – | – | 1.69 |
| 研究 B 磷酸铁锂 T2 4C1M | 4 | – | – | 0.93 |
用于分析所有可能拓扑结构中并联电池单元的测试台示意图,此处显示的是T2 4C2M配置; ( b) 三种拓扑结构下电阻的测量算术平均值及其相对标准偏差。)
显示了LFP T14C1M系统在动态应力测试(DST)期间测量与模拟的电流分布对比;(b) 展示了研究B中通过红外相机监测得到的LFP T1和 T2的测量与模拟温度曲线。均方根误差(RMSE)的结果见表5。)
充电 和 0.25 安培 恒定电流曲线 放电 工况 , 适用于 多个 并联 电池单元 系统。)
1C恒流恒压充电后接1C恒流放电协议的电流‐电压测试曲线。在由菱形符号指示的四个时间点,显示了 ( b ) 中的红外相机快照; ( b ) 拓扑结构1和2连接的4c1m模块中3安时LFP电池在1C恒流放电过程中的红外相机快照; ( c ) 利用13个快照的红外相机数据绘制的测量得到的温度分布。)
。)
电路设计对并联锂电池性能的影响
3912

被折叠的 条评论
为什么被折叠?



