在前面教程中,我们介绍了如何通过查询重写、各种优化检索策略和召回重排策略来提升检索模块的召回率。其中影响检索召回文档质量的一个关键组件为 similarity,它的作用是用来计算检索的文档和查询 query 之间的相似度。
LazyLLM 默认提供的相似度计算函数为 bm25(分为英文和中文) 相似度计算,余弦相似度计算方法。其中 bm25 算法主要针对文本进行计算,而余弦相似度算法主要针对 embedding 进行计算。如果 LazyLLM 提供的默认相似度计算方法不能满足自己的需求,可以自己来设计定义符合自己需求的相似度计算方法。与 Similarity 组件相似,本教程同时介绍 Transform的自定义方法。
本教程主要介绍如何使用自定义 Similarity 组件和 Transform的方法,读完本教程,您将学会 LazyLLM 中自定义 Similarity 和 Transform的方法,并基于 Similarity 和 Transform分别搭建一个简单的RAG应用。
为什么要自定义 Similarity
在 RAG服务中,检索模块的效果直接影响生成结果的相关性与准确性。不同应用场景对“相似度”的理解和需求各不相同。例如,在法律或医疗文档中,强调关键词级别的精确匹配;在通用问答场景中,更注重语义层面的理解;而在多模态场景中,则可能涉及文本与图像或结构化数据之间的对齐匹配。为适配多样化需求,LazyLLM 提供了两种通用的相似度计算方法:BM25/BM25_chinese和余弦相似度。尽管这两者在通用场景中具有良好表现,但在某些特定任务中仍存在局限性:
-
BM25 无法理解语义近似:它基于词频和词面匹配,无法处理近义词、同义术语或行业特定表述的归一化问题;
-
余弦相似度粒度较粗:在长文本或结构复杂的文档中,局部相关内容容易被整体平均,从而稀释匹配效果。
👇我们来看一个示例,关于BM25 无法理解领域语义(近义词、术语归一)的问题。
① 示例背景

-
用户查询:“高血糖的饮食干预方法”
-
查询说明:用户查询医学相关的资料,使用的是专业术语的同义表达。
-
候选文档:“糖尿病患者应控制碳水化合物摄入,以调节血糖水平。”
② 理想匹配预期
“高血糖”是“糖尿病”的核心表现之一。尽管查询和文档表述不同,但在医学语境中高度相关。理想的检索系统应能理解两者间的语义等价关系,从而高质量地命中该文档。
③ 问题分析
使用 BM25 或 BM25_chinese 时,由于它们仅关注词面重合,“高血糖”与“糖尿病”词面不同,因此得分较低,极有可能被错过。这类基于表层匹配的方式在专业领域语义检索中显得力不从心。因此,为提升检索质量,在实际系统中往往需要引入更语义敏感、领域定制化的相似度策略,以适配复杂多变的业务需求。
👇接着,看一下另一个示例,关于余弦相似度在长文档中被稀释的问题。
① 示例背景
-
用户查询:“谁具备优秀的项目管理能力”
-
查询说明:用户想找一段描述“张三的项目管理能力”的内容。
-
候选文档(长文档摘要):“张三毕业于某重点高校,具有多年软件开发经验。他参与多个大型项目的研发与部署,包括某知名 Agent应用开发框架。他的主要职责包括代码实现、团队协作与任务分配。此外,他还在多个关键节点中承担项目负责人的角色,体现出良好的组织能力和推进力。”
② 理想匹配预期
用户查询和文档中 “项目负责人”,“组织能力”等 部分高度相关,理想的系统应该能够识别出局部相关性,并提升该文档排名。
③ 问题分析
使用基于 TF-IDF 向量化的余弦相似度时,文档的所有词语都被纳入整体向量表示。在这种情况下,像“开发经验”、“代码实现”等内容虽然词频较高,却与查询目标无关,反而稀释了项目管理相关内容的权重,导致整体相似度偏低,文档难以被正确召回或排序靠前。因此,在处理包含多个主题的长文档时,单一的全文向量匹配显得力不从心,更需要引入局部语义感知机制(如片段级匹配、摘要引导、注意力机制等)来增强相关片段的识别与表达。
如何自定义 Similarity
1.环境准备
如果您的电脑上安装了Python,请通过下方命令安装lazyllm及必要的依赖包。关于 LazyLLM 的环境更详细的准备可以参考 第2讲:10分钟上手一个最小可用RAG系统 中对应的内容。
pip install lazyllm
2.实现函数
由于 LazyLLM 只提供了 BM25 和余弦相似度两种相似度计算方式,在实际应用中可能不能满足要求,这就需要自己根据实际需求来定制 similarity。这里我们以 TF-IDF 算法来实现一个 similarity 计算的例子来说明怎么定义及应用。
TF-IDF 原理与示例
TF-IDF 全称为 Term Frequency - Inverse Document Frequency,是一种在信息检索和文本挖掘中广泛使用的关键词提取算法。它的核心思想是:一个词如果在一篇文档中频繁出现,但在所有文档中不常见,那么它很可能是这篇文档的重要关键词。
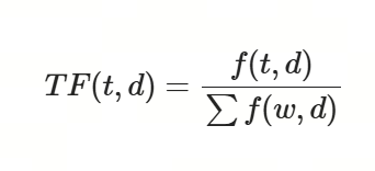
1. 词频 TF(Term Frequency)
衡量词语在文档中的重要性:

其中, f(t,d) 表示词 t 在文档 d 中出现的次数,分母为该文档中所有词的出现次数之和。
2. 逆文档频率 IDF(Inverse Document Frequency)
衡量词语在语料库中的稀有程度:

其中, N 为总文档数, df(t) 为包含词 t 的文档数。
3. 最终计算公式:TF-IDF

4. 示例分析
文档集:
📄 文档1:「大模型 正在 改变 世界」
📄 文档2:「大模型 是 人工 智能 的 关键 技术」
📄 文档3:「我 喜欢 编程」
查询:「大模型 技术」
🔹 TF(以文档2为例) :共7词
“大模型”出现1次 → TF = 1 / 7 ≈ 0.143
“技术”出现1次 → TF = 1 / 7 ≈ 0.143
🔹 IDF(N = 3)
“大模型”:df = 2 → IDF = log(3 / (1+2)) = log(1) = 0
“技术”:df = 1 → IDF = log(3 / 2) ≈ 0.405
🔹 TF-IDF(以文档2为例)
TF-IDF("大模型") = 0.143 × 0 = 0
TF-IDF("技术") = 0.143 × 0.405 ≈ 0.058
🚨注意:为了避免IDF为负值,Sklearn中使用了平滑版,做了一些处理避免了除以 0,也确保了 IDF ≥ 1。
虽然“大模型”是 query 的关键词,但由于它在多个文档中频繁出现,IDF 为 0,无法帮助区分文档。而“技术”这个词仅在文档2中出现,它的 TF-IDF 值高,对区分文档有贡献。
代码示例:
(代码GitHub链接:
https://github.com/LazyAGI/Tutorial/blob/7abc91dbb82a007a78731845dd8c360ac0cc1e75/rag/codes/chapter8/rag_tfidf_similarity.py#L1)
from sklearn.feature_extraction.text import TfidfVectorizer
from sklearn.metrics.pairwise import cosine_similarity
import numpy as np
from scipy.linalg import norm
import sys
import heapq
from typing import List, Tuple
from lazyllm.tools.rag import DocNode
def tfidf_similarity(query: str, nodes: List[DocNode], **kwargs) -> List[Tuple[DocNode, float]]:
def add_space(s):
return ' '.join(list(s))
corpus = [add_space(node.get_text()) for node in nodes]
query = add_space(query)
topk = min(len(nodes), kwargs.get("topk", sys.maxsize))
cv = TfidfVectorizer(tokenizer=lambda s: s.split())
tfidf_matrix = cv.fit_transform(corpus+[query])
query_vec = tfidf_matrix[-1]
doc_vecs = tfidf_matrix[:-1]
similairyties = cosine_similarity(query_vec, doc_vecs).flatten()
indexes = heapq.nlargest(topk, range(len(similairyties)), similairyties.__getitem__)
results = [(nodes[i], similairyties[i]) for i in indexes]
return results
在上面的代码中,我们首先通过把 query 和 node 中的文本中插入空格,以用于后面的 tokenizer 处理。tfidf算法是调用 sklearn 中的 TfidfVectorizer 来实现的。计算完 query 和 node 的相似度之后,提取 topk 的结果作为输出。现在我们使用下面的例子进行测试。
query = "今天天气怎么样"
candidates = [
DocNode(text="今天阳光明媚"),
DocNode(text="衬衫的价格是100元"),
DocNode(text="今天天气非常好"),
DocNode(text="我喜欢吃苹果"),
DocNode(text="今天天气真糟糕")
]
results = tfidf_similarity(query, candidates)
最后得到如下的输出结果:

3.注册函数
在上一节中我们定义了一个 tfidf 相似度计算方法,如果想在 LazyLLM 中使用该计算方法,则需要先把该方法注册进 LazyLLM 框架中。对相似度计算方法进行注册是通过装饰器来进行的,即通过 register_similarity 装饰器函数进行注册。
【装饰器(Decorator)是 Python 中的一种高级功能,它允许你在不修改原函数代码的情况下,给函数添加额外的功能(比如日志记录、性能测试、权限验证等)。其本质上是一个 “接受函数作为参数,并返回新函数” 的函数。你可以把它想象成 “函数的包装盒”——把函数放进去,它就会自动获得新能力。实现代码如下。】
代码如下:
import lazyllm
@lazyllm.tools.rag.register_similarity(mode='text', batch=True)
def tfidf_similarity(query: str, nodes: List[DocNode], **kwargs) -> List[Tuple[DocNode, float]]:
...
register_similarity装饰器函数有四个参数,这里我们详细介绍一下。
-
func,它是一个可选的调用对象,表示要被装饰的函数,如果没有提供,则会返回一个装饰器函数。
-
mode,它是可选的字面类型,取值为 "text" 或 "embedding",表示相似度计算的模式:
→"text" 表示该相似度计算方法主要是针对文本进行计算的;
→"embedding" 表示该相似度计算方法主要是针对嵌入向量进行计算的。
-
descend,它是一个布尔值,指示结果是否按降序排序,默认值为 True,需要注意这个参数不是在在计算相似度输出时生效,而是在索引的时候才会生效。
-
batch,它也是一个布尔值,指示是否支持批量处理,默认值为 False。
下面简单展示一下装饰器的三种使用方式:
# 使用方式1:作为函数使用
func1 = lazyllm.tools.rag.register_similarity(tfidf)
# 使用方式2:作为无参数的装饰器使用
@lazyllm.tools.rag.register_similarity
def tfidf(query: str, nodes: List[DocNode],
**kwargs) -> List[Tuple[DocNode, float]]:
……
# 使用方式3:作为有参数的装饰器使用
@lazyllm.tools.rag.register_similarity(mode=‘text’)
def tfidf(query: str, nodes: List[DocNode],
**kwargs) -> List[Tuple[DocNode, float]]:
4.参数详解
下面我们通过一些小例子来比较每个参数的作用:
1. 参数 func
关于 register_similarity函数的 func 参数,有两种方式使用,一种是正常函数调用的方式传参进去,一种是通过装饰器的方式直接在函数定义时注册。下面为了说明这个参数传进去和没有传进去的区别,我们使用函数调用的方式来演示。
func1 = lazyllm.tools.rag.register_similarity(tfidf_similarity)
func2 = lazyllm.tools.rag.register_similarity()
print(f"func1: {func1.__name__}, func2: {func2.__name__}")
输出结果为:
func1: tfidf_similarity, func2: decorator
func1 对应的是注册函数传入了相似度计算函数,所以它的返回值是被装饰的相似度计算函数,而 func2 对应的是是没有传入相似度计算函数,所以它的返回值是装饰器函数。
2. 参数 mode
Mode,可选的字面类型,取值为 "text" 或 "embedding",表示相似度计算的模式。
-
"text" 表示该相似度计算方法主要是针对文本进行计算的;
-
"embedding" 表示该相似度计算方法主要是针对嵌入向量进行计算的;

📌 从表中可以看出,我们的输入、mode和参数三者类型必须完全一致才可以使用。但实际使用时,只需要保证函数的node参数类型和注册时候的mode参数一致即可,无需关心query的类型。
这里我们先定义一个欧式距离的计算函数:
import lazyllm
from typing import List
import numpy as np
def euclidean_distance(query: List[float], node: List[float], **kwargs) -> float:
point1 = np.array(query)
point2 = np.array(node)
return np.linalg.norm(point1 - point2)
然后把这个相似度计算函数注册一下,这里使用不同的mode:
func1 = lazyllm.tools.rag.register_similarity(euclidean_distance, mode="text")
func2 = lazyllm.tools.rag.register_similarity(euclidean_distance, mode="embedding")
然后我们定义不同的 query 和 node 来用不同模式的相似度计算函数计算相似度,看看效果:
query_t = "hello world."
node_t = [DocNode(text="hello lazyllm.")]
query_e = {"key": [1.0, 0.4, 2.1]}
node_e = [DocNode(embedding={"key": [4.2, 2.1, 3.9]})]
用 func1 计算文本的相似度
ret = func1(query_t, node_t)
print(f"ret: {ret}")
输出结果报错了:
TypeError: unsupported operand type(s) for -: 'str' and 'DocNode'
用 func1 计算向量相似度
ret = func1(query_e, node_e)
print(f"ret: {ret}")
输出结果报错了:
TypeError: unsupported operand type(s) for -: 'dict' and 'DocNode'
用 func2 计算文本的相似度
ret = func2(query_t, node_t)
print(f"ret: {ret}")
输出结果报错了:
AssertionError: query must be of dict type, used for similarity calculation.
用 func2 计算向量相似度
ret_2e = func2(query_e, node_e)
print(f"ret_2e: {ret_2e}")
输出结果为:
ret: {'key': [(<Node id=2865d5c9-730b-4fda-8077-57b706944ad9>, 4.045985664828782)]}
输出结果符合预期,因为 LazyLLM 是支持多 embedding 的,所以前面的 key 表示的是哪类 embedding,然后 tuple 里面的第一项 Node 表示的是哪个节点和 query 进行计算的,第二项表示的是相似度分数。
通过上面四种结果比较,就可以非常清楚 mode 参数的作用了。
3. 参数 descend
descend,布尔值,指示结果是否按降序排序,默认值为 True。需要注意这个参数不是在计算相似度输出时生效,而是在索引的时候才会生效。因为输出时会去重,所以只是返回了topK个node,并不一定以按序排列的。这里我们通过查看 Retriever 检索的结果是否和 query 相似就可以看出该参数的效果了。
我们还是继续使用上面定义的欧氏距离的计算函数,把这个相似度计算函数注册一下,我们先使用 descend 为默认值True的情况:
import lazyllm
from typing import List
import numpy as np
@lazyllm.tools.rag.register_similarity(mode="embedding")
def euclidean_distance(query: List[float], node: List[float], **kwargs) -> float:
point1 = np.array(query)
point2 = np.array(node)
return np.linalg.norm(point1 - point2)
然后我们使用前面的 html 文档进行测试,我们先定义一个 Retriever 对象:
import lazyllm
import os
from lazyllm import OnlineEmbeddingModule, SentenceSplitter, Retriever
from lazyllm.tools.rag import Document
prompt = 'You will play the role of an AI Q&A assistant and complete a dialogue task. In this task, you need to provide your answer based on the given context and question.'
documents = Document(dataset_path=os.path.join(os.getcwd(), "rag_data"), embed=OnlineEmbeddingModule(source="glm", embed_model_name="embedding-2"), manager=False)
documents.create_node_group(name="sentences", transform=SentenceSplitter, chunk_size=1024, chunk_overlap=100)
ppl = Retriever(documents, group_name="CoarseChunk", similarity="euclidean_distance", similarity_cut_off=0.003, topk=3)
nodes = ppl("全国住房城乡建设工作会议的主要内容")
for node in nodes:
print(f"node: {node.text}")
这里我们在定义 Retriever 的时候把前面注册过的 similarity 函数名称传进去即可,然后我们选取 top 3的结果。
输出结果为:
node: cn/release/blogv2/dist/pc/themesSkin/skin-1024/skin-1024-ecd36efea2.min.css">
<script src="https://g.csdnimg.cn/lib/jquery/1.12.4/jquery.min.js" type="text/javascript"></script>
<script src="https://g.csdnimg.cn/lib/jquery-migrate/1.4.1/jquery-migrate.js" type="text/javascript"></script>
<script type="text/javascript">
var isCorporate = false;
var username = "star_nwe";
var skinImg = "white";
var blog_address = "https://blog.youkuaiyun.com/star_nwe";
var currentUserName = "wangjian052163";
var isOwner = false;
var loginUrl = "http://passport.youkuaiyun.com/account/login?from=https://blog.youkuaiyun.com/star_nwe/article/details/141174167";
var blogUrl = "https://blog.youkuaiyun.com/";
var avatar = "https://profile-avatar.csdnimg.cn/9d615c5dd45743bea262227ce1ce205e_star_nwe.jpg!1";
var articleTitle = "大模型入门到进阶:什么是 RAG?为什么需要 RAG?RAG 的流程";
var articleDesc = "文章浏览阅读5k次,点赞22次,收藏25次。学习AI大模型是一个系统的过程,需要从基础开始,逐步深入到更高级的技术。这里给大家精心整理了一份全面的AI大模型学习资源,包括:AI大模型全套学习路线图(从入门到实战)、精品AI大模型学习书籍手册、视频教程、实战学习等录播视频,免费分享!_大模型rag";
var articleTitles = "大模型入门到进阶:什么是 RAG?为什么需要 RAG?RAG 的流程_大模型rag-优快云博客";
var nickName = "AI老猴子";
var articleDetailUrl = "https://blog.youkuaiyun.com/star_nwe/article/details/141174167";
var vipUrlV = "https://mall.youkuaiyun.com/vip?vipSource=learningVip";
if(window.location.host.split('.').length == 3) {
blog_address = blogUrl + username;
}
var skinStatus = "White";
var blogStaticHost = "https://csdnimg.cn/release/blogv2/"
var payColumn = false
</script>
<meta name="toolbar" content='{"type":"0","fixModel":"1"}'>
<script src="https://g.csdnimg.cn/??fixed-sidebar/1.1.7/fixed-sidebar.js" type="text/javascript"></script>
<script src="https://cdn-static-devbit.youkuaiyun.com/ai100/chat/chat-search.js?v=2" type="text/javascript"></script>
<script src='//g.csdnimg.cn/common/csdn-report/report.js' type='text/javascript'></script>
<link rel="stylesheet" type="text/css" href="https://csdnimg.cn/public/sandalstrap/1.4/css/sandalstrap.min.css">
<style>
.MathJax, .MathJax_Message, .MathJax_Preview{
display: none
}
</style>
<script src="https://dup.baidustatic.com/js/ds.js"></script>
<script type="text/javascript">
(function(c,l,a,r,i,t,y){
c[a]=c[a]||function(){(c[a].q=c[a].q||[]).push(arguments)};
t=l.createElement(r);t.async=1;t.src="https://www.clarity.ms/tag/"+i;
y=l.getElementsByTagName(r)[0];y.parentNode.insertBefore(t,y);
})(window, document, "clarity", "script", "lgtpix6r85");
</script>
<script src="/cdn_cgi_bs_captcha/static/js/waf_captcha_embedded_bs.
node: opener.location.href;
}
} catch (e) {}
}
if (referrer) {
$.post(web_root_url + "/api/waplog", {
uuid: $("#uuid").val(),
refer: referrer,
ua: navigator.userAgent
}, function(e) {
//console.log('waplog:' + e);
});
} else {
//$.post(web_root_url + "/api/waplog", {uuid:'1234567890123', refer:'https://www.baidu.com', ua:'user-agent!'}, function(e){
//console.log('waplog:' + e);
//});
}
//console.log(navigator.userAgent);
// 记录分享行为
var urlSearch = window.location.href.substring(window.location.href.indexOf("?")+1) || "";
let shareuser = "";
let shareUrl = ""
let searchArr = urlSearch.split("&")
searchArr.forEach((item,index) => {
let ab = item.split("=");
if(ab[0] === 'shareuser'){
shareuser = ab[1];
shareUrl = item;
}
})
// console.log('shareUrl1 ',shareUrl)
if(shareuser){
$.ajax({
type: 'GET',
url: web_root_url + '/japi/pv?article_uuid=' + uuid + '&user_uuid=' + shareuser,
dataType: 'JSON',
success: function(st) {
if (st.suc == 1 && st.info == 'success') {
}else{
}
},
error: function() {}
})
}
});
</script>
<!-- 与预览页公用 -->
<script src="https://static.bjnews.com.cn/wap/js/article.js"></script>
<script src="https://res.wx.qq.com/open/js/jweixin-1.6.0.js"></script>
<!--分享-->
<script type="text/javascript">
$.ajax({
type: "GET",
url: "https://m.bjnews.com.cn/api/wxshare?app_id=wxbad48ed25d961bb9",
// url: "https://m.bjnews.com.cn/api/wxshare?app_id=wxbad48ed25d961bb9",
dataType: 'json',
success: function(data) {
var signpackage = data.signpackage;
wx.config({
// debug: true,
appId: "wxbad48ed25d961bb9", // 必填,公众号的唯一标识
// appId: "wxbad48ed25d961bb9", // 必填,公众号的唯一标识
timestamp: signpackage.timestamp, // 必填,生成签名的时间戳
nonceStr: signpackage.nonceStr, // 必填,生成签名的随机串
signature: signpackage.signature, // 必填,签名,见附录1
jsApiList: [
'checkJsApi',
'onMenuShareTimeline',
'onMenuShareAppMessage'
],
openTagList: ['wx-open-launch-app']
});
}
});
wx.ready(function() {
var share_uuid = "1735095611129204";
// 获取url分享后缀
var wxurlSearch = window.location.href.substring(window.location.href.indexOf("?")+1) || "";
let wxshareuser = "";//url 分享信息
if(wxurlSearch){
let wxsearchArr = wxurlSearch.split("&")
wxsearchArr.forEach((item,index) => {
let ab = item.split("=");
if(ab[0] === 'shareuser'){
wxshareuser = item;
}
})
}
// 处理分享链接
var shareLinkUrl;
shareLinkUrl = web_root_url + "/detail/" + share_uuid + ".html";
if (wxshareuser) {
shareLinkUrl = shareLinkUrl + "?"
