-
目录
-
3.1放大器的基本概念
-
电子技术中的放大是将微弱的变化信号放大成较大的电信号,以推动负载正常工作。放大电路放大的本质是能量的控制和转换;电子电路放大的基本特征是功率放大;放大的前提是不失真。
-
3.1.1四种放大器及四种放大倍数定义
- 由于放大器可等效为有源二端口网络,且输入量可分别取电压或电流,因此一共存在四种不同的组合与四种放大倍数。
- 电压放大倍数:输出电压与输入电压之比

- 电流放大倍数:输出电流与输入电流之比

- 互阻放大倍数:输出电压与输入电流之比

- 互导放大倍数:输出电流与输入电压之比

-
3.1.2放大器模型及放大器主要指标
-
1.放大器的主要指标
- (1)电压放大倍数
- (2)输入电阻Ri:放大器输入端看进去的等效电阻

- (3)输出电阻Ro:放大器输出端看进去的等效电阻

- (4)频率响应与带宽:由于实际放大器中存在电抗元件,因此放大倍数是关于频率的频率函数,定义频率下降使放大倍数数值为0.707倍时的信号频率为下限截止频率fL,频率上升使放大倍数数值达到0.707倍时的信号频率为上限截止频率fH。通频带(带宽)为上线截止频率减去下限截止频率。

- 采用分贝(dB)表示:

- (5)总谐波失真系数(非线性失真系数)THD:输出波形中的谐波成分总量与基波成分之比。THD越大,非线性失真越严重。
-
-
-
3.2三种组态的放大电路

-
3.3共发射极放大器分析
-
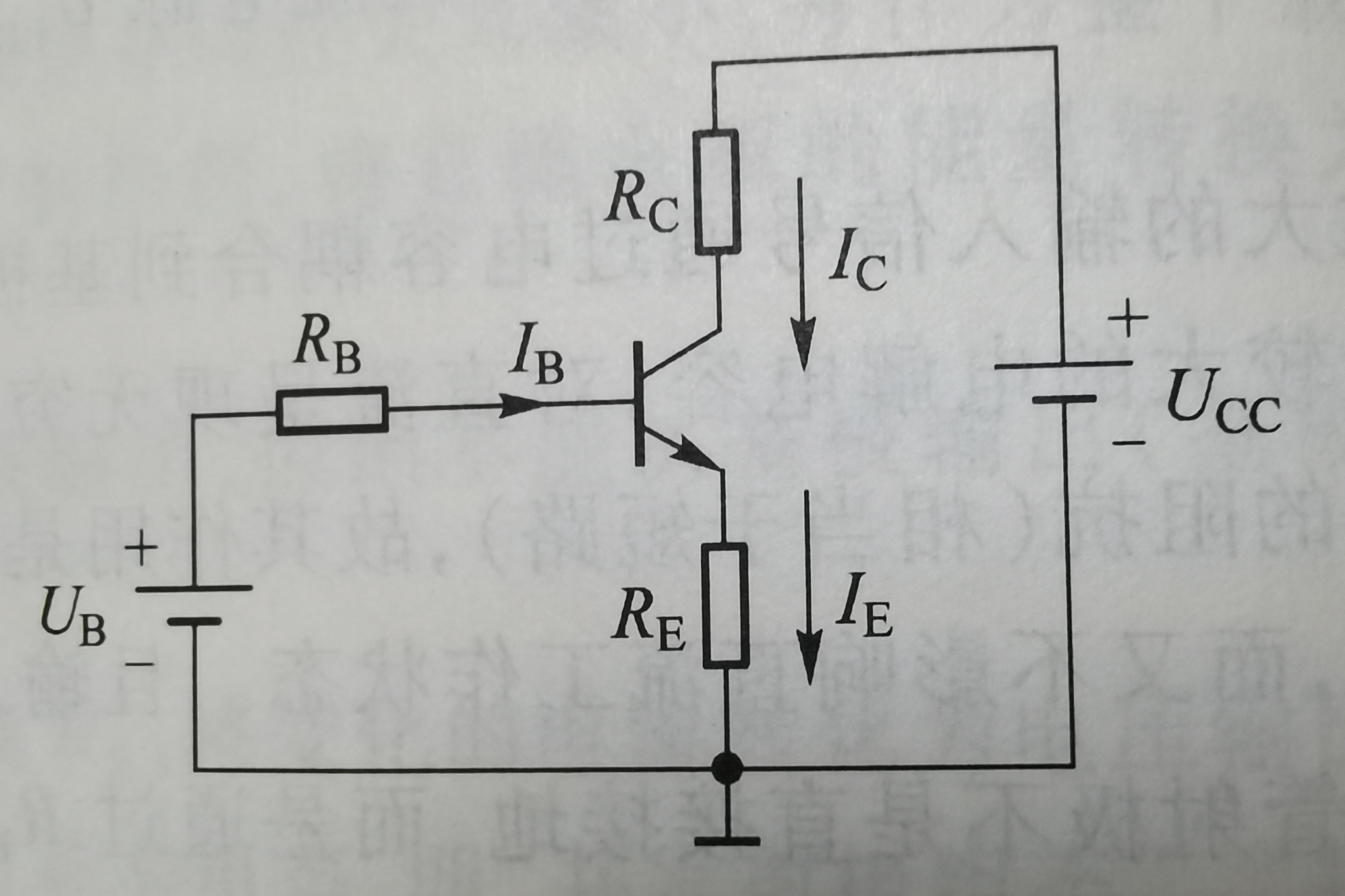
3.3.1阻容耦合共发射极放大器电路结构

VBB为直流信号,ui为交流信号
-
3.3.2直流工作状态分析与计算
- 直流工作状态分析时利用放大电路的直流通路。直流通路中,电容视为开路,电感线圈视为短路,信号源视为短路并保留其内阻。
- 1.直流工作点Q的主要参数(IBQ、ICQ、UCEQ)ui=0,可得静态工作点的表达式:

主要通过KVL定理与晶体管的电流分配求得
- 2.关于直流工作状态的讨论

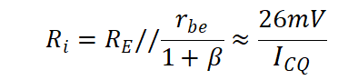
- (1)射极电阻RE的作用:引入RE后,发射结的电压为

引入了直流负反馈,可以稳定工作点
- (2)RC增大,放大器工作点将向饱和区移动。
- (3)工作状态的判断
- 发射结零偏或反偏,则工作在截止区
- 若UCEQ大于饱和电压,则工作在放大区
- 若UCEQ≤0,则工作在饱和区
- (1)射极电阻RE的作用:引入RE后,发射结的电压为
-
3.3.3共射放大器的交流分析及主要指标估算
- 交流分析时应利用放大电路的交流通路。对于交流通路:大电容视为短路;无内阻的直流电源视为短路。

- 1.电压放大倍数

- 其中

- 2.源电压放大倍数

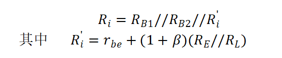
- 3.输入电阻

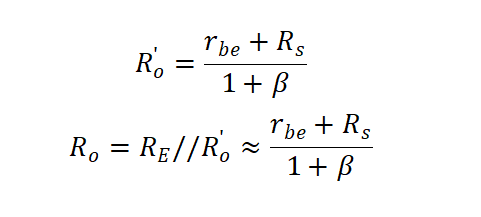
- 4.输出电阻:令Us=0,RL开路时输出端的电阻

- 5.开路电压放大倍数

- 交流分析时应利用放大电路的交流通路。对于交流通路:大电容视为短路;无内阻的直流电源视为短路。
-
-
3.4共集电极放大器

- 从基极输入,从发射极输出
-
3.4.1直流工作状态分析

-
3.4.2交流指标计算
- 1.电压放大倍数

说明输出信号跟随输入信号变化,所以共集放大器又称为射极跟随器或射极输出器
- 2.输入电阻

- 3.输出电阻(将Us短路,保留Rs,将RL开路)


