题目地址:链接
题目描述:
给定一个链表的头节点 head ,返回链表开始入环的第一个节点。 如果链表无环,则返回 null。
如果链表中有某个节点,可以通过连续跟踪 next 指针再次到达,则链表中存在环。 为了表示给定链表中的环,评测系统内部使用整数 pos 来表示链表尾连接到链表中的位置(索引从 0 开始)。如果 pos 是 -1,则在该链表中没有环。注意:pos 不作为参数进行传递,仅仅是为了标识链表的实际情况。
不允许修改 链表。

示例输出:
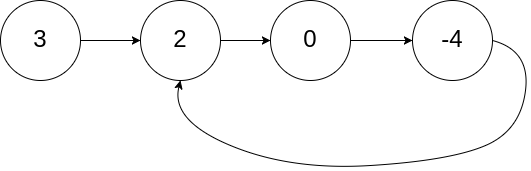
输入:head = [3,2,0,-4], pos = 1
输出:返回索引为 1 的链表节点
解释:链表中有一个环,其尾部连接到第二个节点。
快慢指针
设置一个步长为1和一个步长为2的快慢指针,慢指针从head到环的入口距离为a, 到相遇的距离为b, 设置为慢指针走过的长度为d,即可得a + b = d, 而快指针从head到环到相交点a + b + c + b = 2d ⇒ 两者相减 可得a = c, 当两个指针相遇后,头指针和相交点到入环点长度一样。
var hasCycle = function(head) {
let [quick, slow] = [head, head];
while(quick && quick.next) {
slow = slow.next;
quick = quick.next.next;
if(quick == slow) return true;
}
return false;
};
8万+

被折叠的 条评论
为什么被折叠?