node: </span>llm<span class="token punctuation">.</span>llm <span class="token keyword">import</span> ChatSparkLLM<span class="token punctuation">,</span> ChunkPrintHandler
<span class="token keyword">from</span> sparkai<span class="token punctuation">.</span>core<span class="token punctuation">.</span>messages <span class="token keyword">import</span> ChatMessage
<span class="token keyword">from</span> dotenv <span class="token keyword">import</span> load_dotenv
load_dotenv<span class="token punctuation">(</span><span class="token punctuation">)</span>
<span class="token keyword">if</span> __name__ <span class="token operator">==</span> <span class="token string">'__main__'</span><span class="token punctuation">:</span>
spark <span class="token operator">=</span> ChatSparkLLM<span class="token punctuation">(</span>
spark_api_url<span class="token operator">=</span>os<span class="token punctuation">.</span>environ<span class="token punctuation">[</span><span class="token string">"SPARKAI_URL"</span><span class="token punctuation">]</span><span class="token punctuation">,</span>
spark_app_id<span class="token operator">=</span>os<span class="token punctuation">.</span>environ<span class="token punctuation">[</span><span class="token string">"SPARKAI_APP_ID"</span><span class="token punctuation">]</span><span class="token punctuation">,</span>
spark_api_key<span class="token operator">=</span>os<span class="token punctuation">.</span>environ<span class="token punctuation">[</span><span class="token string">"SPARKAI_API_KEY"</span><span class="token punctuation">]</span><span class="token punctuation">,</span>
spark_api_secret<span class="token operator">=</span>os<span class="token punctuation">.</span>environ<span class="token punctuation">[</span><span class="token string">"SPARKAI_API_SECRET"</span><span class="token punctuation">]</span><span class="token punctuation">,</span>
spark_llm_domain<span class="token operator">=</span>os<span class="token punctuation">.</span>environ<span class="token punctuation">[</span><span class="token string">"SPARKAI_DOMAIN"</span><span class="token punctuation">]</span><span class="token punctuation">,</span>
streaming<span class="token operator">=</span><span class="token boolean">False</span><span class="token punctuation">,</span>
<span class="token punctuation">)</span>
prompt <span class="token operator">=</span> <span class="token string-interpolation"><span class="token string">f"""
你是一个善于回答问题的助手。请使用以下提供的检索内容和自身知识来回答问题。如果你不知道答案,请直接说不知道,不要杜撰答案。请用三句话以内回答,保持简洁。
问题:</span><span class="token interpolation"><span class="token punctuation">{<!-- --></span>query<span class="token punctuation">}</span></span><span class="token string">
检索内容:</span><span class="token interpolation"><span class="token punctuation">{<!-- --></span>retrieval_content<span class="token punctuation">}</span></span><span class="token string">
"""</span></span>
messages <span class="token operator">=</span> <span class="token punctuation">[</span>ChatMessage<span class="token punctuation">(</span>
role <span class="token operator">=</span> <span class="token string">"user"</span><span class="token punctuation">,</span>
content <span class="token operator">=</span> prompt
<span class="token punctuation">)</span><span class="token punctuation">]</span>
handler <span class="token operator">=
可以从输出的结果中看到检索出来的文本和请求的query几乎完全没关系,因为我们使用的相似度计算方法是欧氏距离,距离越近说明文本越相似,由于是降序排列,所以 top3 对应的是距离最大的三段文本,那这三段文本和query不相似是符合预期的。
接下来我们在注册相似度计算函数是把 descend 设置为 False:
import lazyllm
from typing import List
import numpy as np
@lazyllm.tools.rag.register_similarity(mode="embedding", descend=False)
def euclidean_distance(query: List[float], node: List[float], **kwargs) -> float:
point1 = np.array(query)
point2 = np.array(node)
return np.linalg.norm(point1 - point2)
然后我们再运行一次上面的检索代码,发现输出结果为:
node: <!DOCTYPE html>
<html data-log-pv='{"mpc":39}'>
<head>
<title>全国住房城乡建设工作会议:大力推进商品住房销售制度改革 有力有序推行现房销售_发展</title>
<meta http-equiv="Cache-Control" content="no-transform" />
<meta http-equiv="Cache-Control" content="no-siteapp" />
<meta name="copyright" content="Copyright © 2017 Sohu.com Inc.All Rights Reserved."/>
<meta name="mediaid" content="财联社"/>
<meta property="og:type" content="news"/>
<meta property="og:image" content=""/>
<meta property="og:url" content="www.sohu.com/a/841580226_222256"/>
<meta property="og:release_date" content="2024-12-25 10:27"/>
<meta itemprop="dateUpdate" content="2024-12-25 10:27" />
<meta itemprop="datePublished" content="2024-12-25 10:27" />
<link rel="canonical" href="https://www.sohu.com/a/841580226_222256"/>
<link rel="alternate" media="only screen and(max-width: 640px)" href="m.sohu.com/a/841580226_222256"/>
<meta name="keywords" content="商品,现房,住房,制度,工作,改革,销售,会议,发展,大力,现房,住房,工作会议,房地产,财联社" />
<meta name="description" content="财联社12月25日电,全国住房城乡建设工作会议24日至25日在北京召开。会议指出,2025年,推动构建房地产发展新模式。一是着力优化和完善住房供应体系,加快发展保障性住房,满足城镇住房困难工薪群体刚性住房需求…" />
<meta property="og:description" content="财联社12月25日电,全国住房城乡建设工作会议24日至25日在北京召开。会议指出,2025年,推动构建房地产发展新模式。一是着力优化和完善住房供应体系,加快发展保障性住房,满足城镇住房困难工薪群体刚性住房需求…"/>
<meta property="og:title" content="全国住房城乡建设工作会议:大力推进商品住房销售制度改革 有力有序推行现房销售_发展"/>
<metacharset="utf-8"/><metaname="data-spm"content="smpc"><metaname="renderer"content="webkit"><metahttp-equiv="X-UA-Compatible"content="IE=Edge,chrome=1"/><metaname="viewport"content="width=device-width,initial-scale=1,maximum-scale=1"/><linkrel="dns-prefetch"href="//statics.itc.cn"><linkrel="dns-prefetch"href="//g1.itc.cn"><linkrel="dns-prefetch"href="//js.sohu.com"><linkrel="icon"href="//statics.itc.cn/web/static/images/pic/sohu-logo/favicon.ico"type="image/x-icon"/><linkrel="shortcut icon"href="//statics.itc.cn/web/static/images/pic/sohu-logo/favicon.ico"type="image/x-icon"/><linkrel="apple-touch-icon"sizes="57x57"href="//statics.itc.cn/web/static/images/pic/sohu-logo/logo-57.png"/><linkrel="apple-touch-icon"sizes="72x72"href="//statics.itc.cn/web/static/images/pic/sohu-logo/logo-72.png"/><linkrel="apple-touch-icon"sizes="114x114"href="//statics.itc.cn/web/static/images/pic/sohu-logo/logo-114.png"/><linkrel="apple-touch-icon"sizes="144x144"href="//statics.itc.
node: js"></script> <script>
try {
var cfgs = {
channel_id: "39",
news_id: "841580226",
cms_id: "$mpNews.cmsId",
media_id: "222256",
passport: "pj6PliNNPJ@virtual-author.com",
weboUrl: "https://mp.sohu.com/profile?xpt=c29odXptdG5hdnVnMDhAc29odS5jb20=",
title: "全国住房城乡建设工作会议:大力推进商品住房销售制度改革 有力有序推行现房销售",
channel_url: "//house.sohu.com",
integralLevel: "7",
categoryId: "-1",
//abData_fd用于abtest
abData: "",
// abData_discuss:"4", // 讨论
abData_discuss: "", // 讨论
abData_fd: "",
abData_tw: "",
originalId: "$mpNews.originalId",
originalStatus: "10",
isBaiDuAd: "",
isPure: "${pure}",
reprint: false,
reprintSign: "",
secureScore: '100',
sGrade: '0',
editor: '',
hideAd: '',
keywords: "[商品, 现房, 住房, 制度, 工作, 改革, 销售, 会议, 发展, 大力, 现房, 住房, 工作会议, 房地产, 财联社]",
mpNewsExt: {
"modelId": ""
},
imgsList: [
],
topNavigation: [
{
"url": "http://news.sohu.com/",
"name": "新闻",
}
, {
"url": "http://sports.sohu.com/",
"name": "体育",
}
, {
"url": "http://auto.sohu.com/",
"name": "汽车",
}
, {
"url": "http://www.focus.cn/",
"name": "房产",
}
, {
"url": "http://travel.sohu.com/",
"name": "旅游",
}
, {
"url": "http://learning.sohu.com/",
"name": "教育",
}
, {
"url": "http://fashion.sohu.com/",
"name": "时尚",
}
, {
"url": "http://it.sohu.com/",
"name": "科技",
}
, {
"url": "http://business.sohu.com/",
"name": "财经",
}
, {
"url": "http://yule.sohu.com/",
"name": "娱乐",
}
, {
"url": "http://baobao.sohu.com/",
"name": "母婴",
}
, {
"url": "https://healthnews.sohu.com/",
"name": "健康",
}
, {
"url": "http://history.sohu.com/",
"name": "历史",
}
, {
"url": "http://mil.sohu.com/",
"name": "军事",
}
, {
"url": "http://chihe.sohu.com/",
"name": "美食",
}
, {
"url": "http://cul.sohu.com/",
"name": "文化",
}
, {
"url": "http://astro.sohu.com/",
"name": "星座",
}
, {
"url": "https://www.sohu.com/xchannel/TURBd01EQXhPVGt5",
"name": "专题",
}
, {
"url": "http://game.sohu.com/",
"name": "游戏",
}
,
node: 三是大力推进商品住房销售制度改革,有力有序推行现房销售,优化预售<span>资金监管</span>。四是加快建立房屋全生命周期安全管理制度,为房屋安全提供有力保障。五是完善房地产全过程监管,整治房地产市场秩序,切实维护群众合法权益。<a href="//www.sohu.com/?strategyid=00001 " target="_blank" title="点击进入搜狐首页" id="backsohucom" style="white-space: nowrap;"><span class="backword"><i class="backsohu"></i>返回搜狐,查看更多</span></a></p> <!-- 政务账号添加来源标示处理 -->
<!-- 政务账号添加来源标示处理 -->
<p data-role="editor-name">责任编辑:<span></span></p>
</article>
<div id="articleTransfer"><transfer/></div>
<!-- 评论禁言通知 -->
<div id="bannedNotice"><banned-notice/></div>
<div class="statement">平台声明:该文观点仅代表作者本人,搜狐号系信息发布平台,搜狐仅提供信息存储空间服务。</div><div class="bottom-relate-wrap clear type-3">
<div id="article-like" data-like-type="type-3">
<article-like/>
</div>
<div class="read-wrap">
<span class="read-num">阅读 (<em data-role="pv" data-val="$articleStat.pv"></em>)</span>
</div>
<div id="articleReport">
<report/>
</div>
</div>
<div id="sohu-play-content"></div>
</div>
</div>
<div data-spm="middle-banner-ad">
</div>
<div id="articleAllsee" style='height:629px'><all-see-list/></div>
<div class="_0u4o3bh76zbp"></div>
<div class="god-article-bottom" id="god_bottom_banner" data-spm="ad-text-bottom" style="display:block">
</div>
<div class="user-god clear" id="user-post" style="display:none">
</div> <!-- 评论 -->
<div id="meComment" style='min-height: 100px;'>
<me-comment/>
</div>
<div id="commentList">
<comment-list></comment-list>
</div>
<div id="discuss"></div>
<!-- 推荐阅读 -->
<div style='min-height:1500px' id="groomRead">
<groom-read/>
</div>
</div>
<!-- 右侧边栏 -->
<div class="sidebar right" id="right-side-bar" data-a="${isBaiDuAd}">
<right-side-bar/>
</div>
</div>
<div id="float-btn"> <float-btn/> </div>
<div class="left-bottom-float-fullScreenSleepContainer" style="display:none;">
<div class="left-bottom-float-fullScreenSleep" style="display:none;" data-spm="ad-fullScreenSleep">
<div class="close-tag"></div>
</div>
</div>
<div class="left-bottom-float" id="left-bottom-god" data-spm="ad-ss">
</div> </div>
<script type="text/javascript">
window.deployEnv = "prod"
</script>
<script src="//js.sohu.com/pv.js"></script><script src="https://g1.itc.cn/msfe-pcarti-prod/300000000000/assets/js/vendors-d407b7.js"></script><script src="https://g1.itc.cn/msfe-pcarti-prod/300000000000/assets/js/main_article-64e941.js"></script> <script>
try {
var cfgs = {
channel_id: "39",
news_id: "841580226",
cms_id: "$mpNews.cmsId",
media_id: "222256",
passport: "pj6PliNNPJ@virtual-author.com",
weboUrl: "https://mp.sohu.
这次返回的结果中可以看到都是和请求query相似度很高的文本了,符合预期。
4. 参数 batch
batch,布尔值,指示是否将所有的文档(Node)一次性给到相似度计算公式,默认值为 False。Batch主要是在需要计算均值、方差等统计特征时需要,而不是为了并行计算,LazyLLM 在 similarity 外面已经考虑了并行计算。
欧式距离计算函数
这里我们先以上面定义的欧式距离计算函数为例,把这个相似度计算函数注册一下,这里使用不同的 batch:
func1 = lazyllm.tools.rag.register_similarity(euclidean_distance, mode="embedding", batch = True)
func2 = lazyllm.tools.rag.register_similarity(euclidean_distance, mode="embedding")
我们先计算 batch 设置为 True 的相似度计算函数:
ret = func1(query_e, node_e)
print(f"ret: {ret}")
输出结果报错了:
TypeError: 'numpy.float64' object is not iterable
我们再计算 batch 设为 False 的相似度计算函数:
ret = func2(query_e, node_e)
print(f"ret: {ret}")
输出结果为:
ret: {'key': [(<Node id=07cce4d6-6d4f-466b-9895-b0d77f607dbd>, 4.045985664828782)]}
因为该函数支持非批量计算,所及结果符合预期。
tfidf 相似度计算函数
接下来我们使用前面自定义的 tfidf_similarity 来看一下效果,也是先注册一下,这里使用不同的 batch:
func3 = lazyllm.tools.rag.register_similarity(tfidf_similarity, mode="text", batch=True)
func4 = lazyllm.tools.rag.register_similarity(tfidf_similarity, mode="text")
我们先计算 batch 设置为 True 的相似度计算函数:
ret = func3(query_t, node_t)
print(f"ret: {ret}")
输出结果为:
ret: [(<Node id=4a04a93d-28b4-4dbc-83d5-91150f60a648>, 0.7031197927433698)]
因为前面定义的 tfidf 相似度计算函数是支持批量计算的,所以结果符合预期。
我们再计算 batch 为 False 的相似度计算函数:
ret = func4(query_t, node_t)
print(f"ret: {ret}")
输出结果报错了:
TypeError: 'DocNode' object is not iterable
因为该函数不支持非批量计算,所及结果符合预期。
使用自定义 Similarity 搭建 RAG 应用
我们先使用 LazyLLM 默认的 similarity 函数搭建一个 RAG 应用。这里我们还是使用前面用过的 html 数据为例进行演示:
import os
import lazyllm
from lazyllm import pipeline, bind, OnlineEmbeddingModule, SentenceSplitter, Retriever, Reranker
from lazyllm.tools.rag import Document
prompt = 'You will play the role of an AI Q&A assistant and complete a dialogue task. In this task, you need to provide your answer based on the given context and question.'
documents = Document(dataset_path=os.path.join(os.getcwd(), "rag_data"), embed=OnlineEmbeddingModule(source="glm", embed_model_name="embedding-2"), manager=False)
documents.create_node_group(name="sentences", transform=SentenceSplitter, chunk_size=1024, chunk_overlap=100)
with pipeline() as ppl:
ppl.prl = Retriever(documents, group_name="CoarseChunk", similarity="bm25_chinese", similarity_cut_off=0.003, topk=3)
ppl.reranker = Reranker("ModuleReranker", model=OnlineEmbeddingModule(type="rerank", source="glm", embed_model_name="rerank"), topk=1, output_format='content', join=True) | bind(query=ppl.input)
ppl.formatter = (lambda nodes, query: dict(context_str=nodes, query=query)) | bind(query=ppl.input)
ppl.llm = lazyllm.OnlineChatModule(source="glm", model="glm-4", stream=False).prompt(lazyllm.ChatPrompter(prompt, extra_keys=["context_str"]))
print(ppl("为什么需要RAG"))
输出结果为:
需要RAG(检索增强生成)的原因在于大语言模型存在一些固有的局限性。这些局限性主要包括:
1. **时效性**:大语言模型的训练数据集是截至某个时间点的,这意味着之后发生的事件、新发现、新趋势或数据更新都不会包含在模型的知识库中。由于模型的训练需要庞大的计算资源和时间,频繁更新模型以包含最新信息是不现实的。
2. **覆盖性**:尽管大模型的训练数据集非常庞大,但仍可能无法涵盖所有领域的知识或特定领域的深入信息。例如,一些专业的医学、法律或技术问题可能只在特定文献中被详细讨论,而这些文献并未包含在模型的训练数据中。
当大模型面对其训练数据集并未覆盖的问题时,可能会产生不准确或误导性的答案,也就是所谓的“幻觉”。
为了解决这些问题,RAG通过以下流程来增强大语言模型的性能:
- **检索**:根据用户的查询内容,从外部知识库中检索相关信息。
- **增强**:将用户的查询内容和检索到的相关知识整合到一个提示词模板中。
- **生成**:将这个经过增强的提示词输入到大语言模型中,生成更准确、更有针对性的答案。
通过这样的方式,RAG能够弥补大语言模型的不足,减少误导性信息的产生,提高答案的可信度和准确性。
接下来我们在这个 RAG 应用中修改为使用前面自定义的 tfidf_similarity 方法,因为前面 tfidf_similarity 函数已经注册过了,所以这里使用很简单,只需要在 Retriever 初始化的时候指定参数 similarity 为我们自定义的相似度计算函数名即可。代码如下:
import lazyllm
import os
from lazyllm import pipeline, bind, OnlineEmbeddingModule, SentenceSplitter, Retriever, Reranker
from lazyllm.tools.rag import Document
prompt = 'You will play the role of an AI Q&A assistant and complete a dialogue task. In this task, you need to provide your answer based on the given context and question.'
