EM(Expectation Maximum,期望最大化)是一种迭代算法,用于对含有隐变量概率参数模型的极大似然估计或极大后验估计。模型参数的每一次迭代,含有隐变量概率参数模型的似然函数都会增加,当似然函数不再增加或增加的值小于设置的阈值时,迭代结束。
EM算法在机器学习和计算机视觉的数据聚类领域有广泛的应用,只要是涉及到后验概率的应用,我们都可以考虑用EM算法去解决问题。EM算法更像是一种数值分析方法,正确理解了EM算法,会增强你机器学习的自学能力,也能让你对机器学习算法有新的认识,本文详细总结了EM算法原理。
目录
1. 只含有观测变量的模型估计
2. 含有观测变量和未观测变量的模型参数估计
3. EM算法流程
4. 抛硬币问题举例
5. 高斯混合模型的参数估计
6. 聚类蕴含的EM算法思想
7. 小结
我们首先考虑比较简单的情况,即模型只含有观测变量不含有隐藏变量,如何估计模型的参数?我们用逻辑斯蒂回归模型(logistic regression model)来解释这一过程。
假设数据集有d维的特征向量X和相应的目标向量Y,其中
,
。下图表示逻辑斯蒂回归模型:

由之前的文章介绍,逻辑斯蒂回归模型的目标预测概率是S型函数计算得到,定义为:

若
,则目标预测变量为1;反之,目标预测变量为0。其中w是待估计的模型参数向量。
机器学习模型的核心问题是如何通过观测变量来构建模型参数w,最大似然方法是使观测数据的概率最大化,下面介绍用最大似然方法(Maximum Likelihood Approach)求解模型参数w。
假设数据集
,样本数据
,模型参数
。
观测数据的对数似然函数可写为:

由对数性质可知,上式等价于:

式(1)代入式(2),得:

其中:

由于(3)式是各个样本的和且模型参数间并无耦合,因此用类似梯度上升的迭代优化算法去求解模型参数w。
因为:


由式(4)(5)(6)可得:

因此,模型参数w的更新方程为:

其中η是学习率。
根据梯度更新方程(7)迭代参数w,似然函数L(w)逐渐增加,当似然函数收敛时,模型参数w不再更新,这种参数估计方法称为最大似然估计。
上节介绍当模型只含有观测变量时,我们用极大似然估计方法计算模型参数w。但是当模型含有隐变量或潜在变量(latent)时,是否可以用极大似然估计方法去估计模型参数,下面我们讨论这一问题:
假设V是观测变量,Z是隐变量,
是模型参数,我们考虑用极大似然估计方法去计算模型参数:

由于隐变量在log内部求和,造成不同参数间相互耦合,因此用极大似然方法估计模型参数非常难。(8)式不能估计模型参数的主要原因是隐变量,若隐变量Z已知,完全数据的似然函数为
,为了书写方便,观测变量V,Y统一用V表示,即
。
那么问题来了,如何通过已观测变量估计隐变量Z的值?这个时候我们想到了后验概率:
EM算法最大化完全数据在隐变量分布的对数似然函数期望,得到模型参数
,即:

现在我们总结EM算法的流程:
1)初始化模型参数
;
2)E步估计隐变量的后验概率分布:

3)M步估计模型参数
:

4)当模型参数
或对数似然函数收敛时,迭代结束;反之
,返回第(2)步,继续迭代。
上节我们介绍了EM算法的模型参数估计过程,相信大家会有个疑问:为什么最大化下式来构建模型参数。

下面我给大家解释这一算法的推导过程以及其中蕴含的含义:
假设隐藏变量的理论分布为
,观测数据的对数似然函数可以分解为下式:

由贝叶斯理论可知:

(9)式得:

分子分母除q(Z),得:

(10)式第二项表示相对熵,含义为隐变量后验概率分布与理论概率分布的差异,相对熵的一个性质是:

根据(10)式我们推断:

因此观测数据的对数似然函数的下界为
,如果我们能够极大化这个下界,那么同时也极大化了可观测数据的对数似然函数。
当相对熵等于0时,即:

由上式得到隐藏变量的后验概率分布与理论分布相等,即:

进而(11)式等号成立,即:

取得上界,现在我们需要最大化
的上界,即:

当相对熵等于0时,式(12)代入式(13)得到
的上界为:

式(15)的第二项对应隐变量的熵,可看成是常数,因此最大化(15)式等价于最大化
,其中:

最大化(16)式对应上节介绍EM算法的M步。
是不是对EM算法有了新的认识,本节重新整理算法EM的流程:
1)初始化模型参数为
;
2)当等式(12)成立时,
取得上界,最大化
等价于最大化下式:

