题目地址:链接
题目描述: 给你两个单链表的头节点 headA 和 headB ,请你找出并返回两个单链表相交的起始节点。如果两个链表不存在相交节点,返回 null 。
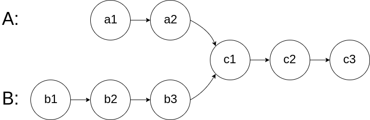
图示两个链表在节点 c1 开始相交:

题目数据 保证 整个链式结构中不存在环。
注意,函数返回结果后,链表必须 保持其原始结构 。
示例输出:
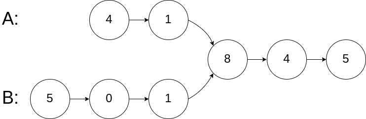
输入:intersectVal = 8, listA = [4,1,8,4,5], listB = [5,6,1,8,4,5], skipA = 2, skipB = 3
输出:Intersected at ‘8’
解释:相交节点的值为 8 (注意,如果两个链表相交则不能为 0)。
从各自的表头开始算起,链表 A 为 [4,1,8,4,5],链表 B 为 [5,6,1,8,4,5]。
在 A 中,相交节点前有 2 个节点;在 B 中,相交节点前有 3 个节点。
— 请注意相交节点的值不为 1,因为在链表 A 和链表 B 之中值为 1 的节点 (A 中第二个节点和 B 中第三个节点) 是不同的节点。换句话说,它们在内存中指向两个不同的位置,而链表 A 和链表 B 中值为 8 的节点 (A 中第三个节点,B 中第四个节点) 在内存中指向相同的位置。
找规律
使用两个指针分别从链表 headA 和 headB 的头部开始遍历。当其中一个指针到达链表末尾时,将其重新定位到另一个链表的头部继续遍历。当两个指针相遇时,相遇的节点即为两个链表的相交起始节点。如果两个链表不相交,则两个指针最终会同时到达链表末尾,此时返回 null。
var getIntersectionNode = function(headA, headB) {
[p, q] = [headA, headB];
while(p != q) {
q = q ? q.next: headB;
p = p ? p.next: headA;
}
return q;
};

8万+

被折叠的 条评论
为什么被折叠?



