112. 路径总和
给你二叉树的根节点 root 和一个表示目标和的整数 targetSum 。判断该树中是否存在 根节点到叶子节点 的路径,这条路径上所有节点值相加等于目标和 targetSum 。如果存在,返回 true ;否则,返回 false 。
叶子节点 是指没有子节点的节点。
示例 1:

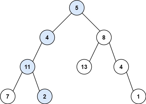
输入:root = [5,4,8,11,null,13,4,7,2,null,null,null,1], targetSum = 22
输出:true
解释:等于目标和的根节点到叶节点路径如上图所示。
示例 2:
输入:root = [1,2,3], targetSum = 5
输出:false
解释:树中存在两条根节点到叶子节点的路径:
(1 --> 2): 和为 3
(1 --> 3): 和为 4
不存在 sum = 5 的根节点到叶子节点的路径。
示例 3:
输入:root = [], targetSum = 0
输出:false
解释:由于树是空的,所以不存在根节点到叶子节点的路径。
提示:
- 树中节点的数目在范围 [0, 5000] 内
- -1000 <= Node.val <= 1000
- -1000 <= targetSum <= 1000
解题思路
树的回溯入门题
Go代码
/**
* Definition for a binary tree node.
* type TreeNode struct {
* Val int
* Left *TreeNode
* Right *TreeNode
* }
*/
func hasPathSum(root *TreeNode, targetSum int) bool {
if root == nil {
return false
}
// 遇到叶子节点,并且减去当前叶子节点的值后计数刚好为0
if root.Left == nil && root.Right == nil && targetSum - root.Val == 0 {
return true
}
left := hasPathSum(root.Left,targetSum - root.Val)
right := hasPathSum(root.Right,targetSum - root.Val)
return left || right
//上面三行可以写为下面一行,且会更好,因为 “||” 前面如果是true了,右子树都不用去递归了
// 之所以那样写,是为了更好的理解左右子树遍历的过程。
// 另外还要注意,上面包含了回溯,隐藏在targetSum - root.Val中了,因为回归到当前层时,targetSum的值其实没变
//return hasPathSum(root.Left,targetSum - root.Val) || hasPathSum(root.Right,targetSum - root.Val)
}

Go语言解二叉树路径总和算法题

3449

被折叠的 条评论
为什么被折叠?