输出电阻很小,带负载能力强,放大倍数稳定
- 1.电压放大倍数
-
3.5共基极放大器


- 从发射极输入,从集电极输出
-
3.5.1直流工作状态分析

-
3.5.2交流指标计算
- 1.电压放大倍数

- 2.输出电阻

- 3.输出电阻

- 1.电压放大倍数
-
3.6三种组态放大器比较
- (1)共射放大器信号从基极输入,从集电极输出,输入、输出信号反相。电压放大倍数大,输入电阻不大,。输出电阻较大,一般作为多级放大器的主放大器。
- (2)共集放大器信号从基极输入,从发射极输出,输入、输出信号同相。电压放大倍数小,输入电阻很大,输出电阻很小,一般作为多级放大器的输入级、中间级、输出级。
- (3)共基放大器信号从射级输入,从集电极输出,输入、输出信号同相。电压放大倍数大,因输入电阻太小,所以实际的源放大倍数很小。高频特性好。
-
3.7关于非线性失真与输出动态范围的讨论
-
3.7.1直流负载线与交流负载线
- 1.直流负载线


- 将直流负载线方程与输出特性方程绘制在一张图上,与给定IBQ的曲线相交的点为直流工作点Q,如下图所示。

- 2.交流负载线:必通过Q点,斜率应为:

- 1.直流负载线
-
3.7.2非线性失真与动态范围
- 1.工作点设置正确,且信号不大——不产生非线性失真

- 2.工作点设置过低,且信号较大——产生截止失真
- 3.工作点设置过高,且信号较大——产生饱和失真

判断失真类型以电流波形为准,电流波形底部失真为截止失真,顶部失真为饱和失真。对于NPN管组成的共射放大器,输入和输出反相,因此输出波形底部失真为饱和失真,顶部失真为截止失真。
- 避免失真的方法:消除截止失真——增大基极电源VBB;消除饱和失真——增大基极电阻RB,减小集电极电阻RC,或采用放大倍数较小的管子。
- 4.输出电压的动态范围:动态工作点不进入截止区和饱和区的最大有效输出电压峰峰值Uopp。
- 1.工作点设置正确,且信号不大——不产生非线性失真
-
-
3.8场效应管放大器
-
3.8.1偏置电路
- 自偏压电路、分压式电流负反馈偏置电路

- 1.图解法求Q点:作出栅-源回路直流负载线与转移特性曲线交点即为Q点

- 对于自偏压电路,输入回路直流负载线方程为

- 对于分压式电流负反馈偏置电路,输入回路直流负载线方程为

对于结型管,由于UGSQ可以为负值,所以两种偏置电路都可以,但是对于N沟道增强型MOS管,UGSQ为正值,所以不能采用自偏压。
- 2.解析法求Q点:求联系方程
- 1.图解法求Q点:作出栅-源回路直流负载线与转移特性曲线交点即为Q点
-
3.8.2场效应管放大器一般形式

-
-
3.9放大器的级联
-
3.9.1级间耦合方式及组合原则
- 1.级间耦合方式:阻容耦合、直接耦合、磁耦合、光电耦合。要确保各级放大器有合适的直流工作点,且使前级输出信号尽可能不衰减地传输到后级输入。

- 阻容耦合:前后级互不影响,直流工作点可独立设计,但需要大电容,不利于集成
- 直接耦合:前后级有影响,设计复杂,适合集成
- 变压器耦合:直流工作点可独立设计,在功率放大器和高频电路有较多应用
- 光耦合:适用于需要电气隔离且不共地地场合,适用于高压。
- 2.多级放大器的组合原则
(1)通常选用共射放大器作为主放大器
(2)若要求输入电阻大,则采用共集放大器或共源、共漏放大器作输入极
(3)若负载电阻很小,负载电容很大,则采用共集放大器作为输出级
- 1.级间耦合方式:阻容耦合、直接耦合、磁耦合、光电耦合。要确保各级放大器有合适的直流工作点,且使前级输出信号尽可能不衰减地传输到后级输入。
-
3.9.2多级放大器的性能指标计算
- 1.总的电压放大倍数等于各级电压放大倍数的乘积
- 2.一般输出电阻取决于输出级,输入电阻取决于输入级
-
-
3.10放大器的频率响应
-
3.10.1频率特性与频率失真概念
- 1.频率失真
- 振幅频率失真:基波与谐波在不同的频率下放大倍数不同产生的失真。
- 相位频率失真 :不同频率信号延时不同导致相位关系产生变化引起的失真。
- 2.线性失真与非线性失真
- 线性失真由电抗元件引起。非线性失真由非线性元件引起。
- 3.频率特性参数
- 上限频率fH,下限频率fL,通频带BW,中频区增益AuI
- 增益带宽积

