AcWing 788. 逆序对的数量
1、题目(来源于AcWing):
给定一个长度为n的整数数列,请你计算数列中的逆序对的数量。
逆序对的定义如下:对于数列的第 i 个和第 j 个元素,如果满足 i < j 且 a[i] > a[j],则其为一个逆序对;否则不是。
输入格式
第一行包含整数n,表示数列的长度。
第二行包含 n 个整数,表示整个数列。
输出格式
输出一个整数,表示逆序对的个数。
数据范围
1≤n≤100000
输入样例:
6
2 3 4 5 6 1
输出样例:
5
2、基本思想:
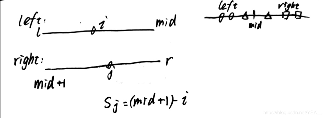
假设一个函数merge_sort已经能求出逆序对的数量,若将这组数平分为左右两个部分,则:
逆序对的数量=左侧数内部逆序对的数量+右侧数内部逆序对的数量+右侧每个数与左侧数组成的逆序对数量的和
至于为什么要在找逆序对的时候排好序,是因为j之前比它大的数都找出来了,及时它比后面的大,但它被重新放到前面,它还是比后面的大,不影响。

3、步骤:
①分为两组,将左右逆序对数量先加总
②归并的同时累加求同在左右两边的逆序对数量
4、C++代码如下(该代码引用AcWing网站的代码):
#include <iostream>
using namespace std;
typedef long long ll;//long long比较长写起来比较麻烦,故用typedef
ll merge_sort(int l, int r);//该函数的功能为直接返回逆序对个数
const int N = 1e5 + 10;

本文介绍了一种高效计算逆序对数量的算法,通过使用归并排序的思想,在排序过程中统计逆序对数目,适用于大数据集,如AcWing788题。文章详细解析了算法步骤,并提供了C++实现代码。
最低0.47元/天 解锁文章
1万+

被折叠的 条评论
为什么被折叠?



