饱和非线性间断特性平均函数的求法

第一步:理解饱和函数 (图 5.1 与 公式 5.10)
首先看右边的图 5.1。这是一个经典的饱和非线性特性 (Saturation Nonlinearity)。

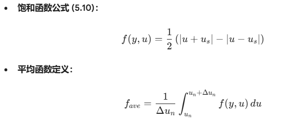
通常我们用分段函数写它,很麻烦。但在数学推导中,为了方便积分,我们用了一个巧妙的绝对值公式来表达它,也就是书上的 (5.10) 式:

为什么这个式子等于图上的折线?我们来验证一下:

结论: 公式 (5.10) 就是图 5.1 的数学替身,目的是为了把分段函数变成一个统一的式子,方便后面做积分。
第二步:核心微积分知识点 (积分技巧)
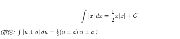
这个推导中最难理解的一步,就是从积分符号变到方括号里的那一步。这里用到了一个大一微积分里不常强调,但工程数学里很好用的公式:
求绝对值函数的原函数:

第三步:详细推导过程解析
现在我们顺着书上的步骤把这一长串式子走一遍:
1. 定义平均函数 (Average Function)

2. 代入函数


5. 整理得到最终式 (5.11)
书上的 (5.11) 式就是把上面这一堆展开重新排列了一下。它把带 $\Delta u_n$ 的项和不带的项分别列出来了。
详细推导过程
准备工作:数学工具
在推导开始前,你需要且仅需要知道这一个积分公式:

推导全过程
1. 明确已知条件

2. 代入函数并提取常数

3. 执行不定积分(寻找原函数)

4. 代入上下限 (牛顿-莱布尼茨公式)

5. 去括号与重组 (得到最终结果)
将上面两部分合在一起,并把 B 项的负号分配进去(负负得正):

606

被折叠的 条评论
为什么被折叠?