- 1.频率失真
-
3.10.2低频区频率响应

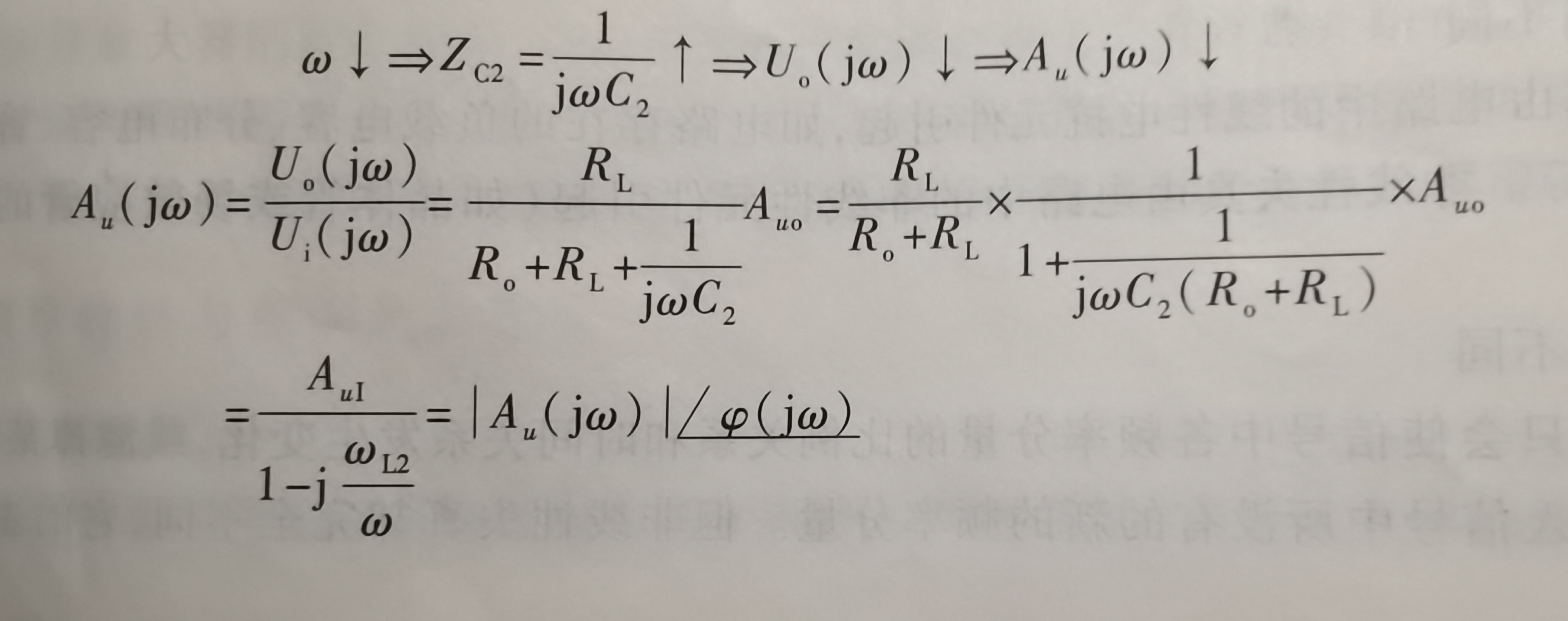
低频时,电容容抗不可忽略- 1.输入耦合电容C2的影响


- 2.输入耦合电容C1的影响
- 输入阻抗增大,Ui减小。
- 时间常数

- 下限角频率

- 3.射极旁路电容CE的影响

- 4.三个电容引入的总的下限频率的平方等于三个下限频率平方和

- 1.输入耦合电容C2的影响
-
3.10.3负载电容CL对高频区响应的影响


在高频区,上文三个电容均可视为短路,频率升高,容抗减小,故输出电压减小。- 为改善高频响应,通常在输出端加一级共集电路作为隔离或缓冲。
-
3.10.4晶体管的高频小信号模型及高频参数
- 1.晶体管的高频小信号混合pi型等效电路
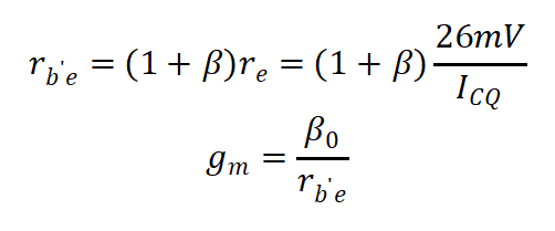
- 发射结正向偏置,扩散电容成分大,集电结反向偏置,主要为势垒电容。