3)最大化
,返回参数
;
4)当
收敛时,迭代结束;否则
,算法返回到第(2)步继续迭代;
为了大家清晰理解这一算法流程,下面用图形表示EM算法的含义。
E步:模型参数是
时,由(13)式可知
,用黑色实心点标记;
M步:最大化
,返回参数
,用红色实心点标记;
令
,重复E步和M步,当
收敛时,迭代结束。

4.抛硬币问题举例
我们有两种硬币A和B,选择硬币A和硬币B的概率分别为π和(1-π),硬币A和硬币B正面向上的概率分别为p和q,假设观测变量为
,1,0表示正面和反面,i表示硬币抛掷次数;隐变量
,1,0表示选择硬币A和硬币B进行抛掷。
问题:硬币共抛掷n次,观测变量已知的情况下求模型参数
的更新表达式。
根据EM算法,完全数据的对数似然函数的期望:

其中
表示观测数据
来自掷硬币A的概率,用
表示:

最大化
,得到如下更新表达式:

现在我们知道了模型参数
的更新方程,假设共抛掷硬币10次,观测结果如下:1,1,0,1,0,0,1,0,1,1。
初始化模型参数为:

由式(18)得:

利用模型参数更新得:

由式(18),得:

模型参数继续更新:

因此,
收敛时,最终的模型参数为:

表示选择硬币A和硬币B的概率是一样的,如果模型参数的初始值不同,得到的最终模型参数也可能不同,模型参数的初始化和先验经验有关。
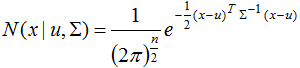
一维变量的高斯分布:

其中u和
分别表示均值和标准差。
n维变量的高斯分布:

其中u是n维均值向量,
是n×n的协方差矩阵。
n维变量的混合高斯分布:

该分布共由k个混合成分组成,每个混合成分对应一个高斯分布,其中
与
是第k个高斯混合成分的均值和协方差。
是归一化混合系数,含义为选择第k个高斯混合成分的概率,满足以下条件:

下图为k=3的高斯混合成分的概率分布图(红色):

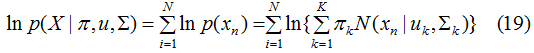
假设由高斯混合分布生成的观测数据
,其对数似然函数:

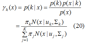
我们用EM算法估计模型参数,其中隐变量对应模型的高斯混合成分,即对于给定的数据x,计算该数据属于第k个高斯混合分布生成的后验概率,记为
。
根据贝叶斯定律:

最大化式(19),令

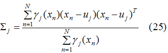
由式(20)(21)(22)(23)可得模型参数:



下面小结EM算法构建高斯混合模型的流程:
1)初始化高斯混合模型的均值
,协方差
和混合系数
,计算完全数据的对数似然值(式(19));
2)E步:使用当前的参数值,通过下式计算均值:

表示观测数据x属于第k个高斯混合成分的后验概率;
3)M步:最大化对数似然函数,得到式(24)(25)(26)的模型更新参数;
4)根据更新的参数值,重新计算完全数据的对数似然函数:

若收敛,则得到最终的模型参数值;反之,回到算法第(2)步继续迭代。
6.聚类蕴含的EM算法思想
我们可以把聚类理解为:计算观测数据x属于不同簇类的后验概率,记为
,其中j是簇类个数(j=1,2,...,K),观测数据x所属的簇标记
由如下确定:

我们可以用EM算法计算每个样本由不同高斯混合成分生成的后验概率,步骤可参考上一节。
【例】 如下的观测数据,假设簇类个数K=2,初始化每个高斯混合参数得到
,根据式(27)得到聚类结果:

根据上一节介绍的EM算法步骤,迭代1次后得到
,根据式(27)得到聚类结果:

迭代5次后得到
,根据式(27)得到聚类结果:

迭代20次后的
,根据式(27)得到聚类结果:

k均值聚类是高斯混合聚类的特例,k均值假设各个维是相互独立的,其算法过程也可用EM思想去理解:
1)初始化簇类中心;
2)E步:通过簇类中心计算每个样本所属簇类的后验概率
;
3)M步:最大化当前观测数据的对数似然函数,更新簇类中心
4)当观测数据的对数似然函数不再增加时,迭代结束;反之,返回(2)步继续迭代;
EM算法在各领域应用极广,运用了后验概率,极大似然方法和迭代思想构建最优模型参数,后续文章会介绍EM算法在马尔科夫模型的应用,希望通过这篇文章能让读者对EM算法不再陌生。
参考
https://towardsdatascience.com
推荐阅读
k-means聚类算法原理总结

本文详细总结了EM算法原理。先介绍只含观测变量和含观测与隐变量时的模型参数估计,给出算法流程。通过抛硬币问题、高斯混合模型参数估计举例说明。还阐述了聚类蕴含的EM算法思想,指出k均值聚类可用EM思想理解,该算法应用广泛。
8540

被折叠的 条评论
为什么被折叠?