documents = Document(dataset_path=os.path.join(os.getcwd(), "rag_data"), embed=OnlineEmbeddingModule(source="glm", embed_model_name="embedding-2"), manager=False)
documents.create_node_group(name="sentences", transform=SentenceSplitter, chunk_size=1024, chunk_overlap=100)
with pipeline() as ppl:
ppl.prl = Retriever(documents, group_name="CoarseChunk", similarity="tfidf_similarity", similarity_cut_off=0.003, topk=3)
ppl.reranker = Reranker("ModuleReranker", model=OnlineEmbeddingModule(type="rerank", source="glm", embed_model_name="rerank"), topk=1, output_format='content', join=True) | bind(query=ppl.input)
ppl.formatter = (lambda nodes, query: dict(context_str=nodes, query=query)) | bind(query=ppl.input)
ppl.llm = lazyllm.OnlineChatModule(source="glm", model="glm-4", stream=False).prompt(lazyllm.ChatPrompter(prompt, extra_keys=["context_str"]))
print(ppl("为什么需要RAG"))
输出内容为:
需要RAG(检索增强生成)的原因在于,大规模语言模型虽然能力强大,但在生成回答或文本时仍存在一些局限性。以下是几个具体的原因:
1. **知识更新限制**:大语言模型的知识是基于训练数据集的,这意味着它的知识是有限的,并且可能不会包含最新的信息。RAG通过检索外部知识库,可以引入最新的信息来增强生成的内容。
2. **上下文敏感性**:在没有额外信息的情况下,大模型可能无法针对特定上下文生成最精确的回答。RAG能够检索与当前上下文相关的信息,使得生成的文本更加准确和贴合。
3. **减少误导性信息**:大模型有时可能会生成不准确或误导性的信息。RAG通过整合检索到的准确信息,有助于减少这种误导性信息的产生。
4. **提升生成质量**:通过结合检索到的外部信息,RAG能够为大模型提供更丰富的上下文,从而优化生成结果,提高文本的质量和相关性。
5. **应对未知或稀疏数据**:对于某些特定领域或稀疏数据集,大模型可能缺乏足够的训练数据来生成高质量的输出。RAG通过检索相关领域的知识,可以帮助模型更好地处理这些情况。
综上所述,RAG旨在利用检索技术来弥补大语言模型的不足,提高生成文本的准确性和相关性,同时降低误导性信息的风险。
因为 tfidf 算法不如 BM25 算法的效果好,所以最后输出的结果也不如上面的好,符合预期。
1.查看Similarity分数
(完整GitHub代码链接:
https://github.com/LazyAGI/Tutorial/blob/7abc91dbb82a007a78731845dd8c360ac0cc1e75/rag/codes/chapter8/view_similarity_score.py#L1)
这里再补充一点,如何查看检索出来的 node 的 similarity 分数?我们其实可以通过 node 的 similarity_score 属性即可查看。这里我们还是以 tfidf_similarity 为例,代码如下:
import lazyllm
import os
from lazyllm import OnlineEmbeddingModule, SentenceSplitter, Retriever
from lazyllm.tools.rag import Document
prompt = 'You will play the role of an AI Q&A assistant and complete a dialogue task. In this task, you need to provide your answer based on the given context and question.'
documents = Document(dataset_path=os.path.join(os.getcwd(), "rag_data"), embed=OnlineEmbeddingModule(source="glm", embed_model_name="embedding-2"), manager=False)
documents.create_node_group(name="sentences", transform=SentenceSplitter, chunk_size=1024, chunk_overlap=100)
ppl = Retriever(documents, group_name="CoarseChunk", similarity="tfidf_similarity", similarity_cut_off=0.003, topk=3)
nodes = ppl("全国住房城乡建设工作会议的主要内容")
print(f"nodes: {nodes}")
for node in nodes:
print(f"node: {node.similarity_score}")
输出结果为:
nodes: [<Node id=8076e2ef-61c5-46b4-b622-91e9fddf1294>, <Node id=c68319a3-8f34-4cd4-948b-2cb4de22cf0c>, <Node id=7e6c3032-c9b8-4929-bce4-8fbc42417df2>]
node: 0.24727356514169233
node: 0.20530975832300122
node: 0.0970966448783235
可以看到检索到的 node 有三个,最高分是0.247,另两个是0.205和0.097。注意:Retriever 返回的节点是经过去重的,所以节点的相似度分数不一定是有序的。我们怎么能把分数比较低的节点过滤掉呢?这就需要设置 Retriever 中的 similarity_cut_off 参数,这个参数的作用就是过滤掉相似度分数低于此阈值的节点。这次我们把 Retriever 中的 similarity_cut_off 设为0.21,再看一下效果:
nodes: [<Node id=f2c8f5eb-4250-4aa1-ba32-81f0fa4c1017>]
node: 0.24727356514169233
可以看到这次输出只有一个节点了,说明 similarity_cut_off 参数配置生效了。
【补充】在上面 RAG 的代码中,我们可以看见 Reranker 实例化时传入了 output_format 和 join 这两个参数,它们是做什么用的呢?其实它们不光是可以在 Reranker里面设置,还可以在 Retriever里设置。它们是用来做后处理的。
2.Retriever参数详解
(完整GitHub代码链接:
https://github.com/LazyAGI/Tutorial/blob/7abc91dbb82a007a78731845dd8c360ac0cc1e75/rag/codes/chapter8/reranker_parameters_explanation.py#L1)
我们先来看 Retriever 里面的这两个参数的取值。output_format 的有效取值是 content 、dict 和 None,content 表示 Retriever 检索输出的是 Node 的内容,即 str 类型。dict 表示 Retriever 检索输出的是字典类型,即把 Node 中的内容转换成字典进行输出。None 表示不做任何后处理,直接以 Node 类型输出。join 的有效取值是布尔值、字符串值。当 join 为 False 时,只会对 output_format 为 content 有影响,即不对输出内容进行拼接,是以 List[str] 格式进行输出。当 join 为 True 时,会给 join 赋值空字符串。当 join 为字符串时同时 output_format 为 content,则使用 join 对 nodes中的文本进行拼接输出,即以 str 形式输出。
下面我们用代码演示一下。我们以上面的代码为例进行说明,并使用 LazyLLM 提供的 bm25_chinese相似度计算方法,然后使用国学的数据集(数据集下载方式:https://huggingface.co/datasets/LazyAGI/Chinese_Classics_Articles/tree/main)。
from lazyllm import OnlineEmbeddingModule, SentenceSplitter, Retriever
from lazyllm.tools.rag import Document
prompt = 'You will play the role of an AI Q&A assistant and complete a dialogue task. In this task, you need to provide your answer based on the given context and question.'
documents = Document(dataset_path="rag_master", embed=OnlineEmbeddingModule(source="glm", embed_model_name="embedding-2"), manager=False)
documents.create_node_group(name="sentences", transform=SentenceSplitter, chunk_size=1024, chunk_overlap=100)
ppl = Retriever(documents, group_name="sentences", similarity="cosine", similarity_cut_off=0.003, topk=3)
nodes = ppl("何为天道")
print(f"nodes: {nodes}")
结果输出为:
nodes: [<Node id=e25dbd6c-fb37-4181-88e5-4dc734afe2bf>, <Node id=3c92362f-f553-4325-9eb9-080d4ceb8757>, <Node id=e863a9b9-9962-4592-9c31-62bbab55052f>]
可以看到什么都不设置的话,检索出来的结果是以 Node 形式输出的。
下面我们把 output_format 设置为 dict:
ppl = Retriever(documents, group_name="sentences", similarity="cosine", similarity_cut_off=0.003, topk=3, output_format="dict")
运行上面的代码,结果输出为:
nodes: [{'content': '第一章\n道可道,非常道。\n名可名,非常名。\n无,名天地之始;有,名万物之母。\n故常无,欲以观其妙;常有,欲以观其徼。\n此两者同出而异名,同谓之玄,玄之又玄,众妙之门。\n第二章\n天下皆知美之为美,斯恶已;\n皆知善之为善,斯不善已。\n故有无相生,难易相成,长短相形,高下相盈,音声相和,前后相随,恒也。\n是以圣人处无为之事,行不言之教。\n万物作而弗始,生而不有,为而不恃,功成而弗居。\n夫唯弗居,是以不去。\n第三章\n不尚贤,使民不争。\n不贵难得之货,使民不为盗。\n不见可欲,使民心不乱。\n是以圣人之治:\n虚其心,实其腹;弱其志,强其骨。\n常使民无知、无欲,使夫知者不敢为也。\n为无为,则无不治。\n第四章\n道冲而用之或不盈。\n渊兮似万物之宗,湛兮似若存。\n吾不知谁之子,象帝之先。\n第五章\n天地不仁,以万物为刍狗。\n圣人不仁,以百姓为刍狗。\n天地之间,其犹橐龠乎?\n虚而不屈,动而愈出。\n多言数穷,不如守中。\n第六章\n谷神不死,是谓玄牝。\n玄牝之门,是谓天地根。\n绵绵若存,用之不勤。\n第七章\n天长地久。\n天地所以能长且久者,以其不自生,故能长生。\n是以圣人后其身而身先,外其身而身存。\n非以其无私邪!\n故能成其私。\n第八章\n上善若水。\n水善利万物而不争,\n处众人之所恶,\n故几于道。\n居善地,心善渊,与善仁,言善信,政善治,事善能,动善时。\n夫唯不争,故无尤。\n第九章\n持而盈之,不如其已;揣而锐之,不可长保。\n金玉满堂,莫之能守;富贵而骄,自遗其咎。\n功遂身退,天之道也。\n第十章\n载营魄抱一,能无离乎。\n专气致柔,能如婴儿乎。\n涤除玄览,能无疵乎。\n爱民治国,能无为乎。\n天门开阖,能为雌乎。\n明白四达,能无知乎。\n第十一章\n三十辐共一毂,当其无,有车之用。\n埏埴以为器,当其无,有器之用。\n凿户牖以为室,当其无,有室之用。\n故有之以为利,无之以为用。', 'embedding': {'__default__': [0.02805577, 0.023282783, -0.010409373, 0.053345673, 0.054548774, -0.021444315, -0.03477331, 0.009788121, -0.00026711644, -0.019736782, 0.011505052, -0.0037637316, -0.005963491, 0.041383855, 0.040610127, 0.000985921, -0.0166217, 0.025156088, 0.0017116133, -0.004511433, -0.026657365, 0.027576007, 0.01825779, -0.019136382, 0.011662057, 0.009423636, 0.0024921207, 0.0025204297, 0.0037775566, -0.022618348, 0.0013726661, -0.035238307, -0.013865939, 0.001558638, 0.022386922, 0.008083175, 0.07320647, 0.08896838, -0.0036581368, -0.0025714708, -0.021176474, 0.03489965, -0.040128466, -0.038380902, -0.015130355, -0.013884746, -0.015268907, 0.025365353, -0.03942374, 0.019842712, -0.004921817, 0.037063666, 0.049696382, 0.0022446876, -0.021358738, -0.006035082, -0.03891001, -0.0012354126, -0.004749335, 0.04006749, -0.015485865, 0.01656961, -0.0069618057, 0.02573444, -0.01582435, -0.0034912361, -0.025114788, -0.054328755, 0.0043460196, -0.027710024, 0.032266844, 0.033886887, -0.05694017, 0.024670593, -0.042889997, -0.07643343, -0.027408268, -0.0037645432, 0.049862724, 0.034287237, 0.0019841655, 0.01078216, -0.0059950864, -0.010718801, 0.035949897, 0.043880112, -0.010869555, 0.0025348524, 0.06355861, -0.012848395, 0.022585338, 0.032618817, 0.044830754, 0.022901794, -0.0006210798, 0.023177462, 0.005330909, -0.046414472, -0.0045889826, -0.014616943, -0.033123583, -0.0512881, -0.0020927102, -0.007836456, -0.048342444, -0.0070576523, -0.013562943, 0.02388182, -0.026922677, -0.026092608, 0.012044963, 0.01646408, 0.04047805, 0.06462115, 0.023438517, -0.016478423, 0.02324674, 0.031171313, 0.0362842, 0.018051483, -0.01053648, 0.021465031, 0.023477495, -0.00013451152, -0.011715929, 0.03454124, 0.013441222, -0.046513334, 0.0061332174, -0.0035214778, -0.021454038, 0.05006143, 0.016918018, 0.022030752, 0.007946085, 0.045935158, 0.034973834, 0.00629696, 0.0073370235, 0.025189713, 0.05712071, 0.009955108, 0.050782707, 0.021099582, 0.016486313, -0.050984617, -0.04715113, -0.029727397, 0.04059149, 0.033788107, 0.034945745, 0.05894489, 4.011729e-14, -0.011751112, -0.050978955, 0.05046298, -0.071110204, -0.0019882438, -0.018479101, -0.051272694, -0.010007738, 0.006884054, -0.034583736, 1.1196757e-17, 0.003905397, 0.02047898, 0.035552427, 0.007619795, 0.05529369, -0.020593314, -0.048601326, 0.008128059, 0.0289784, 0.017017765, -0.019920338, -0.028185569, -0.025367916, -0.026009448, -0.027133418, -0.036126122, 0.014420889, -0.0030427186, -0.002751916, -0.022126038, -0.026038717, -0.034733053, -0.0075950925, -0.020967247, -0.020053484, -0.0027370602, -0.037891444, 0.0049866363, -0.04834721, 0.034292456, 0.027533008, 0.018361798, 0.027508227, -0.02045841, -0.017287603, 0.0034947034, -0.043515395, -0.0053127245, -0.043165147, 0.08445005, -0.027922887, -0.016033549, 0.03531948, 0.020594265, 0.03838893, -0.06151098, -0.020862881, -0.0145209795, 2.2020384e-05, -0.0194264, 0.06360542, -0.004401274, 0.017582126, -0.058675535, 0.039020978, 0.05540472, 0.014137382, 0.018975371, -0.027120763, -0.0006975507, -0.0052835485, -0.039460376, 0.0057850983, -0.018254379, 0.056609638, -0.060044613, 0.020291893, 0.006809394, -0.018061927, -0.020031512, -0.022705525, -0.027026203, -0.018345924, 0.016909966, 0.021607758, -0.0012275928, -0.013516523, -0.05039473, -0.051422264, -0.026746254, 0.070365995, -0.0057425452, -0.042636707, 0.04210949, -0.01575858, 0.01585634, -0.014072475, 0.061945125, -0.061828148, -0.09160385, -0.019648878, 0.005205405, 0.04710268, -0.023101546, 0.009841605, 0.046674192, 0.038244978, 0.041187655, 0.06351536, 0.0065300423, -0.018576019, 0.0005083096, 0.0081122685, -0.008605757, -0.0022208246, 0.028158564, 0.02641683, 0.001838783, 0.02509545, 0.0027108253, 0.023963299, -0.041949738, -0.013529197, -0.028406734, 0.012666118, -0.04136234, 0.025941981, 0.029364305, 0.003928735, 0.013956154, -0.029576076, 0.005434449, -0.02822633, 0.033941615, -0.0492418, 0.0077956063, 0.04823387, 0.03536443, 0.0069991727, 0.02820339, 0.016064752, -0.042256713, -0.10030166, 0.008323236, 0.0006843557, 0.022676226, -0.00090373657, 0.0070267376, 0.030184641, -0.01695967, -0.026980516, 0.0632163, -0.010148003, 0.019774279, -0.017960021, 0.026519297, -0.045076273, -0.022787727, -0.009274319, 0.02229007, -0.012502117, 0.030040009, -0.02335761, 0.009685071, 0.05651463, -0.024839891, -0.019800588, 0.03620323, -0.013136933, 0.00065234746, -0.010354659, -0.054040577, 0.0154526085, -0.0008120195, 0.0016255731, 0.027276509, 0.08151536, 0.053237963, 0.040713258, 0.030182822, -0.02873101, -0.063819155, -0.01401389, -0.03257143, -0.0130671365, -0.049955063, -0.020377934, -0.015753347, 0.009992964, 0.013277232, 0.010839926, 0.059939686, 0.028921248, -0.037305593, 0.023923561, -0.01083718, 0.041034095, -0.013648627, 0.039294437, -0.0056047714, 0.03269078, 0.030684272, -0.01967473, 0.029130636, -0.06409252, 0.009602843, 0.013003515, -0.0014473207, -0.00059630856, 0.0007928729, 0.0394453, 0.026099138, 0.0013514259, -0.04909594, 0.009835781, 0.0013566319, 0.042203527, -0.028487109, -0.045480847, -0.028581986, 0.023174047, 0.026821401, 0.08383023, -0.06158942, -0.028400997, -0.007825939, 0.003234013, -0.057725567, 0.0064291023, 0.012853949, 0.020342965, -0.005471113, 0.032541998, -0.0010940416, -0.008109905, 0.01918718, 0.021351868, -0.014318267, -0.012899077, -0.02170698, -0.0069873175, 0.009628323, -0.024537625, -0.015283444, -0.033228494, -0.0014736207, -0.056704417, -0.0048376825, -0.00083587086, -0.013281995, 0.020264463, -0.049195595, -0.024637522, -0.011718843, -0.021825653, 0.004700579, 0.015963696, 0.032105163, 0.0017268145, 0.009395046, 0.03965735, 0.010019313, 0.03593677, 0.0035611999, 0.010699732, 0.052226007, 0.020346584, 0.038028255, -0.0076610018, -0.040621884, 0.011577985, -0.005221753, 0.018597549, 0.031076666, -0.004861098, 0.017033093, 0.039025906, 0.046661437, -0.006155237, -0.012757879, 0.03810979, -0.009047799, -0.030244311, -0.010257482, 0.045990936, 0.02887998, -0.019625623, -0.031448547, -0.01273922, 0.013901697, 0.02527813, -0.03144724, 0.022464182, -0.027144372, -0.02345889, -0.04950639, -0.018502356, 0.017688517, 0.010369425, 0.02123409, -0.028073085, -0.011926072, -0.042963635, -0.058450896, 0.055865563, -0.0059462283, 0.045135874, 0.0077739223, 0.002659368, -0.016431257, -0.02149337, -0.03735157, -0.06444941, -0.0014105599, 0.005779389, 0.078287676, -0.0042932495, -0.021970661, -0.03339254, -0.031541187, 0.016650775, -0.006059932, -0.04497521, 0.02074348, -0.018448783, -0.0050848476, -0.028253563, 0.014440935, 0.0100940475, 0.053356335, -0.083560206, -0.011833814, -0.042367645, 0.036735408, 0.028277006, 0.06732231, 0.014818252, -0.029717922, 0.0019335257, -0.044133835, 0.08157332, -0.037129093, -0.023763556, -0.021009404, 0.024365442, -0.022566712, 0.03615989, 0.019918706, -0.0045654653, -0.0147744175, -0.08768809, -0.027434569, 0.008535524, -0.014643252, 0.04218006, -0.04418376, -0.0063099093, -0.0553463, 0.0038829402, 0.06492348, -0.010223985, -0.02583102, 0.04767369, -0.0031157823, -0.037336517, -0.010527561, 0.012848088, 0.012727778, -0.073188215, 0.019639697, -0.0035746093, 0.011461775, -0.011808149, -0.024037987, -0.01767288, -0.017726846, -0.05001298, -0.015326746, -0.015128984, -0.039607592, -0.041593075, -0.016392805, 0.027638663, -0.007096099, 0.012386369, -0.008532201, 0.021859642, 0.008219009, 0.009499561, -0.013660722, -0.011760268, -0.01918902, 0.030194886, -0.032402657, 0.020689184, 0.038485542, 0.040394958, -0.042311437, -0.005354799, -0.0053760037, 0.013059683, -0.011825115, 0.042120803, 0.010707755, 0.010666628, 0.064930595, 0.022026783, -0.045309015, -0.013215051, -0.0035855586, -0.018754315, -0.04237147, 