β0为中低频区的β值。
- 2.晶体管的高频参数
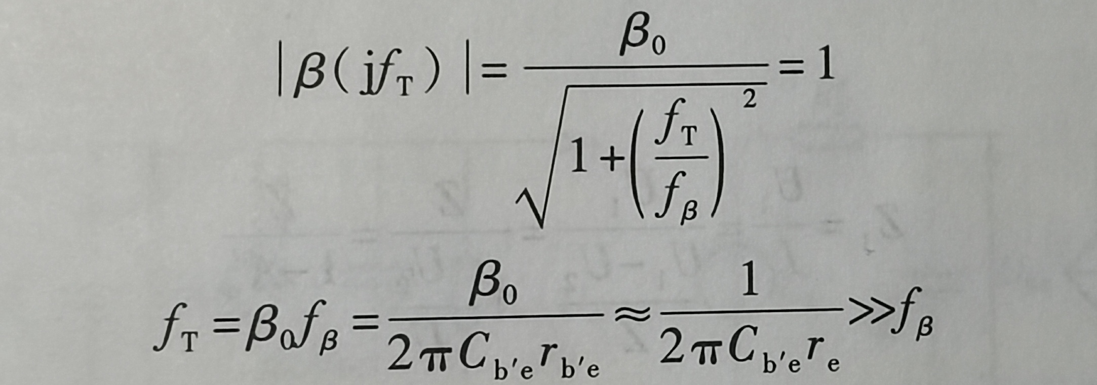
- (1)共射短路电流放大系数及其上限频率


- (2)特征频率:|β(jw)|下降到1所对应的频率

- (1)共射短路电流放大系数及其上限频率
-

-
3.10.5共射放大器的高频响应
- 1.密勒等效定理以及高频等效电路的单向化模型



- 2.共射放大器的高频小信号等效电路

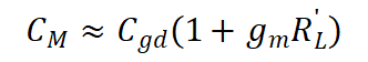
- 对Cb'e利用密勒等效定理得到以下电路

- 其中CM为

- 各项高频特性参数如下图所示

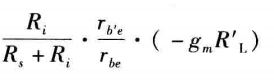
- 中频区源电压放大倍数为

- 对Cb'e利用密勒等效定理得到以下电路
- 为提高总的上限频率,必须减小输入回路时间常数 ,要求rbb‘小,Cb’e小。
- 信号源内阻尽量小
- 集电极负载电阻较小
- 要减小负载电容CL及分布电容
- 1.密勒等效定理以及高频等效电路的单向化模型
-
3.10.6共集放大器及共基放大器的高频响应
- 1.共集放大器的高频响应
- Cb'c不存在密勒倍增效应,对高频影响很小
- Cb'e的密勒等效电容远小于本身,对高频响应影响很小
- 共集放大器的高频响应很好,理论上上限频率可以接近特征频率
- 2.共基放大器的高频响应
- 极间电容均不存在密勒倍增效应
- 承受容性负载的能力较差,CL影响高频响应。
- 1.共集放大器的高频响应
-
3.10.7场效应管放大器的高频响应

- 对Cgd应用密勒等效作单向化处理,可得以下单向化模型


- 对应的高频表达式为

-
-
3.10.8多级放大器的频率响应
- 总增益为各级增益乘积
- 对数幅频特性为各级对数幅频特性之和
- 总相移等于各级相移之和
- 总上限频率比任何一级的上限频率都要低,下限频率比任何一级都要高。
第三章 双极型晶体管和场效应管放大器基础
最新推荐文章于 2024-09-09 19:44:36 发布
1625

被折叠的 条评论
为什么被折叠?



