很有趣的一篇文章。这篇文章的结论与GNN的主流研究趋势相反:主流是在设计更强大的GNN以捕捉项目之间的复杂转换,而本文认为,GNN的能力已经过剩了,完全不需要设计多复杂的GNN模型,本文甚至去掉了GNN结构,用多层的注意力机制(Atten-Mixer)拟合GNN的高级连接。(当然场景是Session-based推荐,序列的平均长度很短)
0 摘要
基于会话的推荐(SBR)旨在基于短的和动态的会话来预测用户的下一步行动。最近,人们越来越关注利用各种精心设计的图神经网络 (GNN) 来捕获项目之间的成对关系,这似乎表明设计更复杂的模型是提高实证性能的灵丹妙药。然而,虽然模型复杂性的指数增长,但这些模型只能实现相对边际的改进。
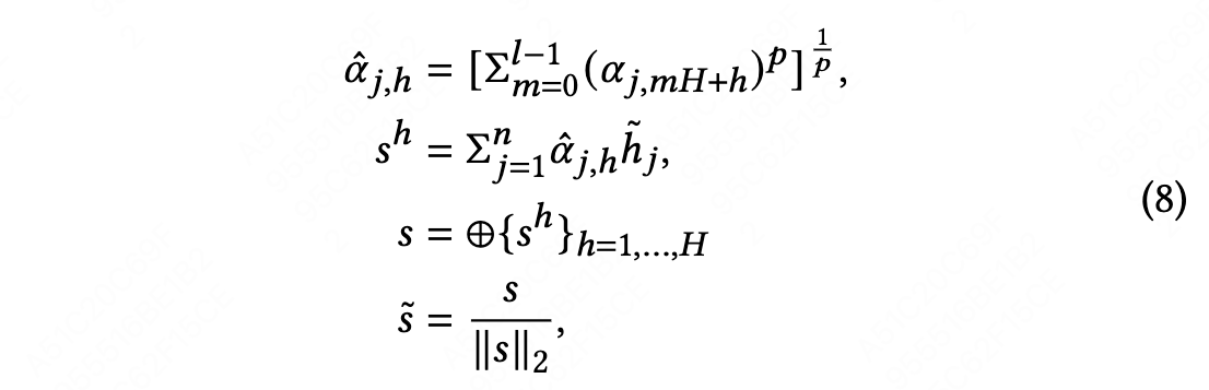
因此,本文建议直接去掉GNN的传播部分,在readout模块增强其推理能力。Atten-Mixer提出了多级注意混合网络,它利用概念视图和实例视图读数来实现项目转换的多级推理。
1 引言
最近的 SBR 研究发现,基于 GNN 的模型的使用激增,以更好地捕捉项目的复杂转换。然而,与模型复杂度的指数增长相比,每个模型在基准测试中带来的性能提升微乎其微(详见表 2)。鉴于这种现象,自然会出现一个有意义的问题:那些基于 GNN 的模型对于 SBR 来说是不够复杂还是过于复杂?为了回答这个问题,我们剖析了现有的基于 GNN 的 SBR 模型,并凭经验发现一些 GNN 传播似乎是多余的,因为读出模块在这些模型中起着重要作用。

这种观察结果与今天的趋势非常相反,SBR 社区寻求更强大的 GNN 设计来捕捉项目之间的复杂转换。与其他推荐领域相比,由于会话数据固有的短和动态特性,会话图更加稀疏。例如,Diginetica 数据集中近 70% 的会话由不同的项目组成,这意味着基于会话数据构建图形可能只会产生一个序列。在这种情况下,GNN 中的一些设计相当繁重,与读出模块设法从数据中学习的总体偏好相比,其贡献很小。因此,我们假设读出模块的高级架构设计将受益更多。随着我们放宽对 GNN 传播部分的要求,读出模块应该在模型推理过程中承担更多责任。因此,需要一种具有强大推理能力的readout模块。
现有的基于readout模块的改进集中于实例视角(instance-view),即下图中的第一层,若

最低0.47元/天 解锁文章
2548

被折叠的 条评论
为什么被折叠?