0.009189613, -0.001861292, 0.01305605, 0.016130973, 0.016797947, 0.04227604, 0.0010169245, 0.00045087113, 0.039859597, 0.010306915, -0.021312863, 0.013667852, 0.0045401216, 0.041180596, -0.0008014906, -0.016648965, -0.047358204, 0.024641568, 0.063572116, -0.05323623, 0.027804086, -0.0231327, -0.00818245, 0.008933412, -0.02742569, -0.024679849, -0.0070232884, 0.07939336, 0.011911154, 0.038045548, 0.01569419, 0.0052608084, 0.01345627, -0.032691434, -0.006347253, 0.04491138, 0.012246293, -0.014546515, 0.0090763355, 0.022790618, -0.036779568, 0.04574143, -0.023112146, 0.039602417, 0.024539718, 0.029363053, -0.057744678, -0.00423374, 0.041941483, -0.018338485, -0.006981724, 0.036857042, -0.0051898616, -0.02998108, -0.025315555, 0.011249301, 0.013763156, -0.0014266107, -0.003557593, 0.029689435, -0.008416172, 0.0055658235, 0.041912172, -0.0066596386, 0.014426449, 0.027964776, 0.041610844, 0.030743865, -0.019479757, -0.015880436, 0.013414679, 0.033685517, 0.025084984, 0.0119731445, -0.032747474, -0.016790409, -0.010821385, 0.020628633, -0.019503403, -0.00031055597, -0.038631473, -0.005416922, -0.044260085, 0.009548929, -0.054613594, -0.027896475, -0.028240051, 0.013305551, 0.0026884757, 0.0029414417, -0.04595156, -0.06401382, -0.0026240156, 0.018469386, -0.022476513, 0.011497057, 0.087008506, 0.026063265, -0.069855325, -0.00500086, -0.01826556, -0.011640849, 0.015342398, -0.032531984, 0.033423632, 0.037746735, -0.063191675, 0.009925365, 0.032167457, 0.011919864, -0.024339493, 0.03451287, 0.0016408766, -0.027204601, 0.022536965, -0.0034854359, -0.05221978, -0.002954332, 0.00039458516, -0.037060868, 0.04824446, -0.038343217, -0.008858709, -0.020064302, -0.034424454, -0.0008146635, -0.03229093, 0.020989783, 0.038041, 0.04462357, 0.022627661, 0.021487724, 0.016195275, 0.058926657, 0.0016035914, -0.0781729, -0.01440017, -0.065230064, -0.04473913, -0.05347233, 0.0056564305, 0.026773501, 0.0093747275, -0.0023014166, 0.034559432, -0.014295065, 0.059227344, 0.016397202, -0.010564607, -0.016085293, 0.027223522, -0.039766714, -0.013913507, -0.021724187, 0.019855114, 0.046961125, -0.050933924, 0.028491676, -0.025045706, -0.05075212, 0.034840867, 0.030845476, 0.037544426, -0.04044042, 0.06494801, 0.02402745, 0.027269753, -0.02984972, 0.032292705, -0.0031673112, -0.013952973, -0.024952147, -0.0055473237, 0.020091854, -0.0025514988, -0.030173488, -0.017058272, -0.027787264, 0.025821265, 0.035203192, -0.004649104, -0.0053550736, 0.00918115, -0.033489943, 0.025983026, 0.037477348, -0.01963841, 0.03444502, 0.03194153, -0.06143998, 0.045849923, -0.034311283, 0.042799775, 0.023144597, -0.01235297, -0.0723703, -0.017136108, 0.007224321, -0.0083739795, -0.01820453, -0.011421597, 0.008455473, -0.016129691, 0.014105691, -0.004665744, -0.010970606, 0.032578386, -0.02076877, 0.0136699425, -0.0101013975, -0.032376077, 0.07448448, -0.03354995, 0.035129014, -0.0034162682, -0.019508207, 0.009046866, 0.0062084193, -0.11542149, 0.0007030675, 0.015893739, 0.009404671, 0.003927252, 0.02014505, 0.009974044, -0.028185304, -0.0127715375, 0.04931239, 0.03772544, 0.027806891, 0.030862588, -0.0037065197, -0.04931788, -0.007824991, 3.4293641e-09, -0.0051761563, 0.025381971, -0.008663922, 0.015905118, -0.04079911, -0.019575298, 0.06621208, -0.0035683208, 0.00025738007, 0.04481607, 0.054077428, -0.0072247866, 0.009435948, -0.023140049, -0.05412917, 0.008451867, -0.010966122, -0.034531895, 0.004752035, -0.04602555, -0.0023236184, 0.009561207, -0.023378637, 0.02203002, 0.017096436, 0.03657697, -0.00084620155, 0.004841395, 0.05531498, 0.016193043, 0.012097276, 0.053189192, 0.025982248, -0.03255773, 0.009982884, -0.036482878, -0.0074970718, 0.091324344, 0.0009932049, -0.006143996, 0.0119158905, -0.03613227, 0.047933377, -0.008942387, -0.026436765, 0.0150227435, 0.020003684, 0.07058418, 0.066080704, 0.028907618, -0.044925384, 0.01017655, -0.02693322, -0.03381552, 0.003237652, 0.012430394, -0.014999726, 0.026932973, -0.03142256, -0.023699204, -0.019175638, 0.034598034, 0.0006931077, -0.014283599, -0.008699737, 0.06428559, -0.011042515, 0.038128216, 0.022812221, -0.02596328, 0.0021123243, -0.026327409, -0.0008933892, -0.025974091, 0.03291074, -0.0022326256, 0.008192097, 0.013533811, -0.02715469, 0.0126990145, 0.024964565, 0.05334236, -0.023978073, 0.018099934, -0.01582323, -0.06513108, 0.009603815, -0.042491097, -0.0066699567, -0.007812225, -0.009894219, 0.00089794875, -0.0269737, 0.079909176, -0.043051008, -0.040161613, -0.012302384, -0.009370962, 0.00968951, -0.003516922, 0.02560884, -0.0031629042, -1.8169522e-27, 0.019083612, 0.05595246, 0.08110245, 0.009914496, 0.045291685, 0.077853344, -0.05095552, -0.023066273, -0.013523827, -0.030841304, -0.045739565, 0.03553436, -0.00127252, 0.011472, -0.0025980568, 0.03063463, 0.0018815541, 0.036709815, 0.0418239, 0.0048987665, 0.051705733, 0.027615868, 0.024299819, 0.0338089, -0.034141615, 0.0012112331, 0.045954734, -0.050197713, 0.0018632635, 0.038185284, 0.043542426, 0.003177657, 0.02623213, 0.047126044, 0.032685865, 0.018318154, 0.0059990953, 0.014030563, 0.06493271, 0.06270943, -0.034145653, -0.024160989, 0.01995237, -0.082519315, -0.026380774, -0.0008480955, 0.006037592, -0.027352571, 0.00014761026, -0.02092509, 0.024393355, 0.010887946, 0.014051744, -0.050117142, -0.026565975, 0.02288321, 0.0013072105, -0.051732846, 0.029837305, 0.008642002, 0.0039808676, 0.03630373, -0.0036453824, 0.04533731, 0.04966945, 0.010970786, 0.010568572, -0.009174333, -0.030876184, 0.02845327, 0.0035904122, -0.004267927, 0.020078829, -0.052125897, -0.047840167, 0.044615194, -0.012507692, -0.03702641, 0.020036895, 0.0070881178, -0.017886484, 0.023605479, -0.01983722, -0.016965086, -0.016553123, 0.057427112, 0.02306789, -0.028244715, -0.00089197716, 0.0067641498, -0.01275369, -0.0065226373, -0.009160864, -0.0067051817, 0.021619145, -0.034704223, -0.007742388, -0.019153567, -0.0031101278, 0.023993352, -6.7284605e-24, 0.019229813, 0.036678217, 0.026083732, 0.007746939, 0.005390164, -0.02422693, 0.013378925, 0.0064707967, 0.022271916, 0.0047905026, 0.027713606, -0.059018284, 0.06695722, 0.0046320846, 0.020561788, -0.054861706, -0.013244152, 0.024165925, 0.016604742]}, 'metadata': {}}, {'content': '观天之道,执天之行,尽矣。\n故天有五贼,见之者昌。\n五贼在心,施行于天。\n宇宙在乎手,万化生乎身。\n天性人也,人心机也。立天之道,以定人也。\n天发杀机,移星易宿;地发杀机,龙蛇起陆;人发杀机,天地反覆;天人合发,万化定基。\n性有巧拙,可以伏藏。九窍之邪,在乎三要,可以动静。\n火生于木,祸发必克;奸生于国,时动必溃。知之修炼,谓之圣人。\n天生天杀,道之理也。天地万物之盗,万物人之盗,人万物之盗。三盗既宜,三才既安。\n故曰食其时,百骸理;动其机,万化安。人知其神之神,不知不神之所以神也。\n日月有数,大小有定,圣功生焉,神明出焉。\n其盗机也,天下莫能见,莫能知。君子得之固躬,小人得之轻命。\n瞽者善听,聋者善视。绝利一源,用师十倍。三返昼夜,用师万倍。\n心生于物,死于物,机在目。\n天之无恩而大恩生。迅雷烈风莫不蠢然。\n至乐性余,至静性廉。天之至私,用之至公。\n禽之制在气。生者死之根,死者生之根。恩生于害,害生于恩。\n愚人以天地文理圣,我以时物文理哲。', 'embedding': {'__default__': [0.0041554114, 0.0075854566, -0.007057654, 0.045291275, 0.04896368, 0.028331915, -0.05941855, 0.023905145, 0.041470468, -0.048525453, 0.041954085, -0.009402919, -0.026280737, -0.0059798467, 0.03535848, -0.01118226, -0.034457922, 0.05115644, -0.0008446922, -0.026550785, -0.007863325, 0.027618073, -0.011360486, -0.039742425, -0.004911823, -0.04183471, -0.005898696, 0.044848423, -0.030583072, -0.01361686, 0.038467087, -0.04660302, -0.02357292, 0.04048558, 0.03306541, -0.027309675, 0.048068833, 0.088752195, -0.009470059, 0.014505637, 0.0019608818, 0.024321485, -0.0624449, -0.050921675, -0.009048667, -0.014897456, -0.02090078, 0.0161172, -0.031017896, -0.006250185, 0.0034054928, 0.017325701, 0.05056032, 0.007071267, -0.008573053, 0.0057591763, -0.032224294, 0.015077854, -0.021500586, 0.050998785, -0.012885331, -0.0015166812, 0.016822474, 0.010382974, -0.01868565, -0.029895348, -0.035598777, -0.017912406, 0.003902434, -0.019268971, 0.025545066, -0.0016119897, -0.07398274, -0.0090994835, -0.015249873, -0.05385994, 0.041456234, 0.025098544, 0.011212095, 0.023621807, 0.02871689, 0.0155634, -0.017000291, -0.0057249004, 0.041292667, 0.014244264, -0.020487353, 0.009796285, 0.0017768699, 0.0029904752, -0.021676986, 0.050575286, 0.05815488, 0.041090943, 0.03852607, 0.0007469177, 0.0146834655, -0.019205064, -0.02501764, -0.014589938, -0.025496105, 0.0029830346, 0.009922189, -0.014940715, -0.05994815, 0.018909076, -0.0024642693, 0.04501117, -0.047053687, -0.014784821, -0.0020920835, 0.035193928, 0.042950764, 0.048697557, -0.015930817, -0.018142601, -0.021126166, 0.0013488104, 0.02504943, -0.007454921, -0.026205262, 0.03224436, 0.06320423, 0.0017354549, -0.013907578, 0.053008184, 0.013806328, -0.040066086, -0.011262496, -0.00783606, -0.032809734, 0.042265926, 0.003031213, -0.011611754, 0.0038381496, 0.026966704, 0.042800177, 0.032915533, 0.016108219, 0.019568527, 0.06046945, -0.010420891, 0.03388435, -0.0009712575, 0.032708555, -0.039891865, -0.029775867, -0.014499864, 0.022318674, 0.029443137, 0.010519894, 0.057602942, -2.1037191e-13, -0.040184353, -0.023729598, 0.059133578, -0.060146023, -0.009997531, 0.0071468763, 0.02307546, -0.008445198, 0.025550805, -0.062879466, 1.1355897e-17, 0.005254596, 0.039959684, 0.008519935, 0.028987143, 0.069844805, -0.014054391, -0.035702214, 0.03448102, 0.035850395, -0.026240302, -0.060955, -0.015616291, 0.005105854, -0.03699429, 0.013898516, -0.011044874, -0.008250217, 0.017763525, 0.014568678, 0.011624834, -0.016273065, -0.016237382, -0.030793475, -0.014173828, -0.004470327, -0.00031035003, -0.047902904, -0.033007123, -0.037031222, 0.0365982, 0.030188967, 0.030725434, 0.023961129, -0.02410339, -0.029226728, 0.03464168, -0.024372779, -0.021495208, -0.057038497, 0.073897764, -0.0141333, 0.019894436, 0.05053698, -0.012459984, 0.030188244, -0.0424957, -0.009643966, -0.001958911, 0.020065648, 0.014195304, 0.0558965, 0.01836145, -0.031815484, -0.03150872, 0.0695297, 0.031345744, 0.008421123, 0.0014973548, -0.033643615, -0.014629425, 0.022442328, -0.028167598, 0.015380408, -0.014378052, 0.012282112, -0.053193033, 0.019917091, 0.019215647, -0.033822346, 0.0027193974, -0.014981052, 0.00055290776, -0.004483305, -0.006755365, 0.028678952, 0.023475507, 0.020434262, -0.03490839, -0.027436005, 0.010972408, 0.07965436, 0.0011874165, -0.045413267, 0.028245784, -0.0063281492, 0.009295957, -0.03730253, 0.06491051, -0.045857605, -0.06690101, -0.0045730066, -0.024991188, 0.034862872, -0.015739491, 0.0529046, 0.03173905, 0.0703093, -0.0026089184, 0.054319624, 0.007398687, -5.9605067e-05, 0.017072119, -0.008852119, 0.0026614992, 0.038429067, 0.016159521, 0.026893796, -0.035562247, 0.038095932, 0.0065683676, 0.03324841, 0.016334219, -0.023613118, -0.040397674, -0.009194677, -0.008144042, -0.016446576, -0.01151405, -0.010928354, 0.038340032, -0.027145639, -0.046593655, 0.015169281, 0.050768223, -0.03294848, 0.01951992, 0.013797078, 0.035349254, 0.008481241, 0.031466227, -0.003075734, -0.029220875, -0.07521815, -0.0043719853, 0.048672307, 0.0058878683, -0.019860264, -0.03880463, 0.016394598, -0.0122021, -1.4963505e-05, 0.044320922, 0.007890018, 0.0054832306, -0.0123292245, 0.03318079, -0.015232731, -0.013402485, -0.02389836, 0.0055185272, -0.028106516, 0.022771437, -0.030289527, 0.02677829, 0.083992176, -0.012977583, -0.020257147, 0.07025292, -0.0054380586, 0.00113687, -0.003930704, -0.059119448, 0.0005393099, 0.006615847, -0.008725304, -0.011702107, 0.07533191, 0.028773967, 0.029288677, 0.048617944, -0.012453482, -0.02434141, -0.026455658, -0.038755085, 0.010074069, -0.043186586, -0.008087229, -0.030695459, 0.0028579491, 0.010711575, -0.027886447, 0.024541127, 0.011004065, -0.06523756, 0.043040413, 0.025965191, 0.013071675, 0.023030335, 0.029349305, 0.021783385, 0.018128468, 0.006819187, 0.006515866, 0.029666856, -0.06356491, 0.039198253, -0.011071719, 0.023561964, -0.03198062, 0.023516942, 0.059817895, 0.004185616, -0.008066767, -0.009041066, 0.015803682, 0.0067058923, 0.041337356, 0.0052649537, -0.027125185, -0.038213175, 0.014553458, 0.04226332, 0.070982724, -0.11455366, -0.032585356, 0.0102267265, 0.011878967, -0.033385586, 0.0010560753, -0.015395409, -0.00441643, -0.01337264, -0.011390325, 0.03452036, -0.0043478706, 0.021369405, 0.022401562, -0.022205178, 0.01836901, -0.040310632, -0.014155401, 0.022052731, -0.033351872, 0.023539973, 0.0066144154, -0.02636437, -0.049085867, 0.021261329, 0.025078895, -0.03848087, 0.031188102, -0.048261605, 0.019504659, -0.005102396, -0.01836231, 0.02110646, 0.025233712, 0.031062676, 0.0010754078, -0.017802356, -0.013914974, 0.014522387, 0.056926217, 0.0053230077, 0.028501919, 0.048797324, 0.023192475, 0.027942462, 0.0073998393, -0.03499081, 0.022158591, -0.019583017, 0.005857129, 0.046547387, -0.038932085, 0.040460087, 0.042364065, 0.0429083, 0.009138595, -0.012183861, 0.058576614, -0.030963775, -0.034653503, -0.025639888, -0.011284233, 0.047425315, -0.029514484, -0.036847457, -0.019771382, 0.008259031, 0.022998115, -0.017095372, 0.0066413945, -0.05487991, 0.002815856, -0.033681728, -0.014198309, 0.026634654, -0.00822199, -0.00530929, -0.011223847, -0.011880681, -0.034348324, -0.04212451, 0.067977875, -0.034103774, 0.05572993, -0.0062887007, 0.010488381, -0.020459691, 0.012848595, -0.025240324, -0.06849307, 0.025805129, -0.011156502, 0.05313631, -0.024320655, -0.028916016, 0.010576907, -0.0015999046, 0.024717461, -0.0144396275, -0.055715647, 0.030035136, 0.05483442, 0.010892865, -0.0075423573, 0.03750252, -0.005360984, 0.061075144, -0.05138248, -0.018550297, -0.06849128, 0.03832335, 0.051121823, 0.07625229, -0.02237382, -0.02532701, 0.005352677, -0.008111206, 0.073260285, -0.050452314, -0.03776045, -0.049333394, 0.044611394, -0.026005713, 0.039077275, 0.0220915, -0.029445095, -0.0064717205, -0.027871978, -0.035875883, 0.0024223006, 0.018516455, 0.05704868, -0.03898351, 0.006290837, -0.06967245, -0.021957148, 