NeuDs 数据结构 月考 3:图论+排序算法
一.判断题
有向图的邻接矩阵是对称的。F
关于图的遍历
图的深度优先遍历相当于二叉树的先序遍历。T
希尔排序是稳定的算法。F
如果无向图G必须进行两次广度优先搜索才能访问其所有顶点,则G中一定有回路。F
图是表示一对一关系的数据结构。F
多对多的数据结构
快速排序是稳定的算法。F
不稳定排序
排序的稳定性是指排序算法中的比较次数保持不变,且算法能够终止。F
假定在待排序的记录序列中,存在多个具有相同的关键字的记录,若经过排序,这些记录的相对次序保持不变,即在原序列中,r [i]=r [j],且r [i]在r [j]之前,而在排序后的序列中,r [i]仍在r [j]之前,则称这种排序算法是稳定的。
最小生成树问题是构造连通网的最小代价生成树。T
对于带权无向图 G = (V, E),M 是 G 的最小生成树,则 M 中任意两点 V1 到 V2 的路径一定是它们之间的最短路径。F
最小生成树是总权值最小,不是任意两点间权值最小
查找某元素时,折半查找法的查找速度一定比顺序查找法快 。F
特定情况下效率一样
当查找表中元素个数为1个或2个时,二分法和顺序法速度相等;当元素个数大于2个时,二分法更快。(前提是有序表)
任何最小堆的前序遍历结果是有序的(从小到大)。F
若有向图不存在回路,即使不用访问标志位同一结点也不会被访问两次。F
错。若一个顶点入度大于 1,则会被访问两次
对N(≥2)个权值均不相同的字符构造哈夫曼树,则树中任一非叶结点的权值一定不小于下一层任一结点的权值。T
(权值均不相等) 哈夫曼树:
1.树中一定没有度为1的节点
2.哈夫曼树不一定是完全二叉树
3.树中任一非叶节点的权值一定不小于下一层任一节点的权值
在任一有向图中,所有顶点的入度之和等于所有顶点的出度之和。T
在任一有向图中,所有顶点的入度之和等于所有顶点的出度之和。
如果无向图G必须进行两次广度优先搜索才能访问其所有顶点,则G中一定有回路。F
有两个连通分量才需要两次广搜
无向连通图所有顶点的度之和为偶数。T
二.单选题
1.对于序列{ 49,38,65,97,76,13,27,50 },按由小到大进行排序,下面哪一个是初始步长为4的希尔排序法第一趟的结果?
A.49,13,27,50,76,38,65,97
B.49,76,65,13,27,50,97,38
C.13,27,38,49,50,65,76,97
D.97,76,65,50,49,38,27,13
补充知识:希尔排序:间距=步长
2.下列因素中, 影响散列(哈希)方法平均查找长度的是
I. 装填因子
II.散列函数
III. 冲突解决策略
A.仅 II、III
B.I、II、III
C.仅 I、III
D.仅 I、II
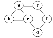
3.在图中

自a点开始进行深度优先遍历算法可能得到的结果为。
A.a,e,d,f,c,b
B.a,c,f,e,b,d
C.a,e,b,c,f,d
D.a,b,e,c,d,f
深度优先搜索就是一路走到底,碰壁了再回头走另外一条路
4.给定有权无向图的邻接矩阵如下,其最小生成树的总权重是:

A.14
B.10
C.11
D.12
5.有组记录的排序码为{46,79,56,38,40,84 },采用快速排序(以位于最左位置的对象为基准而)得到的第一次划分结果为:
A.{38,79,56,46,40,84}
B.{38,46,79,56,40,84}
C.{40,38,46,56,79,84}
D.{38,46,56,79,40,84}
6.我们用一个有向图来表示航空公司所有航班的航线。下列哪种算法最适合解决找给定两城市间最经济的飞行路线问题?
A.拓扑排序算法
B.Dijkstra算法
C.深度优先搜索
D.Kruskal算法
7.对N个记录进行堆排序,最坏的情况下时间复杂度是:
A.O(NlogN)
B.O(N)
C.O(logN)
D.O(N^2)
8.若图的邻接矩阵中主对角线上的元素全是0,其余元素全是1,则可以断定该图一定是____。
A.无向图
B.非带权图
C.完全图
D.有向图
解析: 图的邻接矩阵对角线元素必为0,其余元素全为1代表任何两个顶点之间都存在边,也就是完全图。
9.设有一组记录的关键字为{19,14,23,1,68,20,84,27,55,11,10,79},用链地址法构造散列表,散列函数为H(key)=key MOD 13,散列地址为1的链中有( )个记录。
A.4
B.1
C.3
D.2
10.以下算法中用于求解最小生成树的是( )
A.Dijkstra算法
B.Floyd算法
C.Prim算法
D.深度优先搜索算法
11.使用迪杰斯特拉(Dijkstra)算法求下图中从顶点1到其他各顶点的最短路径,依次得到的各最短路径的目标顶点是:

A.2, 5, 3, 4, 6, 7
B.5, 2, 6, 3, 4, 7
C.2, 3, 4, 5, 6, 7
D.2, 4, 3, 6, 5, 7
12.给定一个图的邻接矩阵如下,则从V1出发的宽度优先遍历序列(BFS,有多种选择时小标号优先)是:

A.V1, V2, V4, V6, V8, V10, V9, V7, V5, V3
B.V1, V2, V3, V4, V5, V6, V7, V9, V8, V10
C.V1, V2, V4, V3, V6, V8, V10, V9, V7, V5
D.V1, V2, V3, V5, V7, V9, V10, V6, V8, V4
13.对于一个具有n个顶点和e条边的无向图,若采用邻接表表示,所有顶点邻接表的边结点总数为()。
A.2e
B.e/2
C.e
D.n+e
14.下列排序算法中,待排序数据有序时花费时间反而最多的是( )排序。
A.希尔
B.选择
C.快速
D.冒泡
快排在无序时是最快的内部排序算法
快速排序是把数列按一个枢纽值分成两部分分别排序,所以效率高。但是若原数据为有序,并且选择的枢纽值为第一个数时,那在分块时会将一个第一个数前面的数(也就是没有)分为一块,将除第一个数的所有数分成了另一块。这样一来,每一次分块都只减少了一个值,而每次分块的时间为O(N),所以总时间为O(N^2)。
15.用直接插入排序方法对下面四个序列进行排序(由小到大),元素比较次数最少的是()。
A.21,32,46,40,80,69,90,94
B.94,32,40,90,80,46,21,69
C.90,69,80,46,21,32,94,40
D.32,40,21,46,69,94,90,80
逆序越少的序列,在直接插入排序中比较次数是越少的
16.下面关于图的存储的叙述中正确的是( )
A. 用邻接表法存储图,占用的存储空间大小只与图中边数有关,而与结点个数无关
B. 用邻接表法存储图,占用的存储空间大小与图中边数和结点个数都有关
C. 用邻接矩阵法存储图,占用的存储空间大小与图中结点个数和边数都有关
D. 用邻接矩阵法存储图,占用的存储空间大小只与图中边数有关,而与结点个数无关
链接:下面关于图的存储的叙述中正确的是( )__牛客网
来源:牛客网
(1)、邻接矩阵
使用的是两个数来表示图,一个一位数组的存储顶点的信息,一个二维数组(邻接矩阵)存储图中的边或者是弧的信息
设图有n个顶点,则邻接矩阵是一个n * n的方阵!
所以总结下来邻接矩阵只跟图的顶点有关!
(2)、邻接表
使用数组 + 链表的方式来存储图
图中的顶点使用一维数组来存储,图中每个顶点的所有邻节点构成一个线性表,邻接点的个数是不确定的,所以使用单链表来存储
所有总结下来邻接表既和顶点有关也和变有关!
三.函数题
R6-1 有向图出度为0的顶点个数
,统计有向图中出度为0的顶点个数。
函数接口定义:
int GetCount(MGraph G);
G为采用邻接矩阵作为存储结构的有向图,函数GetCount返回G中出度为0的顶点个数,如果没有顶点出度为0,则返回0。
裁判测试程序样例:
#include <stdio.h> #define MVNum 100 //最大顶点数 typedef struct { char vexs[MVNum]; //存放顶点的一维数组 int arcs[MVNum][MVNum]; //邻接矩阵 int vexnum, arcnum; //图的当前顶点数和边数 }MGraph; int GetCount(MGraph G); void CreatMGraph(MGraph *G);/* 创建图 */ int main() { MGraph G; CreatMGraph(&G); printf("%d:%d\n",G.vexnum, GetCount(G)); return 0; } void CreatMGraph(MGraph *G) { int i, j, k; scanf("%d%d", &G->vexnum, &G->arcnum); getchar(); for (i = 0; i < G->vexnum; i++) scanf("%c", &G->vexs[i]); for (i = 0; i < G->vexnum; i++) for (j = 0; j < G->vexnum; j++) G->arcs[i][j] = 0; for (k = 0; k < G->arcnum; k++) { scanf("%d%d", &i, &j); G->arcs[i][j] = 1; } } /* 你的代码将被嵌在这里 */
输入样例:
例如有向图

