前言
本文章属于个人的学习资料总结,文章属性大致分为三种,公式类(便于使用时查找)、概念理解类(便于理解一些概念)以及总结类。
文章部分内容可能过于简略,所以请见谅。
如果有问题的话我也一起交流讨论。
简介
电容电感是两种基础器件,有三个特征:无源、线性和储能。
电容
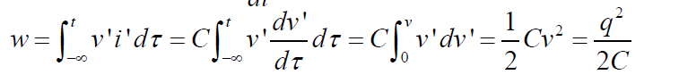
电容器等于电荷的容器。
定义
q = Cv
决定式:
C
=
ε
A
d
C=\frac{εA}{d}
C=dεA
where ε is the permittivity (介电常数,电
容率) of the dielectric material.
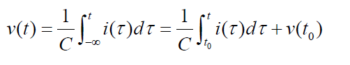
伏安特性




电容的串并联
刚好与电阻相反
证明暂略
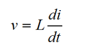
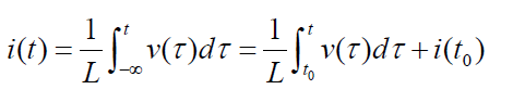
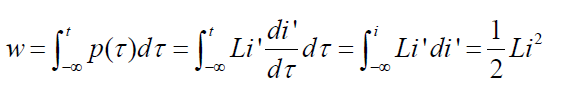
电感
存储磁场的器件
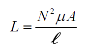
定义



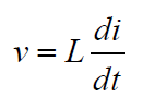
伏安特性




注意:电感的电流具有连续性
一阶电路
https://blog.youkuaiyun.com/Shanner/article/details/105195883
此篇内容未完待续
电路基础:电容、电感与一阶电路
本文是个人学习电容、电感及一阶电路的总结,介绍了电容的定义、伏安特性及电容的串并联规则,电感的储能性质及其伏安特性,并简要提及了一阶电路的相关内容。适合理解和复习基础知识。
1万+

被折叠的 条评论
为什么被折叠?