0.030887723, 0.019454552, -0.016694501, 0.013290308, -0.0031141401, -0.013080929, -0.016133493, -0.014472164, -0.01712892, -0.037303273, 0.027202567, -0.020992804, 0.042868, 0.013083941, -0.0220378, 0.004116772, -0.014082884, -0.03672434, -0.025468608, -0.004967429, -0.043549094, -0.059921604, -0.0267599, 0.020867042, -0.024328588, -0.009694849, -0.008663098, 0.029830154, 0.015654892, -0.01019365, -0.005135016, -0.005788498, 0.005652381, 0.018197127, -0.048258357, 0.018697621, 0.009251598, 0.013933649, -0.05764918, 0.017524255, -0.055997822, 0.00016845911, -0.02751447, 0.032793835, 0.0019559327, -0.0075224875, -0.01907267, -0.008904949, -0.030548248, 0.013870509, 0.0069685555, -0.028905436, -0.02268364, -0.020575576, -0.0030170542, 0.015130529, -0.00084239285, -0.029587327, 0.037500374, -0.027868606, -0.006660683, 0.031205097, 0.012189993, -0.000101473976, 0.012176301, -0.012304269, 0.016419522, -0.031622086, -0.031915437, -0.07447143, 0.044259857, 0.034456633, -0.030144012, 0.006155522, -0.047044933, -0.053129446, -0.003883295, -0.02238673, -0.036794078, 0.018963076, 0.038487703, 0.043547265, 0.020530019, 0.013525153, 0.03025931, -0.012935889, 0.0006987865, 0.001170972, 0.049213756, -0.021247994, -0.010136263, -0.008933942, 0.040884793, -0.014472714, 0.04323616, -0.024579003, 0.044722065, -0.00044178023, 0.022410542, -0.043617256, 0.022241985, 0.04859234, -0.034833476, 0.013860875, 0.023002412, 0.00644085, -0.01903299, -0.030982777, -0.02251995, 0.025486361, 0.013646234, -0.025401177, 0.028737532, -0.0021397755, 0.005839515, 0.031907808, -0.017933525, 0.0054767667, 0.011915933, 0.04648308, -0.0016207868, -0.02563286, -0.044512413, 0.03895756, 0.026000049, 0.028605616, 0.0051885676, 0.0020558056, 0.0013344906, 0.018722871, 0.01694392, -0.048954893, -0.0022045183, -0.04172797, -0.021244593, 0.013639434, 0.0023175476, -0.057096064, -0.017740823, -0.041350298, -0.0043968866, -0.03799386, -0.0042910026, -0.09530829, -0.038248345, -0.030624647, -0.0110857375, -0.010244377, 0.046464287, 0.11650956, 0.015119723, -0.069281384, 0.01305812, 0.012854464, -0.0055132634, 0.018360458, -0.0165773, -0.0032716265, 0.031324998, -0.047736414, 0.014519401, 0.048135165, -0.035682708, -0.0365996, 0.03389063, -0.0043802285, -0.01877874, 0.04836236, 0.020456195, -0.056787007, 0.010132782, 0.0004068694, -0.047474485, 0.03445135, -0.02724392, -0.03328944, -0.0029203526, -0.026272407, -0.00029890105, 0.013430369, 0.013834825, 0.060670216, 0.012882629, 0.06432347, 0.015768427, -0.010093849, 0.024928765, 0.012602784, -0.064383924, -0.0050611207, -0.044316787, -0.041941397, -0.04322314, 0.006486478, 0.0071116807, -0.012460606, -0.0074164756, 0.029274957, -0.024530469, 0.018598046, 0.03159384, -0.001951544, 0.00523427, 0.010126147, -0.017179206, -0.018108787, -0.007169589, 0.009502527, 0.008932048, -0.069397494, 0.044141974, -0.005750729, -0.045750074, 0.023508383, 0.03368248, 0.027255893, -0.015447886, 0.056365486, 0.008277988, 0.008696923, -0.059466016, -0.0071224286, 0.020547476, 0.028926386, -0.031088999, 0.0034343835, -0.009711087, 0.0011468836, -0.013077483, -0.025331382, -0.016229326, 0.02545839, 0.011994319, 0.008591205, -0.0015080342, 0.02231805, -0.04337707, 0.040335864, 0.026538009, -0.0062174527, 0.050592676, 0.029670224, -0.013418461, 0.0727519, -0.037769295, 0.04368287, 0.03542585, -0.020641856, -0.05900921, -0.027732523, 0.0072757383, -0.019184208, -0.013169488, 0.022744527, -0.010796951, 0.013560294, -0.035595182, 0.023965288, 0.010551866, 0.024181299, -0.03136934, -0.044932388, -0.020812577, -0.054782774, 0.04152298, -0.011101999, 0.024159305, 0.019186165, -0.062283333, 0.042109832, -0.0031904012, -0.056608956, 0.030812602, 0.020276703, 0.03021552, -0.039611798, 0.03263928, -0.008093682, -0.029934445, -0.003328774, 0.04017525, 0.05742037, 0.065777995, 0.011823178, -0.022649916, -0.030095868, -0.029602733, 3.6471364e-09, 0.019888746, 0.042886823, -0.013049726, 0.037731685, -0.036016267, -0.046768334, 0.060499705, 0.00012572506, 0.016042653, 0.024610577, 0.033402827, 0.004141988, -0.0006018001, -0.055084515, -0.039775707, 0.008617055, -0.01653752, -0.013155907, 0.016346993, -0.023589248, 0.024627982, -0.012017998, -0.053784538, 0.037820525, 0.03518804, 0.046451963, 0.016566351, 0.019617809, 0.03032722, 0.051768657, 0.003973617, 0.011890001, 0.030245746, -0.009497901, -0.001179198, -0.026856216, 0.015133692, 0.04234234, 0.007812807, -0.02503269, 0.017157003, -0.061224688, 0.04974642, 0.033100616, -0.0151869515, 0.024570305, 0.018643305, 0.06040034, 0.038901594, 0.04535261, -0.04548045, 0.0020181928, -0.034227967, -0.0013509532, -0.030452356, -0.018487962, -0.023855759, 0.05625316, -0.00090770074, -0.00640004, -0.014777776, 0.027941104, 0.016304482, -0.038740773, 0.011337658, 0.07173977, -0.03550307, 0.023911772, -0.0016779553, -0.033899304, -0.022336006, -0.015419301, 0.001863339, 0.0008760349, 0.009762301, -0.028453615, -0.011362094, 0.04275605, -0.043521807, 0.029829519, -0.02416117, 0.0335993, -0.006421268, 0.04060249, -0.032474253, -0.07600941, 0.004471598, -0.04126713, -0.02453735, 0.011764305, 0.015372352, 0.0028955622, -0.0291478, 0.05877516, -0.009823992, -0.054267995, 0.0067844344, 0.03217804, -0.011592191, -0.00035714993, 0.028778687, 0.0087011475, -1.7158678e-27, 0.0017932786, 0.03569676, 0.054138917, -0.008628211, 0.043432187, 0.023903232, -0.0067582014, -0.03050816, -0.028248005, -0.02057966, -0.057666212, 0.031576764, -0.0151130445, -0.027907273, 0.019604214, 0.019528171, -0.030740337, 0.013142259, 0.04407093, -0.0029533103, 0.0063910317, 0.017176246, 0.032132074, 0.022815445, -0.050552312, -0.020800956, 0.018182818, -0.037349436, 0.014202859, -0.00087027677, 0.058879256, 0.0056527536, -0.005539146, 0.032238558, 0.022045877, 0.03943093, 0.0077616903, 0.02564012, 0.06469182, 0.020434259, -0.028960383, -0.01953917, 0.016642196, -0.04865382, -0.009785435, 0.00070976716, 0.005543073, -0.00053107564, 0.019826816, -0.046817478, 0.02328427, 0.0038257786, 0.041383106, -0.049317617, -0.012191691, 0.040143386, -0.020945452, -0.015941637, 0.014165448, -0.014123277, 0.0048813364, 0.009677354, -0.001581121, 0.03251474, 0.042997185, -0.015337093, -0.021302974, -0.03482498, -0.02814613, 0.014423916, 0.030641912, -0.0033474728, 0.019615268, -0.046341933, -0.007550764, 0.014528103, -0.024804426, -0.04388465, -0.00038302864, 0.018112512, 0.016945953, 0.022862429, -0.06407195, 0.02999205, -0.029377965, 0.038923685, -0.003280456, -0.0140948305, -0.016372854, -0.0024543288, -0.019321902, 0.029282054, -0.0075866296, -0.018350568, 0.014755779, -0.050756894, -0.038549382, -0.026098477, 0.0016459071, 0.023259882, -6.1448135e-24, -0.022952693, 0.022025546, 0.014744688, 0.009926959, 0.044778008, 0.018253125, 0.04506746, -0.019753184, 0.046412323, 0.00015234029, 0.060078166, -0.060511682, 0.055275027, 0.02107507, 0.0074826907, -0.026740791, -0.012698739, 0.017056648, 0.050418142]}, 'metadata': {}}, {'content': '天命之谓性,率性之谓道,修道之谓教。\n道也者,不可须臾(yú)离也;可离,非道也。是故君子戒慎乎其所不睹,恐惧乎其所不闻。莫见(xian)乎隐,莫显乎微,故君子慎其独也。\n喜怒哀乐之未发,谓之中;发而皆中节,谓之和。中也者,天下之大本也;和也者,天下之达道也。致中和,天地位焉,万物育焉。\n\n仲尼曰:“君子中庸,小人反中庸。君子之中庸也,君子而时中;小人之反中庸也,小人而无忌惮也。”\n\n子曰:“中庸其至矣乎!民鲜能久矣!”\n\n子曰:“道之不行也,我知之矣:知者过之,愚者不及也。道之不明也,我知之矣:贤者过之,不肖者不及也。人莫不饮食也,鲜能知味也。”', 'embedding': {'__default__': [0.025426213, 0.034025285, -0.031320818, 0.016555943, 0.06301127, 0.0053874906, -0.03851282, 0.05617112, -0.026647208, -0.04409193, 0.07942905, -0.016034704, 0.0020301498, 0.009465688, 0.022152705, -0.02026594, -0.05420044, 0.048457634, 0.029878676, -0.023549352, 0.016439304, 0.034842428, 0.020412622, -0.0025755076, 0.0027205113, -0.022589676, 0.020291883, 0.03922448, 0.009154288, -0.007037486, 0.018945666, -0.038242333, -0.0059177317, 0.035270065, 0.023194453, -0.024663404, 0.045518205, 0.078890085, -0.0049626785, -0.0013358546, -0.020847179, 0.008833306, -0.057070132, -0.046780605, 0.0070816474, 0.009134139, -0.019501934, -0.034442246, -0.03516072, 0.006713291, -0.006998874, 0.032105204, 0.052466325, 0.02138813, -0.009691537, -0.009268791, -0.04773306, -0.01108876, -0.03728646, 0.06281455, -0.015532677, 0.012268486, 0.005829601, -0.0013577868, 0.006930408, -0.05296581, -0.023193905, -0.046643063, 0.011809876, 0.00023975057, 0.050946303, -0.03136553, -0.06390407, 0.03504418, -0.01805315, -0.04344443, 0.00677673, 0.013735469, 0.045064267, 0.029002164, 0.03938319, 0.034683738, 0.006368947, -0.00906264, 0.035292383, 0.058860265, -0.028741615, -0.0036960396, 0.012889149, -0.008738161, -0.012072681, 0.044848487, 0.047913834, 0.0025441165, 0.033541866, 0.0077599497, 0.025643757, -0.016167128, 0.02875357, -0.012898535, -0.03224147, -0.021762878, -0.015384127, -0.022707786, -0.0061772997, -0.020073174, 0.02529043, 0.014178167, -0.018244589, -0.008239636, 0.02126484, 0.0034560761, 0.051880326, 0.06363023, 0.01969195, -0.011307083, 0.005372883, -0.019629491, 0.0017945681, 0.011739278, -0.023668867, 0.009739918, 0.059829958, 0.034342274, -0.0019169106, 0.03975126, 0.0023158423, -0.044209726, -0.0027910431, 0.00031879256, -0.040849816, 0.04776571, 0.0020381147, 0.01910589, 0.0027710563, 0.011146467, 0.020007843, 0.0042484123, 0.005176938, 0.021434778, 0.0777557, -0.0038533013, 0.047306042, 0.0034837353, 0.042881086, -0.06315707, -0.052171838, -0.04829033, 0.019041482, 0.031125337, 0.045959365, 0.04621173, -1.540408e-13, -0.006997954, -0.020921359, 0.037427846, -0.07051564, 0.00041891588, 0.026310083, 0.02499563, 0.0017974637, 0.002034413, -0.023606593, 9.611427e-18, -0.009685626, -0.019306758, 0.033706345, 0.0356712, 0.039736345, -0.012066647, -0.0059178593, 0.031503696, 0.023679575, -0.011107136, -0.048489127, 0.0053288713, -0.0123187, -0.049243163, 0.00041808805, 0.0003394062, 0.015456655, -0.0028465304, 0.014629242, -0.011859338, -0.029523129, -0.026531836, -0.004875002, -0.009635127, 0.007637854, 0.016192164, -0.027906612, 0.0043651653, -0.011299037, 0.009702859, 0.020838758, 0.0027266808, 0.013553497, -0.020599183, -0.052582372, 0.047934312, -0.0211804, -0.014517992, -0.06661431, 0.057032656, -0.048424397, 0.011499752, 0.0056307977, -0.016409324, 0.044111975, -0.04115124, -0.026549118, 0.01797299, 0.022250125, -0.020612499, 0.060236566, -0.006571854, -0.00393553, -0.031184353, 0.064215384, 0.046786495, -0.00046514318, -0.00701734, -0.02017527, 0.008758273, 0.0016055728, -0.02660426, 0.009220425, -0.014724887, 0.010843108, -0.044277404, 0.010815744, 0.034662224, -0.026707007, -0.005213057, -0.011781672, -0.019246181, -0.019320516, -0.0016598016, 0.005209462, 0.028500574, 0.013622352, -0.026014416, -0.03194754, -0.010626347, 0.070779, -0.02930651, -0.049735054, 0.019265305, -0.017812809, -0.03864494, -0.057057705, 0.047812644, -0.021030407, -0.06017914, -0.008436314, -0.00565766, 0.040196173, -0.0015437013, 0.03359702, 0.07130042, 0.019466452, 0.030842118, 0.030507375, -0.007607868, -0.014626105, -0.011076136, -2.4094108e-05, -0.0024054602, 0.007530281, 0.029631741, 0.031458937, -0.006896458, 0.014952638, -0.0036152329, 0.027877389, 0.016777638, -0.021922763, -0.03586302, -0.0010009537, -0.016428495, 0.008924784, 0.023603037, -0.020115128, 0.00865001, -0.026730474, -0.033528563, 0.013149746, 0.030888822, -0.005040427, -0.0014151632, 0.020947043, 0.028981369, 0.00765713, 0.032147344, -0.023203162, -0.0044152536, -0.045422826, 0.016876237, 0.036611527, 0.013162975, 0.026166268, -0.027787978, 0.034219008, -0.013293831, -0.019005, 0.055061992, 0.00763016, 0.032072656, 0.014239542, 0.032104347, -0.037449952, -0.02217896, -0.032320846, 0.017871961, -0.03970623, 0.026835883, -0.054085482, -0.0027009265, 0.07634273, -0.024354596, -0.0029545398, 0.059289258, -0.027541274, 0.019158483, -0.02926486, -0.059198033, -0.00045453524, 0.03309172, -0.058500547, 0.03847318, 0.06686244, 0.0359078, 0.037715927, 0.026004314, -0.010441379, -0.044468235, -0.04735834, -0.054638885, -0.003099882, -0.016880812, 0.00814928, -0.010210958, -0.022301093, 0.0029216122, -0.012461757, 0.030258488, 0.00953299, -0.03189832, 0.015131103, 0.0012498442, 0.014835826, 0.05411683, 0.020760238, 0.017031388, 0.020908138, 0.059172362, 0.033446126, -0.0024910853, -0.0605189, -0.0029194264, -0.001088384, -0.042831995, 0.008137215, 0.020813528, 0.037613075, -0.005095976, -0.01884459, -0.005923714, 0.023792582, -0.028474923, 0.03757395, 0.024344636, -0.035215013, -0.023457121, 0.052875917, 0.026036683, 0.10764514, -0.051340614, -0.018821908, 0.016108429, 0.024424875, -0.053446505, -0.0054197996, -0.0060087196, -0.0041229264, -0.006034636, 0.007538079, -0.018776668, -0.013380194, 0.0028277775, -0.0048381737, 0.004624616, -0.030349467, -0.04140086, 0.009394284, -0.008468681, -0.036008462, -0.011696614, -0.020296633, -0.030620858, -0.063259475, 0.038780067, -0.010312165, -0.053780414, -0.011514602, -0.04333725, -0.010768698, 0.0016200787, -0.029752402, 0.007386246, 0.018586209, 0.009053951, 0.00036854058, 0.022906242, 0.028303033, 0.019804642, 0.036445, 0.005007112, 0.014926994, 0.029018547, -0.015011582, 0.0065884907, 0.029475305, -0.016382167, 0.007041045, -0.024008943, 0.046547353, 0.027779775, -0.0071733906, 0.012406345, 0.011313683, 0.03918696, -0.056599338, -0.034151986, 0.047533363, -0.01459687, -0.0679629, -0.011175669, 0.030152632, 0.0382269, 0.0041881935, -0.007858538, -0.018000403, 0.022335991, -0.003267302, -0.048622385, 0.023882171, -0.034625404, -0.035592694, -0.042968493, -0.004153031, 0.019842803, -0.0016533697, -0.004881279, -0.045086186, -0.0011175375, 0.0021369208, -0.027217858, 0.042248532, -0.030293925, 0.064989135, -0.029612714, 0.024552464, -0.033408698, -0.0101805655, -0.0029412394, -0.0915347, 0.04138679, 0.013030276, 