第一行给出图的顶点数n和弧数e。第二行给出n个字符,表示n个顶点的数据元素的值。后面是e行,给出每一条弧的两个顶点编号。
4 5
ABCD
1 0
2 0
2 1
3 2
3 1
输出样例:
输出为一行,包括两个整数,第一个为顶点个数,第二个为出度为0的顶点个数,中间用冒号分隔。
4:1
代码:
int GetCount(MGraph G) { int cnt=0;//用于计算出度为0的个数 for(int i=0;i<G.vexnum;i++) { int sum=0; for(int j=0;j<G.vexnum;j++) { sum+=G.arcs[i][j]; } if(sum==0)cnt++; } return cnt; }
R6-2 简单选择排序
本题要求实现简单选择排序函数,待排序列的长度1<=n<=1000。
函数接口定义:
void SelectSort(SqList L);
其中L是待排序表,使排序后的数据从小到大排列。
###类型定义:
typedef int KeyType; typedef struct { KeyType *elem; /*elem[0]一般作哨兵或缓冲区*/ int Length; }SqList;
裁判测试程序样例:
#include<stdio.h> #include<stdlib.h> typedef int KeyType; typedef struct { KeyType *elem; /*elem[0]一般作哨兵或缓冲区*/ int Length; }SqList; void CreatSqList(SqList *L);/*待排序列建立,由裁判实现,细节不表*/ void SelectSort(SqList L); int main() { SqList L; int i; CreatSqList(&L); SelectSort(L); for(i=1;i<=L.Length;i++) { printf("%d ",L.elem[i]); } return 0; } /*你的代码将被嵌在这里 */
输入样例:
第一行整数表示参与排序的关键字个数。第二行是关键字值 例如:
10
5 2 4 1 8 9 10 12 3 6
输出样例:
输出由小到大的有序序列,每一个关键字之间由空格隔开,最后一个关键字后有一个空格。
1 2 3 4 5 6 8 9 10 12
代码:
void SelectSort(SqList L) { for(int i=1;i<=L.Length-1;i++) { int minid=i; int j; for( j=i+1;j<=L.Length;j++) { if(L.elem[j]<L.elem[minid])minid=j; } int temp=L.elem[i]; L.elem[i]=L.elem[minid]; L.elem[minid]=temp; } }
四.填空题
普里姆算法

请写出用普里姆算法从顶点A出发生成最小生成树每一步加入的边。
(1) AE
(2) ED
(3) DF
(4) FB
(5) FC
注:顶点 X 到 Y 的无向边简记作:XY 或 YX。
五.编程题
R7-1 成绩排序
给出班里某门课程的成绩单,请你按成绩从高到低对成绩单排序输出,如果有相同分数则名字字典序小的在前。
输入格式:
第一行为n (3< n < 200),表示班里的学生数目;
接下来的n行,每行为每个学生的名字和他的成绩, 中间用单个空格隔开。名字只包含字母且长度不超过20,成绩为一个不大于100的非负整数。
输出格式:
把成绩单按分数从高到低的顺序进行排序并输出,每行包含名字和分数两项,之间有一个空格。
输入样例:
4
Tom 90
Dongdong 90
Ding 92
Tim 28
输出样例:
Ding 92
Dongdong 90
Tom 90
Tim 28
代码:
主要思想就是根据结构体的某个数据进行对结构体的排序,一般的是交换数组元素即可,但这个就是交换结构体;
#include<bits/stdc++.h> #include<algorithm> #include<string.h> using namespace std; struct Student { string name; int mark; }; //C++中的sort函数比较器//需要包含 algorithm 头文件 bool cmp(const Student& a, const Student& b) { if(a.mark!=b.mark) { return a.mark>b.mark;//从大到小排序 }else{ return a.name<b.name;//如果有相同分数则名字字典序小的在前。 } } int main() { int n; cin>>n; Student students[n]; for(int i=0;i<n;i++) { cin>>students[i].name; cin>>students[i].mark; } //c++标准库,函数 stable_sort(students,students+n,cmp); for(int i=0;i<n;i++) { cout<<students[i].name<<" "<<students[i].mark<<endl; } return 0; }
#include <stdio.h> #include <string.h> #define N 201 struct node { char name[25]; int score; }a[N]; int main() { int n, i, j; scanf("%d", &n); for(i = 0; i < n; ++i) scanf("%s%d", a[i].name, &a[i].score); for(i = 0; i < n - 1; ++i) { for(j = i; j < n; ++j) { if(a[j].score > a[i].score || (a[j].score == a[i].score && strcmp(a[j].name, a[i].name) < 0)) { struct node tmp = a[i]; a[i] = a[j]; a[j] = tmp; } } } for(i = 0; i < n; ++i) printf("%s %d\n", a[i].name, a[i].score); return 0; }
这篇文章是关于图论和排序算法的知识测试,包含判断题和单选题,涉及有向图的性质、遍历算法、稳定性、最小生成树、哈希表、查找效率、堆排序、快速排序等多个技术点。同时,还给出了函数题,要求实现统计有向图中出度为0的顶点个数以及简单选择排序算法。







2812

被折叠的 条评论
为什么被折叠?



