1.机器学习



代价函数:
m是样本数量





直到最后得到的值收敛或者样本使用完。
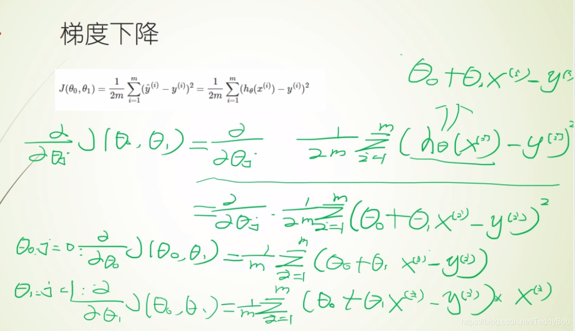
1.定义代价函数
2.对每个参数求偏导数
3.使用梯度下降算法更新。

数据集先开始进行划分

解决OVERFITTING,
1.在测试集评估模型
2.Regelization
加入惩罚项,λ是惩罚系数(惩罚力度) 即做正则
L2 就是平方和的形式。


本文深入解析机器学习中代价函数的概念及其在训练模型中的作用,阐述了如何通过梯度下降算法更新参数以最小化代价函数,同时讨论了数据集划分的重要性以及解决过拟合问题的方法。
1.机器学习



代价函数:
m是样本数量





直到最后得到的值收敛或者样本使用完。
1.定义代价函数
2.对每个参数求偏导数
3.使用梯度下降算法更新。

数据集先开始进行划分

解决OVERFITTING,
1.在测试集评估模型
2.Regelization
加入惩罚项,λ是惩罚系数(惩罚力度) 即做正则
L2 就是平方和的形式。


1707

被折叠的 条评论
为什么被折叠?