0.06705817, -0.004188915, -0.0062264856, -0.051195238, -0.02774683, 0.00731135, -0.013503835, -0.052448288, 0.021496458, 0.019841682, -0.023670819, 0.009778803, -0.0014320388, 0.014062996, 0.07120368, -0.04988873, -0.00012608718, -0.04031885, 0.018206028, 0.0640813, 0.070187114, -0.0015529695, 0.020645538, 0.0052610333, -0.043595728, 0.061265957, -0.042493634, -0.04516448, -0.005089449, 0.010595472, -0.015604816, 0.03951871, 0.03183545, -0.016843012, 0.0235672, -0.040382978, -0.03078044, 0.014075101, -0.0014767948, 0.042445626, 0.026724413, 0.017799338, -0.08596669, -0.018500224, 0.051851522, -0.009828736, -0.029204156, 0.011474476, 0.0055204323, -0.004064649, -0.033348784, 0.00523749, 0.022435933, -0.046652254, 0.024559079, -0.016480578, 0.040265355, -0.03305009, -0.031315356, -0.010046829, -0.01731933, -0.020532912, -0.0029909958, 0.011842756, -0.048824314, -0.012646131, -0.055367026, 0.0031566594, 0.014152518, -0.01904883, -0.024933103, 0.04189374, 0.028184457, 0.025812266, 0.02407379, 0.022633042, -0.007829883, -0.014562866, -0.032446302, 0.008651778, 0.026188472, 0.04299915, -0.02544324, 0.021127068, -0.018766753, -0.0063632224, 0.025388861, 0.0063838237, -0.02366371, -0.017125644, 0.0014911906, -0.022412458, 0.009111594, -0.008172784, -0.008471129, -0.023930583, -0.05943837, 0.00966703, -0.006407053, 0.012494917, -0.012754937, -0.026357513, 0.0407052, -0.024343831, -0.0037548298, 0.029267209, -0.008125634, -0.010630878, 0.02786125, -0.007368123, 0.0062804264, -0.032700405, -0.020568395, -0.043276288, 0.015865225, 0.0311623, -0.043471303, 0.055800557, -0.011932295, -0.045096148, -0.0050109215, -0.011723784, -0.005000813, 0.003097428, 0.0811478, 0.040164344, 0.0036458236, 0.012483547, 0.010060236, 0.0023018436, 0.006584019, 0.024982, 0.03525057, 0.0041822596, -0.015556074, 0.0034614399, 0.038330406, -0.00889707, 0.03221703, 0.03959702, 6.4116706e-05, 0.0036850327, 0.038901724, -0.028086498, 0.010405911, 0.021698542, -0.015949449, 0.005926045, 0.033439852, 0.0038825811, -0.025638554, -0.023800563, 0.0133479, 0.0346594, -0.00953549, -0.047149554, 0.024543112, 0.017636258, -0.013193999, 0.017017592, 0.028411236, -0.0025103707, 0.018269507, 0.051845845, 0.062203504, -0.025815979, -0.051945943, 0.0033721116, 0.07998744, 0.025422625, 0.009253838, -0.03604736, -0.042337134, 0.014561826, 0.04507746, -0.020416573, -0.015352677, -0.036153104, -0.027990274, 0.01924466, -0.045471456, -0.008539538, -0.040453684, -0.05723972, -0.01498072, -0.030530391, -0.007754218, -0.039093077, -0.03979653, -0.02228624, 0.0008455001, 0.0071356776, 0.025943242, 0.11981686, 0.014268126, -0.05869411, 0.008343074, -0.040158387, -0.016552536, 0.018982463, -0.03898772, -0.007980556, 0.022687193, -0.051658224, 0.025367606, 0.01998329, 0.021392373, -0.0434203, 0.02121578, 0.018556163, 0.003245211, 0.018774172, 0.0005500793, -0.03479759, 0.035857406, 0.00040770217, -0.035999756, 0.028827438, -0.029466469, -0.047930814, 0.0265652, -0.05008721, -0.0010059318, -0.01251698, 0.003447119, 0.05898002, 0.05744354, 0.06840657, 0.007024658, 0.006566852, 0.030507237, -0.041550875, -0.04153647, 0.0010598813, -0.0794358, -0.041427277, -0.06114106, -0.019902522, -0.012520727, -0.01163048, 0.0007943832, 0.028543016, -0.009956491, 0.025655229, 0.043709233, 0.0011159213, -0.030077763, 0.039286032, -0.03297622, 0.0095170215, -0.039622717, 0.002401525, 0.021634275, -0.057686023, 0.04041061, -0.03395288, -0.04493925, 0.028587993, 0.046589497, 0.03245823, -0.02444273, 0.036353294, 0.008618879, 0.0035412086, -0.046254568, 0.0148467375, 0.016634878, 0.0306935, 0.011313652, -0.031087654, 0.009768224, 0.007366226, -0.024521042, 0.013069051, -0.036803946, 0.045954864, 0.00825386, 0.013556772, -0.028380545, 0.01906237, -0.017373545, 0.02040689, -0.004991811, -0.011323219, 0.038479466, -0.010787252, -0.019826626, 0.06550503, -0.021512486, 0.04311003, 0.06399184, 0.01899978, -0.06393204, -0.052857753, 0.0026758595, -0.023297222, 0.0063398667, 0.029147884, 0.0076334844, 0.029746521, -0.016748957, -0.0021633625, 0.021256661, 0.022264387, -0.022884088, -0.016388448, -0.033683803, -0.02238929, 0.055876125, -0.0052925227, 0.013481841, -0.0209584, -0.03506728, 0.016223963, 0.0012435996, -0.046723302, -0.0005387966, 0.012555997, 0.04083436, -0.012232332, -0.016081795, 0.0062284134, -0.027968781, -0.022376344, 0.02119133, 0.034631502, 0.02318447, 0.044668313, 0.0023679107, -0.04467385, -0.01789442, 2.5628348e-09, -0.010842855, 0.026404202, 0.018929183, -0.008009062, -0.03902315, -0.03539446, 0.045142844, 0.0016768258, -0.0059571, 0.048917703, 0.05116004, 0.0005371061, 0.004794815, -0.016625853, -0.06221956, 0.0022883292, -0.037917495, -0.026748385, -0.01792442, -0.0045090592, 0.034487702, 0.029278198, -0.035341892, 0.019185508, 0.023990307, 0.040781856, 0.033953443, -0.012868148, 0.052692164, 0.005785138, -0.005816314, -0.017770205, 0.052668773, -0.011497479, -0.0042478456, -0.041163344, 0.017727418, 0.019524269, 0.0028672623, 0.027206969, 0.0098760445, -0.01839258, 0.064081036, -0.018610574, -0.03167949, 0.028112203, 0.038009446, 0.027018046, 0.034964353, 0.06139204, -0.000934609, -0.013590096, -0.0112873, -0.016028268, -0.06521579, 0.009233209, -0.010975224, 0.014953974, -0.013712477, -0.035961337, -0.01200976, 0.016888669, -0.0254347, -0.03294505, -0.011085823, 0.074079536, -0.041230906, 0.008066781, 0.016872587, -0.009588438, 0.015129394, 0.004597649, -0.012082546, -0.0205048, -0.011996115, -0.04258334, 0.01090112, 0.025189904, -0.026545173, 0.011398977, -0.035342906, 0.011842086, -0.046653755, 0.0023188903, -0.027082337, -0.053023692, 0.009047406, -0.04184604, -0.0027126037, 0.022172572, -0.0019665314, -0.020220164, -0.0055029565, 0.059257552, -0.038126208, -0.03557876, 0.01125294, 0.024858668, -0.0056422777, 0.0049045635, 0.011553989, 0.026200697, -1.432319e-27, -0.0010860946, 0.09268514, 0.06090386, -0.005796361, 0.025179828, 0.06804877, -0.050707188, 0.02777679, -0.031054588, -0.019260377, -0.04869623, 0.04939678, -0.024753766, -0.0072507886, 0.06201284, 0.038341094, -0.023940781, -0.0044804853, 0.0602865, 0.012955638, 0.041328467, 0.012215266, 0.041857783, 0.05578706, -0.04423121, -0.030089064, 0.039828192, -0.025488378, 0.044566587, 0.01636707, 0.05779351, -0.029481513, 0.0053500645, 0.051323455, 0.03458597, 0.013696377, -0.035192043, 0.04330355, 0.058219656, 0.049582005, -0.02016202, -0.036638554, 0.020224864, -0.039496087, -0.015062504, 0.0016461068, 0.015035624, -0.03048053, -0.027442321, -0.019795708, 0.061282612, -0.0035766829, 0.049931448, -0.044324502, -0.034937955, -0.055052124, -0.002334567, 0.0011809984, -0.0005358032, 0.014579384, -0.006727375, 0.01961919, -0.024230124, 0.022260979, 0.041638635, 0.015936956, -0.0129846865, -0.028698431, -0.023311313, 0.020681119, -0.022004813, 0.0045342017, 0.10454673, -0.00907232, 0.018019272, 0.027693322, -0.045678418, 0.008820441, -0.018247915, 0.0022897322, -0.0045168954, 0.0330645, -0.046881303, -0.02397729, -0.03653085, 0.03674319, -0.027837344, -0.02493074, -0.025111457, -0.02385346, -0.026238898, 0.019991593, -0.00067811715, -0.014781632, 0.024634153, -0.016004443, -0.0052194847, 0.024627017, 0.0032142564, 0.013624659, -5.867911e-24, -9.8801356e-05, 0.07649344, 0.02002069, 0.029181154, 0.03094678, 0.021331448, 0.029769164, -0.01106459, 0.035867818, 0.0059047374, 0.044848107, -0.034437712, 0.056731243, 0.0032158946, 0.018998314, -0.070217706, -0.029742291, 0.034644052, 0.024905458]}, 'metadata': {}}]
结果是以 dict 的形式输出的,之前没配置时是以 Node 的形式输出的。这个时候对 join 要么不设置,要么设置为 False对结果没有影响,不能设置为 True 或字符串否则会报错。
ppl = Retriever(documents, group_name="sentences", similarity="cosine", similarity_cut_off=0.003, topk=3, output_format="dict", join=True)
结果如下所示:
AssertionError: Only content output can be joined
然后当我们把 output_format 设置为 content:
ppl = Retriever(documents, group_name="sentences", similarity="cosine", similarity_cut_off=0.003, topk=3, output_format="content")
运行上面的代码,结果输出如下:
nodes: ['观天之道,执天之行,尽矣。\n故天有五贼,见之者昌。\n五贼在心,施行于天。\n宇宙在乎手,万化生乎身。\n天性人也,人心机也。立天之道,以定人也。\n天发杀机,移星易宿;地发杀机,龙蛇起陆;人发杀机,天地反覆;天人合发,万化定基。\n性有巧拙,可以伏藏。九窍之邪,在乎三要,可以动静。\n火生于木,祸发必克;奸生于国,时动必溃。知之修炼,谓之圣人。\n天生天杀,道之理也。天地万物之盗,万物人之盗,人万物之盗。三盗既宜,三才既安。\n故曰食其时,百骸理;动其机,万化安。人知其神之神,不知不神之所以神也。\n日月有数,大小有定,圣功生焉,神明出焉。\n其盗机也,天下莫能见,莫能知。君子得之固躬,小人得之轻命。\n瞽者善听,聋者善视。绝利一源,用师十倍。三返昼夜,用师万倍。\n心生于物,死于物,机在目。\n天之无恩而大恩生。迅雷烈风莫不蠢然。\n至乐性余,至静性廉。天之至私,用之至公。\n禽之制在气。生者死之根,死者生之根。恩生于害,害生于恩。\n愚人以天地文理圣,我以时物文理哲。', '天命之谓性,率性之谓道,修道之谓教。\n道也者,不可须臾(yú)离也;可离,非道也。是故君子戒慎乎其所不睹,恐惧乎其所不闻。莫见(xian)乎隐,莫显乎微,故君子慎其独也。\n喜怒哀乐之未发,谓之中;发而皆中节,谓之和。中也者,天下之大本也;和也者,天下之达道也。致中和,天地位焉,万物育焉。\n\n仲尼曰:“君子中庸,小人反中庸。君子之中庸也,君子而时中;小人之反中庸也,小人而无忌惮也。”\n\n子曰:“中庸其至矣乎!民鲜能久矣!”\n\n子曰:“道之不行也,我知之矣:知者过之,愚者不及也。道之不明也,我知之矣:贤者过之,不肖者不及也。人莫不饮食也,鲜能知味也。”', '第一章\n道可道,非常道。\n名可名,非常名。\n无,名天地之始;有,名万物之母。\n故常无,欲以观其妙;常有,欲以观其徼。\n此两者同出而异名,同谓之玄,玄之又玄,众妙之门。\n第二章\n天下皆知美之为美,斯恶已;\n皆知善之为善,斯不善已。\n故有无相生,难易相成,长短相形,高下相盈,音声相和,前后相随,恒也。\n是以圣人处无为之事,行不言之教。\n万物作而弗始,生而不有,为而不恃,功成而弗居。\n夫唯弗居,是以不去。\n第三章\n不尚贤,使民不争。\n不贵难得之货,使民不为盗。\n不见可欲,使民心不乱。\n是以圣人之治:\n虚其心,实其腹;弱其志,强其骨。\n常使民无知、无欲,使夫知者不敢为也。\n为无为,则无不治。\n第四章\n道冲而用之或不盈。\n渊兮似万物之宗,湛兮似若存。\n吾不知谁之子,象帝之先。\n第五章\n天地不仁,以万物为刍狗。\n圣人不仁,以百姓为刍狗。\n天地之间,其犹橐龠乎?\n虚而不屈,动而愈出。\n多言数穷,不如守中。\n第六章\n谷神不死,是谓玄牝。\n玄牝之门,是谓天地根。\n绵绵若存,用之不勤。\n第七章\n天长地久。\n天地所以能长且久者,以其不自生,故能长生。\n是以圣人后其身而身先,外其身而身存。\n非以其无私邪!\n故能成其私。\n第八章\n上善若水。\n水善利万物而不争,\n处众人之所恶,\n故几于道。\n居善地,心善渊,与善仁,言善信,政善治,事善能,动善时。\n夫唯不争,故无尤。\n第九章\n持而盈之,不如其已;揣而锐之,不可长保。\n金玉满堂,莫之能守;富贵而骄,自遗其咎。\n功遂身退,天之道也。\n第十章\n载营魄抱一,能无离乎。\n专气致柔,能如婴儿乎。\n涤除玄览,能无疵乎。\n爱民治国,能无为乎。\n天门开阖,能为雌乎。\n明白四达,能无知乎。\n第十一章\n三十辐共一毂,当其无,有车之用。\n埏埴以为器,当其无,有器之用。\n凿户牖以为室,当其无,有室之用。\n故有之以为利,无之以为用。']
因为没有配置 join,它的默认值是 False,所以是以 List[str]格式输出的。
这时候如果把 join设置为 True呢?
ppl = Retriever(documents, group_name="sentences", similarity="cosine", similarity_cut_off=0.003, topk=3, output_format="content", join=True)
结果输出如下:
nodes: 天命之谓性,率性之谓道,修道之谓教。
道也者,不可须臾(yú)离也;可离,非道也。是故君子戒慎乎其所不睹,恐惧乎其所不闻。莫见(xian)乎隐,莫显乎微,故君子慎其独也。
喜怒哀乐之未发,谓之中;发而皆中节,谓之和。中也者,天下之大本也;和也者,天下之达道也。致中和,天地位焉,万物育焉。
仲尼曰:“君子中庸,小人反中庸。君子之中庸也,君子而时中;小人之反中庸也,小人而无忌惮也。”
子曰:“中庸其至矣乎!民鲜能久矣!”
子曰:“道之不行也,我知之矣:知者过之,愚者不及也。道之不明也,我知之矣:贤者过之,不肖者不及也。人莫不饮食也,鲜能知味也。”第一章
道可道,非常道。
名可名,非常名。
无,名天地之始;有,名万物之母。
故常无,欲以观其妙;常有,欲以观其徼。
此两者同出而异名,同谓之玄,玄之又玄,众妙之门。
第二章
天下皆知美之为美,斯恶已;
皆知善之为善,斯不善已。
故有无相生,难易相成,长短相形,高下相盈,音声相和,前后相随,恒也。
是以圣人处无为之事,行不言之教。
万物作而弗始,生而不有,为而不恃,功成而弗居。
夫唯弗居,是以不去。
第三章
不尚贤,使民不争。
不贵难得之货,使民不为盗。
不见可欲,使民心不乱。
是以圣人之治:
虚其心,实其腹;弱其志,强其骨。
常使民无知、无欲,使夫知者不敢为也。
为无为,则无不治。
第四章
道冲而用之或不盈。
渊兮似万物之宗,湛兮似若存。
吾不知谁之子,象帝之先。
第五章
天地不仁,以万物为刍狗。
圣人不仁,以百姓为刍狗。
天地之间,其犹橐龠乎?
虚而不屈,动而愈出。
多言数穷,不如守中。
第六章
谷神不死,是谓玄牝。
玄牝之门,是谓天地根。
绵绵若存,用之不勤。
第七章
天长地久。
天地所以能长且久者,以其不自生,故能长生。
是以圣人后其身而身先,外其身而身存。
非以其无私邪!
故能成其私。
第八章
上善若水。
水善利万物而不争,
处众人之所恶,
故几于道。
居善地,心善渊,与善仁,言善信,政善治,事善能,动善时。
夫唯不争,故无尤。
第九章
持而盈之,不如其已;揣而锐之,不可长保。
金玉满堂,莫之能守;富贵而骄,自遗其咎。
功遂身退,天之道也。
第十章
载营魄抱一,能无离乎。
专气致柔,能如婴儿乎。
涤除玄览,能无疵乎。
爱民治国,能无为乎。
天门开阖,能为雌乎。
明白四达,能无知乎。
第十一章
三十辐共一毂,当其无,有车之用。
埏埴以为器,当其无,有器之用。
凿户牖以为室,当其无,有室之用。
故有之以为利,无之以为用。观天之道,执天之行,尽矣。
故天有五贼,见之者昌。
五贼在心,施行于天。
宇宙在乎手,万化生乎身。
天性人也,人心机也。立天之道,以定人也。
天发杀机,移星易宿;地发杀机,龙蛇起陆;人发杀机,天地反覆;天人合发,万化定基。
性有巧拙,可以伏藏。九窍之邪,在乎三要,可以动静。
火生于木,祸发必克;奸生于国,时动必溃。知之修炼,谓之圣人。
天生天杀,道之理也。天地万物之盗,万物人之盗,人万物之盗。三盗既宜,三才既安。
故曰食其时,百骸理;动其机,万化安。人知其神之神,不知不神之所以神也。
日月有数,大小有定,圣功生焉,神明出焉。
其盗机也,天下莫能见,莫能知。君子得之固躬,小人得之轻命。
瞽者善听,聋者善视。绝利一源,用师十倍。三返昼夜,用师万倍。
心生于物,死于物,机在目。
天之无恩而大恩生。迅雷烈风莫不蠢然。
至乐性余,至静性廉。天之至私,用之至公。
禽之制在气。生者死之根,死者生之根。恩生于害,害生于恩。
愚人以天地文理圣,我以时物文理哲。
这时候结果是以空字符串拼接成的文本,如果把 join 设置为 '11111111111111111111111111111' 呢?
ppl = Retriever(documents, group_name="sentences", similarity="cosine", similarity_cut_off=0.003, topk=3, output_format="content", join='11111111111111111111111111111')
结果输出如下:
nodes: 第一章
道可道,非常道。
名可名,非常名。
无,名天地之始;有,名万物之母。
故常无,欲以观其妙;常有,欲以观其徼。
此两者同出而异名,同谓之玄,玄之又玄,众妙之门。
第二章
天下皆知美之为美,斯恶已;
皆知善之为善,斯不善已。
故有无相生,难易相成,长短相形,高下相盈,音声相和,前后相随,恒也。
是以圣人处无为之事,行不言之教。
万物作而弗始,生而不有,为而不恃,功成而弗居。
夫唯弗居,是以不去。
第三章
不尚贤,使民不争。
不贵难得之货,使民不为盗。
不见可欲,使民心不乱。
是以圣人之治:
虚其心,实其腹;弱其志,强其骨。
常使民无知、无欲,使夫知者不敢为也。
为无为,则无不治。
第四章
道冲而用之或不盈。
渊兮似万物之宗,湛兮似若存。
吾不知谁之子,象帝之先。
第五章
天地不仁,以万物为刍狗。
圣人不仁,以百姓为刍狗。
天地之间,其犹橐龠乎?
虚而不屈,动而愈出。
多言数穷,不如守中。
第六章
谷神不死,是谓玄牝。
玄牝之门,是谓天地根。
绵绵若存,用之不勤。
第七章
天长地久。
天地所以能长且久者,以其不自生,故能长生。
是以圣人后其身而身先,外其身而身存。
非以其无私邪!
故能成其私。
第八章
上善若水。
水善利万物而不争,
处众人之所恶,
故几于道。
居善地,心善渊,与善仁,言善信,政善治,事善能,动善时。
夫唯不争,故无尤。
第九章
持而盈之,不如其已;揣而锐之,不可长保。
金玉满堂,莫之能守;富贵而骄,自遗其咎。
功遂身退,天之道也。
第十章
载营魄抱一,能无离乎。
专气致柔,能如婴儿乎。
涤除玄览,能无疵乎。
爱民治国,能无为乎。
天门开阖,能为雌乎。
明白四达,能无知乎。
第十一章
三十辐共一毂,当其无,有车之用。
埏埴以为器,当其无,有器之用。
凿户牖以为室,当其无,有室之用。
故有之以为利,无之以为用。11111111111111111111111111111观天之道,执天之行,尽矣。
故天有五贼,见之者昌。
五贼在心,施行于天。
宇宙在乎手,万化生乎身。
天性人也,人心机也。立天之道,以定人也。
天发杀机,移星易宿;地发杀机,龙蛇起陆;人发杀机,天地反覆;天人合发,万化定基。
性有巧拙,可以伏藏。九窍之邪,在乎三要,可以动静。
火生于木,祸发必克;奸生于国,时动必溃。知之修炼,谓之圣人。
天生天杀,道之理也。天地万物之盗,万物人之盗,人万物之盗。三盗既宜,三才既安。
故曰食其时,百骸理;动其机,万化安。人知其神之神,不知不神之所以神也。
日月有数,大小有定,圣功生焉,神明出焉。
其盗机也,天下莫能见,莫能知。君子得之固躬,小人得之轻命。
瞽者善听,聋者善视。绝利一源,用师十倍。三返昼夜,用师万倍。
心生于物,死于物,机在目。
天之无恩而大恩生。迅雷烈风莫不蠢然。
至乐性余,至静性廉。天之至私,用之至公。
禽之制在气。生者死之根,死者生之根。恩生于害,害生于恩。
愚人以天地文理圣,我以时物文理哲。11111111111111111111111111111天命之谓性,率性之谓道,修道之谓教。
道也者,不可须臾(yú)离也;可离,非道也。是故君子戒慎乎其所不睹,恐惧乎其所不闻。莫见(xian)乎隐,莫显乎微,故君子慎其独也。
喜怒哀乐之未发,谓之中;发而皆中节,谓之和。中也者,天下之大本也;和也者,天下之达道也。致中和,天地位焉,万物育焉。
仲尼曰:“君子中庸,小人反中庸。君子之中庸也,君子而时中;小人之反中庸也,小人而无忌惮也。”
子曰:“中庸其至矣乎!民鲜能久矣!”
子曰:“道之不行也,我知之矣:知者过之,愚者不及也。道之不明也,我知之矣:贤者过之,不肖者不及也。人莫不饮食也,鲜能知味也。”
可以看出结果是由三段文本拼接而成的字符串。
3.Reranker参数详解
(完整GitHub代码链接:
https://github.com/LazyAGI/Tutorial/blob/7abc91dbb82a007a78731845dd8c360ac0cc1e75/rag/codes/chapter8/reranker_parameters_explanation.py#L1)
Reranker 中的这两个参数值和上面是一样的,这里我们就不多说了,直接看代码。我们让 Reranker输出分数最高的两个结果。
import lazyllm
from lazyllm import pipeline, bind, OnlineEmbeddingModule, SentenceSplitter, Retriever, Reranker
from lazyllm.tools.rag import Document
prompt = 'You will play the role of an AI Q&A assistant and complete a dialogue task. In this task, you need to provide your answer based on the given context and question.'
