938. 二叉搜索树的范围和
给定二叉搜索树的根结点 root,返回值位于范围[low, high]之间的所有结点的值的和。
示例 1:

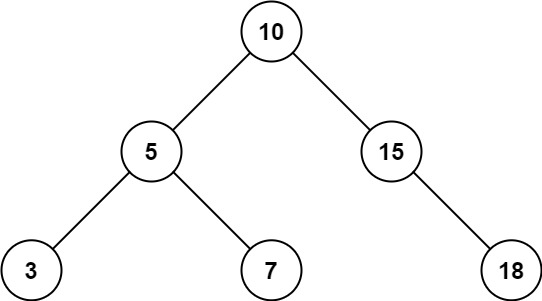
输入:root = [10,5,15,3,7,null,18], low = 7, high = 15
输出:32
示例 2:

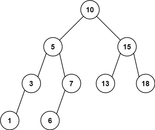
输入:root = [10,5,15,3,7,13,18,1,null,6], low = 6, high = 10
输出:23
提示:
- 树中节点数目在范围 [1, 2 * 10^4] 内
- 1 <= Node.val <= 10^5
- 1 <= low <= high <= 10^5
- 所有 Node.val 互不相同
解题思路一:中序遍历
中序遍历后的二叉搜索树是有序的,可以先将树变为数组,然后筛选范围内的数值之和,该方法其实对于普通的二叉树通用适用,因为就是把树的值都存到数组中,然后找出符合条件的值相加即可。
Go代码
略
解题思路二:递归
Go代码
/**
* Definition for a binary tree node.
* type TreeNode struct {
* Val int
* Left *TreeNode
* Right *TreeNode
* }
*/
func rangeSumBST(root *TreeNode, low int, high int) int {
if root == nil {
return 0
}
if root.Val > high{
return rangeSumBST(root.Left,low,high)
}
if root.Val < low {
return rangeSumBST(root.Right,low,high)
}
return root.Val + rangeSumBST(root.Left,low,high) + rangeSumBST(root.Right,low,high)
}

1094

被折叠的 条评论
为什么被折叠?