documents = Document(dataset_path="rag_master", embed=OnlineEmbeddingModule(source="glm", embed_model_name="embedding-2"), manager=False)
documents.create_node_group(name="sentences", transform=SentenceSplitter, chunk_size=1024, chunk_overlap=100)
with pipeline() as ppl:
ppl.retriever = Retriever(documents, group_name="sentences", similarity="cosine", similarity_cut_off=0.003, topk=3)
ppl.reranker = Reranker(name="ModuleReranker", model=lazyllm.OnlineEmbeddingModule(type="rerank", source="glm", embed_model_name="rerank"), topk=2) | bind(query=ppl.input)
nodes = ppl("何为天道")
print(f"nodes: {nodes}")
结果输出如下:
nodes: [<Node id=a8713a16-fc5b-4904-a06f-9e8c55d11988>, <Node id=058767c8-de0e-4d17-addc-23816ae8e2d2>]
可以看到什么都不设置的话,结果是以 Node 的形式输出的。
接下来把 output_format 设置为 dict:
ppl.reranker = Reranker(name="ModuleReranker", model=lazyllm.OnlineEmbeddingModule(type="rerank", source="glm", embed_model_name="rerank"), topk=2, output_format="dict") | bind(query=ppl.input)
结果输出如下:
nodes: [{'content': '观天之道,执天之行,尽矣。\n故天有五贼,见之者昌。\n五贼在心,施行于天。\n宇宙在乎手,万化生乎身。\n天性人也,人心机也。立天之道,以定人也。\n天发杀机,移星易宿;地发杀机,龙蛇起陆;人发杀机,天地反覆;天人合发,万化定基。\n性有巧拙,可以伏藏。九窍之邪,在乎三要,可以动静。\n火生于木,祸发必克;奸生于国,时动必溃。知之修炼,谓之圣人。\n天生天杀,道之理也。天地万物之盗,万物人之盗,人万物之盗。三盗既宜,三才既安。\n故曰食其时,百骸理;动其机,万化安。人知其神之神,不知不神之所以神也。\n日月有数,大小有定,圣功生焉,神明出焉。\n其盗机也,天下莫能见,莫能知。君子得之固躬,小人得之轻命。\n瞽者善听,聋者善视。绝利一源,用师十倍。三返昼夜,用师万倍。\n心生于物,死于物,机在目。\n天之无恩而大恩生。迅雷烈风莫不蠢然。\n至乐性余,至静性廉。天之至私,用之至公。\n禽之制在气。生者死之根,死者生之根。恩生于害,害生于恩。\n愚人以天地文理圣,我以时物文理哲。', 'embedding': {'__default__': [0.0041554114, 0.0075854566, -0.007057654, 0.045291275, 0.04896368, 0.028331915, -0.05941855, 0.023905145, 0.041470468, -0.048525453, 0.041954085, -0.009402919, -0.026280737, -0.0059798467, 0.03535848, -0.01118226, -0.034457922, 0.05115644, -0.0008446922, -0.026550785, -0.007863325, 0.027618073, -0.011360486, -0.039742425, -0.004911823, -0.04183471, -0.005898696, 0.044848423, -0.030583072, -0.01361686, 0.038467087, -0.04660302, -0.02357292, 0.04048558, 0.03306541, -0.027309675, 0.048068833, 0.088752195, -0.009470059, 0.014505637, 0.0019608818, 0.024321485, -0.0624449, -0.050921675, -0.009048667, -0.014897456, -0.02090078, 0.0161172, -0.031017896, -0.006250185, 0.0034054928, 0.017325701, 0.05056032, 0.007071267, -0.008573053, 0.0057591763, -0.032224294, 0.015077854, -0.021500586, 0.050998785, -0.012885331, -0.0015166812, 0.016822474, 0.010382974, -0.01868565, -0.029895348, -0.035598777, -0.017912406, 0.003902434, -0.019268971, 0.025545066, -0.0016119897, -0.07398274, -0.0090994835, -0.015249873, -0.05385994, 0.041456234, 0.025098544, 0.011212095, 0.023621807, 0.02871689, 0.0155634, -0.017000291, -0.0057249004, 0.041292667, 0.014244264, -0.020487353, 0.009796285, 0.0017768699, 0.0029904752, -0.021676986, 0.050575286, 0.05815488, 0.041090943, 0.03852607, 0.0007469177, 0.0146834655, -0.019205064, -0.02501764, -0.014589938, -0.025496105, 0.0029830346, 0.009922189, -0.014940715, -0.05994815, 0.018909076, -0.0024642693, 0.04501117, -0.047053687, -0.014784821, -0.0020920835, 0.035193928, 0.042950764, 0.048697557, -0.015930817, -0.018142601, -0.021126166, 0.0013488104, 0.02504943, -0.007454921, -0.026205262, 0.03224436, 0.06320423, 0.0017354549, -0.013907578, 0.053008184, 0.013806328, -0.040066086, -0.011262496, -0.00783606, -0.032809734, 0.042265926, 0.003031213, -0.011611754, 0.0038381496, 0.026966704, 0.042800177, 0.032915533, 0.016108219, 0.019568527, 0.06046945, -0.010420891, 0.03388435, -0.0009712575, 0.032708555, -0.039891865, -0.029775867, -0.014499864, 0.022318674, 0.029443137, 0.010519894, 0.057602942, -2.1037191e-13, -0.040184353, -0.023729598, 0.059133578, -0.060146023, -0.009997531, 0.0071468763, 0.02307546, -0.008445198, 0.025550805, -0.062879466, 1.1355897e-17, 0.005254596, 0.039959684, 0.008519935, 0.028987143, 0.069844805, -0.014054391, -0.035702214, 0.03448102, 0.035850395, -0.026240302, -0.060955, -0.015616291, 0.005105854, -0.03699429, 0.013898516, -0.011044874, -0.008250217, 0.017763525, 0.014568678, 0.011624834, -0.016273065, -0.016237382, -0.030793475, -0.014173828, -0.004470327, -0.00031035003, -0.047902904, -0.033007123, -0.037031222, 0.0365982, 0.030188967, 0.030725434, 0.023961129, -0.02410339, -0.029226728, 0.03464168, -0.024372779, -0.021495208, -0.057038497, 0.073897764, -0.0141333, 0.019894436, 0.05053698, -0.012459984, 0.030188244, -0.0424957, -0.009643966, -0.001958911, 0.020065648, 0.014195304, 0.0558965, 0.01836145, -0.031815484, -0.03150872, 0.0695297, 0.031345744, 0.008421123, 0.0014973548, -0.033643615, -0.014629425, 0.022442328, -0.028167598, 0.015380408, -0.014378052, 0.012282112, -0.053193033, 0.019917091, 0.019215647, -0.033822346, 0.0027193974, -0.014981052, 0.00055290776, -0.004483305, -0.006755365, 0.028678952, 0.023475507, 0.020434262, -0.03490839, -0.027436005, 0.010972408, 0.07965436, 0.0011874165, -0.045413267, 0.028245784, -0.0063281492, 0.009295957, -0.03730253, 0.06491051, -0.045857605, -0.06690101, -0.0045730066, -0.024991188, 0.034862872, -0.015739491, 0.0529046, 0.03173905, 0.0703093, -0.0026089184, 0.054319624, 0.007398687, -5.9605067e-05, 0.017072119, -0.008852119, 0.0026614992, 0.038429067, 0.016159521, 0.026893796, -0.035562247, 0.038095932, 0.0065683676, 0.03324841, 0.016334219, -0.023613118, -0.040397674, -0.009194677, -0.008144042, -0.016446576, -0.01151405, -0.010928354, 0.038340032, -0.027145639, -0.046593655, 0.015169281, 0.050768223, -0.03294848, 0.01951992, 0.013797078, 0.035349254, 0.008481241, 0.031466227, -0.003075734, -0.029220875, -0.07521815, -0.0043719853, 0.048672307, 0.0058878683, -0.019860264, -0.03880463, 0.016394598, -0.0122021, -1.4963505e-05, 0.044320922, 0.007890018, 0.0054832306, -0.0123292245, 0.03318079, -0.015232731, -0.013402485, -0.02389836, 0.0055185272, -0.028106516, 0.022771437, -0.030289527, 0.02677829, 0.083992176, -0.012977583, -0.020257147, 0.07025292, -0.0054380586, 0.00113687, -0.003930704, -0.059119448, 0.0005393099, 0.006615847, -0.008725304, -0.011702107, 0.07533191, 0.028773967, 0.029288677, 0.048617944, -0.012453482, -0.02434141, -0.026455658, -0.038755085, 0.010074069, -0.043186586, -0.008087229, -0.030695459, 0.0028579491, 0.010711575, -0.027886447, 0.024541127, 0.011004065, -0.06523756, 0.043040413, 0.025965191, 0.013071675, 0.023030335, 0.029349305, 0.021783385, 0.018128468, 0.006819187, 0.006515866, 0.029666856, -0.06356491, 0.039198253, -0.011071719, 0.023561964, -0.03198062, 0.023516942, 0.059817895, 0.004185616, -0.008066767, -0.009041066, 0.015803682, 0.0067058923, 0.041337356, 0.0052649537, -0.027125185, -0.038213175, 0.014553458, 0.04226332, 0.070982724, -0.11455366, -0.032585356, 0.0102267265, 0.011878967, -0.033385586, 0.0010560753, -0.015395409, -0.00441643, -0.01337264, -0.011390325, 0.03452036, -0.0043478706, 0.021369405, 0.022401562, -0.022205178, 0.01836901, -0.040310632, -0.014155401, 0.022052731, -0.033351872, 0.023539973, 0.0066144154, -0.02636437, -0.049085867, 0.021261329, 0.025078895, -0.03848087, 0.031188102, -0.048261605, 0.019504659, -0.005102396, -0.01836231, 0.02110646, 0.025233712, 0.031062676, 0.0010754078, -0.017802356, -0.013914974, 0.014522387, 0.056926217, 0.0053230077, 0.028501919, 0.048797324, 0.023192475, 0.027942462, 0.0073998393, -0.03499081, 0.022158591, -0.019583017, 0.005857129, 0.046547387, -0.038932085, 0.040460087, 0.042364065, 0.0429083, 0.009138595, -0.012183861, 0.058576614, -0.030963775, -0.034653503, -0.025639888, -0.011284233, 0.047425315, -0.029514484, -0.036847457, -0.019771382, 0.008259031, 0.022998115, -0.017095372, 0.0066413945, -0.05487991, 0.002815856, -0.033681728, -0.014198309, 0.026634654, -0.00822199, -0.00530929, -0.011223847, -0.011880681, -0.034348324, -0.04212451, 0.067977875, -0.034103774, 0.05572993, -0.0062887007, 0.010488381, -0.020459691, 0.012848595, -0.025240324, -0.06849307, 0.025805129, -0.011156502, 0.05313631, -0.024320655, -0.028916016, 0.010576907, -0.0015999046, 0.024717461, -0.0144396275, -0.055715647, 0.030035136, 0.05483442, 0.010892865, -0.0075423573, 0.03750252, -0.005360984, 0.061075144, -0.05138248, -0.018550297, -0.06849128, 0.03832335, 0.051121823, 0.07625229, -0.02237382, -0.02532701, 0.005352677, -0.008111206, 0.073260285, -0.050452314, -0.03776045, -0.049333394, 0.044611394, -0.026005713, 0.039077275, 0.0220915, -0.029445095, -0.0064717205, -0.027871978, -0.035875883, 0.0024223006, 0.018516455, 0.05704868, -0.03898351, 0.006290837, -0.06967245, -0.021957148, 0.030887723, 0.019454552, -0.016694501, 0.013290308, -0.0031141401, -0.013080929, -0.016133493, -0.014472164, -0.01712892, -0.037303273, 0.027202567, -0.020992804, 0.042868, 0.013083941, -0.0220378, 0.004116772, -0.014082884, -0.03672434, -0.025468608, -0.004967429, -0.043549094, -0.059921604, -0.0267599, 0.020867042, -0.024328588, -0.009694849, -0.008663098, 0.029830154, 0.015654892, -0.01019365, -0.005135016, -0.005788498, 0.005652381, 0.018197127, -0.048258357, 0.018697621, 0.009251598, 0.013933649, -0.05764918, 0.017524255, -0.055997822, 0.00016845911, -0.02751447, 0.032793835, 0.0019559327, -0.0075224875, -0.01907267, -0.008904949, -0.030548248, 0.013870509, 0.0069685555, -0.028905436, -0.02268364, -0.020575576, -0.0030170542, 0.015130529, -0.00084239285, -0.029587327, 0.037500374, -0.027868606, -0.006660683, 0.031205097, 0.012189993, -0.000101473976, 0.012176301, -0.012304269, 0.016419522, -0.031622086, -0.031915437, -0.07447143, 0.044259857, 0.034456633, -0.030144012, 0.006155522, -0.047044933, -0.053129446, -0.003883295, -0.02238673, -0.036794078, 0.018963076, 0.038487703, 0.043547265, 0.020530019, 0.013525153, 0.03025931, -0.012935889, 0.0006987865, 0.001170972, 0.049213756, -0.021247994, -0.010136263, -0.008933942, 0.040884793, -0.014472714, 0.04323616, -0.024579003, 0.044722065, -0.00044178023, 0.022410542, -0.043617256, 0.022241985, 0.04859234, -0.034833476, 0.013860875, 0.023002412, 0.00644085, -0.01903299, -0.030982777, -0.02251995, 0.025486361, 0.013646234, -0.025401177, 0.028737532, -0.0021397755, 0.005839515, 0.031907808, -0.017933525, 0.0054767667, 0.011915933, 0.04648308, -0.0016207868, -0.02563286, -0.044512413, 0.03895756, 0.026000049, 0.028605616, 0.0051885676, 0.0020558056, 0.0013344906, 0.018722871, 0.01694392, -0.048954893, -0.0022045183, -0.04172797, -0.021244593, 0.013639434, 0.0023175476, -0.057096064, -0.017740823, -0.041350298, -0.0043968866, -0.03799386, -0.0042910026, -0.09530829, -0.038248345, -0.030624647, -0.0110857375, -0.010244377, 0.046464287, 0.11650956, 0.015119723, -0.069281384, 0.01305812, 0.012854464, -0.0055132634, 0.018360458, -0.0165773, -0.0032716265, 0.031324998, -0.047736414, 0.014519401, 0.048135165, -0.035682708, -0.0365996, 0.03389063, -0.0043802285, -0.01877874, 0.04836236, 0.020456195, -0.056787007, 0.010132782, 0.0004068694, -0.047474485, 0.03445135, -0.02724392, -0.03328944, -0.0029203526, -0.026272407, -0.00029890105, 0.013430369, 0.013834825, 0.060670216, 0.012882629, 0.06432347, 0.015768427, -0.010093849, 0.024928765, 0.012602784, -0.064383924, -0.0050611207, -0.044316787, -0.041941397, -0.04322314, 0.006486478, 0.0071116807, -0.012460606, -0.0074164756, 0.029274957, -0.024530469, 0.018598046, 0.03159384, -0.001951544, 0.00523427, 0.010126147, -0.017179206, -0.018108787, -0.007169589, 0.009502527, 0.008932048, -0.069397494, 0.044141974, -0.005750729, -0.045750074, 0.023508383, 0.03368248, 0.027255893, -0.015447886, 0.056365486, 0.008277988, 0.008696923, -0.059466016, -0.0071224286, 0.020547476, 0.028926386, -0.031088999, 0.0034343835, -0.009711087, 0.0011468836, -0.013077483, -0.025331382, -0.016229326, 0.02545839, 0.011994319, 0.008591205, -0.0015080342, 0.02231805, -0.04337707, 0.040335864, 0.026538009, -0.0062174527, 0.050592676, 0.029670224, -0.013418461, 0.0727519, -0.037769295, 0.04368287, 0.03542585, -0.020641856, -0.05900921, -0.027732523, 0.0072757383, -0.019184208, -0.013169488, 0.022744527, -0.010796951, 0.013560294, -0.035595182, 0.023965288, 0.010551866, 0.024181299, -0.03136934, -0.044932388, -0.020812577, -0.054782774, 0.04152298, -0.011101999, 0.024159305, 0.019186165, -0.062283333, 0.042109832, -0.0031904012, -0.056608956, 0.030812602, 0.020276703, 0.03021552, -0.039611798, 0.03263928, -0.008093682, -0.029934445, -0.003328774, 0.04017525, 0.05742037, 0.065777995, 0.011823178, -0.022649916, -0.030095868, -0.029602733, 3.6471364e-09, 0.019888746, 0.042886823, -0.013049726, 0.037731685, -0.036016267, -0.046768334, 0.060499705, 0.00012572506, 0.016042653, 0.024610577, 0.033402827, 0.004141988, -0.0006018001, -0.055084515, -0.039775707, 0.008617055, -0.01653752, -0.013155907, 0.016346993, -0.023589248, 0.024627982, -0.012017998, -0.053784538, 0.037820525, 0.03518804, 0.046451963, 0.016566351, 0.019617809, 0.03032722, 0.051768657, 0.003973617, 0.011890001, 0.030245746, -0.009497901, -0.001179198, -0.026856216, 0.015133692, 0.04234234, 0.007812807, -0.02503269, 0.017157003, -0.061224688, 0.04974642, 0.033100616, -0.0151869515, 0.024570305, 0.018643305, 0.06040034, 0.038901594, 0.04535261, -0.04548045, 0.0020181928, -0.034227967, -0.0013509532, -0.030452356, -0.018487962, -0.023855759, 0.05625316, -0.00090770074, -0.00640004, -0.014777776, 0.027941104, 0.016304482, -0.038740773, 0.011337658, 0.07173977, -0.03550307, 0.023911772, -0.0016779553, -0.033899304, -0.022336006, -0.015419301, 0.001863339, 0.0008760349, 0.009762301, -0.028453615, -0.011362094, 0.04275605, -0.043521807, 0.029829519, -0.02416117, 0.0335993, -0.006421268, 0.04060249, -0.032474253, -0.07600941, 0.004471598, -0.04126713, -0.02453735, 0.011764305, 0.015372352, 0.0028955622, -0.0291478, 0.05877516, -0.009823992, -0.054267995, 0.0067844344, 0.03217804, -0.011592191, -0.00035714993, 0.028778687, 0.0087011475, -1.7158678e-27, 0.0017932786, 0.03569676, 0.054138917, -0.008628211, 0.043432187, 0.023903232, -0.0067582014, -0.03050816, -0.028248005, -0.02057966, -0.057666212, 0.031576764, -0.0151130445, -0.027907273, 0.019604214, 0.019528171, -0.030740337, 0.013142259, 0.04407093, -0.0029533103, 0.0063910317, 0.017176246, 0.032132074, 0.022815445, -0.050552312, -0.020800956, 0.018182818, -0.037349436, 0.014202859, -0.00087027677, 0.058879256, 0.0056527536, -0.005539146, 0.032238558, 0.022045877, 0.03943093, 0.0077616903, 0.02564012, 0.06469182, 0.020434259, -0.028960383, -0.01953917, 0.016642196, -0.04865382, -0.009785435, 0.00070976716, 0.005543073, -0.00053107564, 0.019826816, -0.046817478, 0.02328427, 0.0038257786, 0.041383106, -0.049317617, -0.012191691, 0.040143386, -0.020945452, -0.015941637, 0.014165448, -0.014123277, 0.0048813364, 0.009677354, -0.001581121, 0.03251474, 0.042997185, -0.015337093, -0.021302974, -0.03482498, -0.02814613, 0.014423916, 0.030641912, -0.0033474728, 0.019615268, -0.046341933, -0.007550764, 0.014528103, -0.024804426, -0.04388465, -0.00038302864, 0.018112512, 0.016945953, 0.022862429, -0.06407195, 0.02999205, -0.029377965, 0.038923685, -0.003280456, -0.0140948305, -0.016372854, -0.0024543288, -0.019321902, 0.029282054, -0.0075866296, -0.018350568, 0.014755779, -0.050756894, -0.038549382, -0.026098477, 0.0016459071, 0.023259882, -6.1448135e-24, -0.022952693, 0.022025546, 0.014744688, 0.009926959, 0.044778008, 0.018253125, 0.04506746, -0.019753184, 0.046412323, 0.00015234029, 0.060078166, -0.060511682, 0.055275027, 0.02107507, 0.0074826907, -0.026740791, -0.012698739, 0.017056648, 0.050418142]}, 'metadata': {}}, {'content': '天命之谓性,率性之谓道,修道之谓教。\n道也者,不可须臾(yú)离也;可离,非道也。是故君子戒慎乎其所不睹,恐惧乎其所不闻。莫见(xian)乎隐,莫显乎微,故君子慎其独也。\n喜怒哀乐之未发,谓之中;发而皆中节,谓之和。中也者,天下之大本也;和也者,天下之达道也。致中和,天地位焉,万物育焉。\n\n仲尼曰:“君子中庸,小人反中庸。君子之中庸也,君子而时中;小人之反中庸也,小人而无忌惮也。”\n\n子曰:“中庸其至矣乎!民鲜能久矣!”\n\n子曰:“道之不行也,我知之矣:知者过之,愚者不及也。道之不明也,我知之矣:贤者过之,不肖者不及也。人莫不饮食也,鲜能知味也。”', 'embedding': {'__default__': [0.025426213, 0.034025285, -0.031320818, 0.016555943, 0.06301127, 0.0053874906, -0.03851282, 0.05617112, -0.026647208, -0.04409193, 0.07942905, -0.016034704, 0.0020301498, 0.009465688, 0.022152705, -0.02026594, -0.05420044, 0.048457634, 0.029878676, -0.023549352, 0.016439304, 0.034842428, 0.020412622, -0.0025755076, 0.0027205113, -0.022589676, 0.020291883, 0.03922448, 0.009154288, -0.007037486, 0.018945666, -0.038242333, -0.0059177317, 0.035270065, 0.023194453, -0.024663404, 0.045518205, 0.078890085, -0.0049626785, -0.0013358546, -0.020847179, 0.008833306, -0.057070132, -0.046780605, 0.0070816474, 0.009134139, -0.019501934, -0.034442246, -0.03516072, 0.006713291, -0.006998874, 0.032105204, 0.052466325, 0.02138813, -0.009691537, -0.009268791, -0.04773306, -0.01108876, -0.03728646, 0.06281455, -0.015532677, 0.012268486, 0.005829601, -0.0013577868, 0.006930408, -0.05296581, -0.023193905, -0.046643063, 0.011809876, 0.00023975057, 0.050946303, -0.03136553, -0.06390407, 0.03504418, -0.01805315, -0.04344443, 0.00677673, 0.013735469, 0.045064267, 0.029002164, 0.03938319, 0.034683738, 0.006368947, -0.00906264, 0.035292383, 0.058860265, -0.028741615, -0.0036960396, 0.012889149, -0.008738161, -0.012072681, 0.044848487, 0.047913834, 0.0025441165, 0.033541866, 0.0077599497, 0.025643757, -0.016167128, 0.02875357, -0.012898535, -0.03224147, -0.021762878, -0.015384127, -0.022707786, -0.0061772997, -0.020073174, 0.02529043, 0.014178167, -0.018244589, -0.008239636, 0.02126484, 0.0034560761, 0.051880326, 0.06363023, 0.01969195, -0.011307083, 0.005372883, -0.019629491, 0.0017945681, 0.011739278, -0.023668867, 0.009739918, 0.059829958, 0.034342274, -0.0019169106, 0.03975126, 0.0023158423, -0.044209726, -0.0027910431, 0.00031879256, -0.040849816, 0.04776571, 0.0020381147, 0.01910589, 0.0027710563, 0.011146467, 0.020007843, 0.0042484123, 0.005176938, 0.021434778, 0.0777557, -0.0038533013, 0.047306042, 0.0034837353, 0.042881086, -0.06315707, -0.052171838, -0.04829033, 0.019041482, 0.031125337, 0.045959365, 0.04621173, -1.540408e-13, -0.006997954, -0.020921359, 0.037427846, -0.07051564, 0.00041891588, 0.026310083, 0.02499563, 0.0017974637, 0.002034413, -0.023606593, 9.611427e-18, -0.009685626, -0.019306758, 0.033706345, 0.0356712, 0.039736345, -0.012066647, -0.0059178593, 0.031503696, 0.023679575, -0.011107136, -0.048489127, 0.0053288713, -0.0123187, -0.049243163, 0.00041808805, 0.0003394062, 0.015456655, -0.0028465304, 0.014629242, -0.011859338, -0.029523129, -0.026531836, -0.004875002, -0.009635127, 0.007637854, 0.016192164, -0.027906612, 0.0043651653, -0.011299037, 0.009702859, 0.020838758, 0.0027266808, 0.013553497, -0.020599183, -0.052582372, 0.047934312, -0.0211804, -0.014517992, -0.06661431, 0.057032656, -0.048424397, 0.011499752, 0.0056307977, -0.016409324, 0.044111975, -0.04115124, -0.026549118, 0.01797299, 0.022250125, -0.020612499, 0.060236566, -0.006571854, -0.00393553, -0.031184353, 0.064215384, 0.046786495, -0.00046514318, -0.00701734, -0.02017527, 0.008758273, 0.0016055728, -0.02660426, 0.009220425, -0.014724887, 0.010843108, -0.044277404, 0.010815744, 0.034662224, -0.026707007, -0.005213057, -0.011781672, -0.019246181, -0.019320516, -0.0016598016, 0.005209462, 0.028500574, 0.013622352, -0.026014416, -0.03194754, -0.010626347, 0.070779, -0.02930651, -0.049735054, 0.019265305, -0.017812809, -0.03864494, -0.057057705, 0.047812644, -0.021030407, -0.06017914, -0.008436314, -0.00565766, 0.040196173, -0.0015437013, 0.03359702, 0.07130042, 0.019466452, 0.030842118, 0.030507375, -0.007607868, -0.014626105, -0.011076136, -2.4094108e-05, -0.0024054602, 0.007530281, 0.029631741, 0.031458937, -0.006896458, 0.014952638, -0.0036152329, 0.027877389, 0.016777638, -0.021922763, -0.03586302, -0.0010009537, -0.016428495, 0.008924784, 0.023603037, -0.020115128, 0.00865001, -0.026730474, -0.033528563, 0.013149746, 0.030888822, -0.005040427, -0.0014151632, 0.020947043, 0.028981369, 0.00765713, 0.032147344, -0.023203162, -0.0044152536, -0.045422826, 0.016876237, 0.036611527, 0.013162975, 0.026166268, -0.027787978, 0.034219008, -0.013293831, -0.019005, 0.055061992, 0.00763016, 0.032072656, 0.014239542, 0.032104347, -0.037449952, -0.02217896, -0.032320846, 0.017871961, -0.03970623, 0.026835883, -0.054085482, -0.0027009265, 0.07634273, -0.024354596, -0.0029545398, 0.059289258, -0.027541274, 0.019158483, -0.02926486, -0.059198033, -0.00045453524, 0.03309172, -0.058500547, 0.03847318, 0.06686244, 0.0359078, 0.037715927, 0.026004314, -0.010441379, -0.044468235, -0.04735834, -0.054638885, -0.003099882, -0.016880812, 0.00814928, -0.010210958, -0.022301093, 0.0029216122, -0.012461757, 0.030258488, 0.00953299, -0.03189832, 0.015131103, 0.0012498442, 0.014835826, 0.05411683, 0.020760238, 0.017031388, 0.020908138, 0.059172362, 0.033446126, -0.0024910853, -0.0605189, -0.0029194264, -0.001088384, -0.042831995, 0.008137215, 0.020813528, 0.037613075, -0.005095976, -0.01884459, -0.005923714, 0.023792582, -0.028474923, 0.03757395, 0.024344636, -0.035215013, -0.023457121, 0.052875917, 0.026036683, 0.10764514, -0.051340614, -0.018821908, 0.016108429, 0.024424875, -0.053446505, -0.0054197996, -0.0060087196, -0.0041229264, -0.006034636, 0.007538079, -0.018776668, -0.013380194, 0.0028277775, -0.0048381737, 0.004624616, -0.030349467, -0.04140086, 0.009394284, -0.008468681, -0.036008462, -0.011696614, -0.020296633, -0.030620858, -0.063259475, 0.038780067, -0.010312165, -0.053780414, -0.011514602, -0.04333725, -0.010768698, 0.0016200787, -0.029752402, 0.007386246, 0.018586209, 0.009053951, 0.00036854058, 0.022906242, 0.028303033, 0.019804642, 0.036445, 0.005007112, 0.014926994, 0.029018547, -0.015011582, 0.0065884907, 0.029475305, -0.016382167, 0.007041045, -0.024008943, 0.046547353, 0.027779775, -0.0071733906, 0.012406345, 0.011313683, 0.03918696, -0.056599338, -0.034151986, 0.047533363, -0.01459687, -0.0679629, -0.011175669, 0.030152632, 0.0382269, 0.0041881935, -0.007858538, -0.018000403, 0.022335991, -0.003267302, -0.048622385, 0.023882171, -0.034625404, -0.035592694, -0.042968493, -0.004153031, 0.019842803, -0.0016533697, -0.004881279, -0.045086186, -0.0011175375, 0.0021369208, -0.027217858, 0.042248532, -0.030293925, 0.064989135, -0.029612714, 0.024552464, -0.033408698, -0.0101805655, -0.0029412394, -0.0915347, 0.04138679, 0.013030276, 0.06705817, -0.004188915, -0.0062264856, -0.051195238, -0.02774683, 0.00731135, -0.013503835, -0.052448288, 0.021496458, 0.019841682, -0.023670819, 0.009778803, -0.0014320388, 0.014062996, 0.07120368, -0.04988873, -0.00012608718, -0.04031885, 0.018206028, 0.0640813, 0.070187114, -0.0015529695, 0.020645538, 0.0052610333, -0.043595728, 0.061265957, -0.042493634, -0.04516448, -0.005089449, 0.010595472, -0.015604816, 0.03951871, 0.03183545, -0.016843012, 0.0235672, -0.040382978, -0.03078044, 0.014075101, -0.0014767948, 0.042445626, 0.026724413, 0.017799338, -0.08596669, -0.018500224, 0.051851522, -0.009828736, -0.029204156, 0.011474476, 0.0055204323, -0.004064649, -0.033348784, 0.00523749, 0.022435933, -0.046652254, 0.024559079, -0.016480578, 0.040265355, -0.03305009, -0.031315356, -0.010046829, -0.01731933, -0.020532912, -0.0029909958, 0.011842756, -0.048824314, -0.012646131, -0.055367026, 0.0031566594, 0.014152518, -0.01904883, -0.024933103, 0.04189374, 0.028184457, 0.025812266, 0.02407379, 0.022633042, -0.007829883, -0.014562866, -0.032446302, 0.008651778, 0.026188472, 0.04299915, -0.02544324, 0.021127068, -0.018766753, -0.0063632224, 0.025388861, 0.0063838237, -0.02366371, -0.017125644, 0.0014911906, -0.022412458, 0.009111594, -0.008172784, -0.008471129, -0.023930583, -0.05943837, 0.00966703, -0.006407053, 0.012494917, -0.012754937, -0.026357513, 0.0407052, -0.024343831, -0.0037548298, 0.029267209, -0.008125634, -0.010630878, 0.02786125, -0.007368123, 0.0062804264, -0.032700405, -0.020568395, -0.043276288, 0.015865225, 0.0311623, -0.043471303, 0.055800557, -0.011932295, -0.045096148, -0.0050109215, -0.011723784, -0.005000813, 0.003097428, 0.0811478, 0.040164344, 0.0036458236, 0.012483547, 0.010060236, 0.0023018436, 0.006584019, 0.024982, 0.03525057, 0.0041822596, -0.015556074, 0.0034614399, 0.038330406, -0.00889707, 0.03221703, 0.03959702, 6.4116706e-05, 0.0036850327, 0.038901724, -0.028086498, 0.010405911, 0.021698542, -0.015949449, 0.005926045, 0.033439852, 0.0038825811, -0.025638554, -0.023800563, 0.0133479, 0.0346594, -0.00953549, -0.047149554, 0.024543112, 0.017636258, -0.013193999, 0.017017592, 0.028411236, -0.0025103707, 0.018269507, 0.051845845, 0.062203504, -0.025815979, -0.051945943, 0.0033721116, 0.07998744, 0.025422625, 0.009253838, -0.03604736, -0.042337134, 0.014561826, 0.04507746, -0.020416573, -0.015352677, -0.036153104, -0.027990274, 0.01924466, -0.045471456, -0.008539538, -0.040453684, -0.05723972, -0.01498072, -0.030530391, -0.007754218, -0.039093077, -0.03979653, -0.02228624, 0.0008455001, 0.0071356776, 0.025943242, 0.11981686, 0.014268126, -0.05869411, 0.008343074, -0.040158387, -0.016552536, 0.018982463, -0.03898772, -0.007980556, 0.022687193, -0.051658224, 0.025367606, 0.01998329, 0.021392373, -0.0434203, 0.02121578, 0.018556163, 0.003245211, 0.018774172, 0.0005500793, -0.03479759, 0.035857406, 0.00040770217, -0.035999756, 0.028827438, -0.029466469, -0.047930814, 0.0265652, -0.05008721, -0.0010059318, -0.01251698, 0.003447119, 0.05898002, 0.05744354, 0.06840657, 0.007024658, 0.006566852, 0.030507237, -0.041550875, -0.04153647, 0.0010598813, -0.0794358, -0.041427277, -0.06114106, -0.019902522, -0.012520727, -0.01163048, 0.0007943832, 0.028543016, -0.009956491, 0.025655229, 0.043709233, 0.0011159213, -0.030077763, 0.039286032, -0.03297622, 0.0095170215, -0.039622717, 0.002401525, 0.021634275, -0.057686023, 0.04041061, -0.03395288, -0.04493925, 0.028587993, 0.046589497, 0.03245823, -0.02444273, 0.036353294, 0.008618879, 0.0035412086, -0.046254568, 0.0148467375, 0.016634878, 0.0306935, 0.011313652, -0.031087654, 0.009768224, 0.007366226, -0.024521042, 0.013069051, -0.036803946, 0.045954864, 0.00825386, 0.013556772, -0.028380545, 0.01906237, -0.017373545, 0.02040689, -0.004991811, -0.011323219, 0.038479466, -0.010787252, -0.019826626, 0.06550503, -0.021512486, 0.04311003, 0.06399184, 0.01899978, -0.06393204, -0.052857753, 0.0026758595, -0.023297222, 0.0063398667, 0.029147884, 0.0076334844, 0.029746521, -0.016748957, -0.0021633625, 0.021256661, 0.022264387, -0.022884088, -0.016388448, -0.033683803, -0.02238929, 0.055876125, -0.0052925227, 0.013481841, -0.0209584, -0.03506728, 0.016223963, 0.0012435996, -0.046723302, -0.0005387966, 0.012555997, 0.04083436, -0.012232332, -0.016081795, 0.0062284134, -0.027968781, -0.022376344, 0.02119133, 0.034631502, 0.02318447, 0.044668313, 0.0023679107, -0.04467385, -0.01789442, 2.5628348e-09, -0.010842855, 0.026404202, 0.018929183, -0.008009062, -0.03902315, -0.03539446, 0.045142844, 0.0016768258, -0.0059571, 0.048917703, 0.05116004, 0.0005371061, 0.004794815, -0.016625853, -0.06221956, 0.0022883292, -0.037917495, -0.026748385, -0.01792442, -0.0045090592, 0.034487702, 0.029278198, -0.035341892, 0.019185508, 0.023990307, 0.040781856, 0.033953443, -0.012868148, 0.052692164, 0.005785138, -0.005816314, -0.017770205, 0.052668773, -0.011497479, -0.0042478456, -0.041163344, 0.017727418, 0.019524269, 0.0028672623, 0.027206969, 0.0098760445, -0.01839258, 0.064081036, -0.018610574, -0.03167949, 0.028112203, 0.038009446, 0.027018046, 0.034964353, 0.06139204, -0.000934609, -0.013590096, -0.0112873, -0.016028268, -0.06521579, 0.009233209, -0.010975224, 0.014953974, -0.013712477, -0.035961337, -0.01200976, 0.016888669, -0.0254347, -0.03294505, -0.011085823, 0.074079536, -0.041230906, 0.008066781, 0.016872587, -0.009588438, 0.015129394, 0.004597649, -0.012082546, -0.0205048, -0.011996115, -0.04258334, 0.01090112, 0.025189904, -0.026545173, 0.011398977, -0.035342906, 0.011842086, -0.046653755, 0.0023188903, -0.027082337, -0.053023692, 0.009047406, -0.04184604, -0.0027126037, 0.022172572, -0.0019665314, -0.020220164, -0.0055029565, 0.059257552, -0.038126208, -0.03557876, 0.01125294, 0.024858668, -0.0056422777, 0.0049045635, 0.011553989, 0.026200697, -1.432319e-27, -0.0010860946, 0.09268514, 0.06090386, -0.005796361, 0.025179828, 0.06804877, -0.050707188, 0.02777679, -0.031054588, -0.019260377, -0.04869623, 0.04939678, -0.024753766, -0.0072507886, 0.06201284, 0.038341094, -0.023940781, -0.0044804853, 0.0602865, 0.012955638, 0.041328467, 0.012215266, 0.041857783, 0.05578706, -0.04423121, -0.030089064, 0.039828192, -0.025488378, 0.044566587, 0.01636707, 0.05779351, -0.029481513, 0.0053500645, 0.051323455, 0.03458597, 0.013696377, -0.035192043, 0.04330355, 0.058219656, 0.049582005, -0.02016202, -0.036638554, 0.020224864, -0.039496087, -0.015062504, 0.0016461068, 0.015035624, -0.03048053, -0.027442321, -0.019795708, 0.061282612, -0.0035766829, 0.049931448, -0.044324502, -0.034937955, -0.055052124, -0.002334567, 0.0011809984, -0.0005358032, 0.014579384, -0.006727375, 0.01961919, -0.024230124, 0.022260979, 0.041638635, 0.015936956, -0.0129846865, -0.028698431, -0.023311313, 0.020681119, -0.022004813, 0.0045342017, 0.10454673, -0.00907232, 0.018019272, 0.027693322, -0.045678418, 0.008820441, -0.018247915, 0.0022897322, -0.0045168954, 0.0330645, -0.046881303, -0.02397729, -0.03653085, 0.03674319, -0.027837344, -0.02493074, -0.025111457, -0.02385346, -0.026238898, 0.019991593, -0.00067811715, -0.014781632, 0.024634153, -0.016004443, -0.0052194847, 0.024627017, 0.0032142564, 0.013624659, -5.867911e-24, -9.8801356e-05, 0.07649344, 0.02002069, 0.029181154, 0.03094678, 0.021331448, 0.029769164, -0.01106459, 0.035867818, 0.0059047374, 0.044848107, -0.034437712, 0.056731243, 0.0032158946, 0.018998314, -0.070217706, -0.029742291, 0.034644052, 0.024905458]}, 'metadata': {}}]
ppl.reranker = Reranker(name="ModuleReranker", model=lazyllm.OnlineEmbeddingModule(type="rerank", source="glm", embed_model_name="rerank"), topk=2, output_format="dict", join=True) | bind(query=ppl.input)
结果报错如下:
AssertionError: Only content output can be joined
接下来我们把 output_format 设置为 content:
ppl.reranker = Reranker(name="ModuleReranker", model=lazyllm.OnlineEmbeddingModule(type="rerank", source="glm", embed_model_name="rerank"), topk=2, output_format="content" ) | bind(query=ppl.input)
结果如下:
nodes: ['观天之道,执天之行,尽矣。\n故天有五贼,见之者昌。\n五贼在心,施行于天。\n宇宙在乎手,万化生乎身。\n天性人也,人心机也。立天之道,以定人也。\n天发杀机,移星易宿;地发杀机,龙蛇起陆;人发杀机,天地反覆;天人合发,万化定基。\n性有巧拙,可以伏藏。九窍之邪,在乎三要,可以动静。\n火生于木,祸发必克;奸生于国,时动必溃。知之修炼,谓之圣人。\n天生天杀,道之理也。天地万物之盗,万物人之盗,人万物之盗。三盗既宜,三才既安。\n故曰食其时,百骸理;动其机,万化安。人知其神之神,不知不神之所以神也。\n日月有数,大小有定,圣功生焉,神明出焉。\n其盗机也,天下莫能见,莫能知。君子得之固躬,小人得之轻命。\n瞽者善听,聋者善视。绝利一源,用师十倍。三返昼夜,用师万倍。\n心生于物,死于物,机在目。\n天之无恩而大恩生。迅雷烈风莫不蠢然。\n至乐性余,至静性廉。天之至私,用之至公。\n禽之制在气。生者死之根,死者生之根。恩生于害,害生于恩。\n愚人以天地文理圣,我以时物文理哲。', '天命之谓性,率性之谓道,修道之谓教。\n道也者,不可须臾(yú)离也;可离,非道也。是故君子戒慎乎其所不睹,恐惧乎其所不闻。莫见(xian)乎隐,莫显乎微,故君子慎其独也。\n喜怒哀乐之未发,谓之中;发而皆中节,谓之和。中也者,天下之大本也;和也者,天下之达道也。致中和,天地位焉,万物育焉。\n\n仲尼曰:“君子中庸,小人反中庸。君子之中庸也,君子而时中;小人之反中庸也,小人而无忌惮也。”\n\n子曰:“中庸其至矣乎!民鲜能久矣!”\n\n子曰:“道之不行也,我知之矣:知者过之,愚者不及也。道之不明也,我知之矣:贤者过之,不肖者不及也。人莫不饮食也,鲜能知味也。”']
结果是以 List[str]的形式输出的。
如果把 join设置为True呢?
ppl.reranker = Reranker(name="ModuleReranker", model=lazyllm.OnlineEmbeddingModule(type="rerank", source="glm", embed_model_name="rerank"), topk=2, output_format="content", join=True) | bind(query=ppl.input)
结果如下:
nodes: 观天之道,执天之行,尽矣。
故天有五贼,见之者昌。
五贼在心,施行于天。
宇宙在乎手,万化生乎身。
天性人也,人心机也。立天之道,以定人也。
天发杀机,移星易宿;地发杀机,龙蛇起陆;人发杀机,天地反覆;天人合发,万化定基。
性有巧拙,可以伏藏。九窍之邪,在乎三要,可以动静。
火生于木,祸发必克;奸生于国,时动必溃。知之修炼,谓之圣人。
天生天杀,道之理也。天地万物之盗,万物人之盗,人万物之盗。三盗既宜,三才既安。
故曰食其时,百骸理;动其机,万化安。人知其神之神,不知不神之所以神也。
日月有数,大小有定,圣功生焉,神明出焉。
其盗机也,天下莫能见,莫能知。君子得之固躬,小人得之轻命。
瞽者善听,聋者善视。绝利一源,用师十倍。三返昼夜,用师万倍。
心生于物,死于物,机在目。
天之无恩而大恩生。迅雷烈风莫不蠢然。
至乐性余,至静性廉。天之至私,用之至公。
禽之制在气。生者死之根,死者生之根。恩生于害,害生于恩。
愚人以天地文理圣,我以时物文理哲。天命之谓性,率性之谓道,修道之谓教。
道也者,不可须臾(yú)离也;可离,非道也。是故君子戒慎乎其所不睹,恐惧乎其所不闻。莫见(xian)乎隐,莫显乎微,故君子慎其独也。
喜怒哀乐之未发,谓之中;发而皆中节,谓之和。中也者,天下之大本也;和也者,天下之达道也。致中和,天地位焉,万物育焉。
仲尼曰:“君子中庸,小人反中庸。君子之中庸也,君子而时中;小人之反中庸也,小人而无忌惮也。”
子曰:“中庸其至矣乎!民鲜能久矣!”
子曰:“道之不行也,我知之矣:知者过之,愚者不及也。道之不明也,我知之矣:贤者过之,不肖者不及也。人莫不饮食也,鲜能知味也。”
可以看到结果是以字符串的形式输出的,如果把 join 设置为 '11111111111111111111111111111' 呢?
ppl.reranker = Reranker(name="ModuleReranker", model=lazyllm.OnlineEmbeddingModule(type="rerank", source="glm", embed_model_name="rerank"), topk=2, output_format="content", join='11111111111111111111111111111') | bind(query=ppl.input)
结果如下所示:
nodes: 观天之道,执天之行,尽矣。
故天有五贼,见之者昌。
五贼在心,施行于天。
宇宙在乎手,万化生乎身。
天性人也,人心机也。立天之道,以定人也。
天发杀机,移星易宿;地发杀机,龙蛇起陆;人发杀机,天地反覆;天人合发,万化定基。
性有巧拙,可以伏藏。九窍之邪,在乎三要,可以动静。
火生于木,祸发必克;奸生于国,时动必溃。知之修炼,谓之圣人。
天生天杀,道之理也。天地万物之盗,万物人之盗,人万物之盗。三盗既宜,三才既安。
故曰食其时,百骸理;动其机,万化安。人知其神之神,不知不神之所以神也。
日月有数,大小有定,圣功生焉,神明出焉。
其盗机也,天下莫能见,莫能知。君子得之固躬,小人得之轻命。
瞽者善听,聋者善视。绝利一源,用师十倍。三返昼夜,用师万倍。
心生于物,死于物,机在目。
天之无恩而大恩生。迅雷烈风莫不蠢然。
至乐性余,至静性廉。天之至私,用之至公。
禽之制在气。生者死之根,死者生之根。恩生于害,害生于恩。
愚人以天地文理圣,我以时物文理哲。11111111111111111111111111111天命之谓性,率性之谓道,修道之谓教。
道也者,不可须臾(yú)离也;可离,非道也。是故君子戒慎乎其所不睹,恐惧乎其所不闻。莫见(xian)乎隐,莫显乎微,故君子慎其独也。
喜怒哀乐之未发,谓之中;发而皆中节,谓之和。中也者,天下之大本也;和也者,天下之达道也。致中和,天地位焉,万物育焉。
仲尼曰:“君子中庸,小人反中庸。君子之中庸也,君子而时中;小人之反中庸也,小人而无忌惮也。”
子曰:“中庸其至矣乎!民鲜能久矣!”
子曰:“道之不行也,我知之矣:知者过之,愚者不及也。道之不明也,我知之矣:贤者过之,不肖者不及也。人莫不饮食也,鲜能知味也。”
可以看出结果是由两个 文本段拼接而成。可以看出 Retriever和Reranker的后处理是一样的。
(数据集的下载方式:
https://huggingface.co/datasets/LazyAGI/Chinese_Classics_Articles/tree/main)
更多技术讨论,欢迎移步“LazyLLM”gzh~

被折叠的 条评论
为什么被折叠?



