克雷西 发自 凹非寺
量子位 | 公众号 QbitAI
赵宇飞高材生、哥伦比亚大学助理教授Mehtaab Sawhney(索尼),又为数学界贡献了一项重要成果——
与牛津大学教授Ben Green(格林)一起,证明了一项关于素数分布的新规律。

关键是证明中用到了与Gowers范数相关的技术,而Gowers范数一开始是拿来研究等差数列的,看上去和素数规律风马牛不相及。
甚至作者索尼自己也表示,“作为一个‘局外人’,几乎不可能判断出这些事情是相关的”。
所以,这项研究不仅在素数领域是一项重要工作,也揭开了高尔斯范数的应用潜能。
多伦多大学教授John Friedlander评价说,索尼和格林的这项研究表明高尔斯范数可以作为新领域的强大工具。
最早和陶哲轩一同将素数和Gowers范数联系到一起的数学家Tamar Ziegler(齐格勒),也对索尼和格林的研究给予了高度评价:
看到我前一段时间想到的东西有了意想不到的新应用,让我觉得很有趣。
证明素数分布新规律
2018年,Friedlander和美国罗格斯大学的Iwaniec提出了“高斯素数猜想”(Gaussian primes conjecture):
存在无穷多个素数p、q,使得p²+4q²也是素数。
(Friedlander和Iwaniec的合作可以追溯到上个世纪,1997年他们一同证明了a²+b⁴可以组成无数个素数)
格林和索尼不仅证明了这一猜想,还将其推广到了更多的情况——
对于满足n≡0或n≡4(mod 6)的正整数n,均存在无穷多个素数p和q使得p²+nq²也是素数。
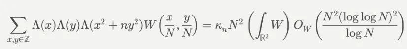
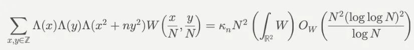
同时,格林和索尼还为这些素数的数量给出了渐近公式:

其中∧(n)是von Mangoldt函数,用于检测n是否为素数或素数的幂,N>1,W为权函数,κ_n是一个与n有关的常数:

显然,满足条件的素数数量不可能通过直接计算得到。
于是,格林和索尼选择先将要证明的结论弱化,也就是先放宽一下约束条件——先将p和q的范围放宽到“粗略素数”。
举个例子,如果我们要找出1-200之间的“粗略素数”,可以找到与2、3、5、7这几个小素数同时互素(最大公因数为1)的数,这些数字即为1-200之间的“粗略素数”。
(这些“粗略素数”当中,实际上不是素数的数,算上1也只有5个。)

格林和索尼证明,通过对两个“粗略素数”进行平方并将它们相加,可以得到无限多个素数。
接下来,他们就需要证明使用“粗略素数”构建的集合,和使用真实素数构建的集合“足够相似”。
其中就涉及了最关键的技术突破——Gowers范数的使用。
Gowers范数是一种测量函数“伪随机性”的工具,2001年由数学家蒂莫西·高尔斯(Timothy Gowers)提出。
2018年,陶哲轩和塔玛尔·齐格勒(Tamar Ziegler)找到了一种将高尔斯范数与“Type I和”与“Type II和”之间联系起来的方法。
具体到这项研究,作者首先通过筛法将问题简化为“Type I和”(左)与“Type II和”(右)的估计:

筛法的核心思想是,通过对这两类和的估计,过滤掉不满足素数条件的数,从而集中分析那些可能使p²+nq²为素数的数值。
其中,“Type I和”聚焦于单个变量的局部分布,帮助处理低阶贡献;“Type II和”则关注双变量交互,处理高阶分布。
进一步地,作者将问题转化到二次虚数域Q(√(-n)),并利用数域中的理想分解、范数分布以及素理想的性质来研究目标数列的素数性。
具体来说,在整数环Z中,研究x²+ ny²是否为素数,等价于在Q(√(-n))中分析主理想x+y√(-n)是否为素理想。
接下来就轮到Gowers范数登场了。
为了控制“Type II和”,论文定义了函数f(x)和f’(y),其中∧_Cramér(x) 是von Mangoldt函数的低复杂度近似:

作者通过引入连接定理和逆定理,使用Gowers范数分析f(x)和f’(y)的伪随机性,从而证明了它们在大部分情况下对二次型x²+ ny²的贡献是可控的。
也就是说,作者通过筛法和Gowers范数,证明了关键的中间结果——x, y的组合分布是均匀的。
最终的表达式中,主项来源于数域中范数N(x+ y√(-n))的分布,利用数域的素理想定理,可以得到主项。
“Type I和”与“Type II和”带来的误差项,分别可以通过筛法分析和Gowers范数的均匀性假设来控制。
两者结合后,误差项对主项的影响是次级的。
将主项和误差项结合,最终得出目标公式:

结缘于Gowers范数
这项研究的两位作者——格林和索尼,说起来也是颇有缘分。
格林是牛津大学数学教授、陶哲轩的长期合作者,同时还是英国皇家学会Fellow。

索尼一开始在宾夕法尼亚大学读计算机,然后在2017年转到MIT主修数学,成为了赵宇飞的学生,之后又在赵宇飞手下读博,并于今年6月毕业。
今年初索尼成为了克莱研究员,现在索尼在哥伦比亚大学担任教职。

让两人走到一起的,或许正是这次研究中用到的Gowers范数。
Gowers范数是1998年菲尔兹奖得主、英国数学家蒂莫西·高尔斯(Timothy Gowers)在证明塞迈雷迪定理时提出的。
塞迈雷迪定理与等差数列相关:
若一个整数集A具有正的自然密度,则对任意的正整数k,都可以在A中找出一个包含k项的等差数列。
所谓具有正自然密度,就是当n趋于无穷时,A与1,2,…,n这个数列的交集中元素个数与n的比值大于0。
到了2017年,陶哲轩和格林一起给出了k=4时的新上界。

2022年,正在陶哲轩那里读研二的James Leng(小冷)开始研究起了高尔斯的理论,并引起了索尼和他的师弟Ashwin Sah(小萨)的注意。
最终,三人共同把这一结论推广到了k为任意取值的情况,成为了23年以来在这个问题上最重大的突破。

与这次索尼和格林的研究一样,三人在其中也使用了Gowers范数的逆定理,并且这项逆定理的发现者正是索尼、小冷和小萨。
顺便提一句,打从本科起,索尼和小萨就是彼此的科研搭子,关系密切到索尼主页列出的70篇论文里,有60篇都带小萨的名字。
而导师赵宇飞在本科时对他俩的评价就是:
(MIT)的本科生研究有着悠久的历史和传统,但在论文的质量和数量上,都达不到Ashwin Sah和Mehtaab Sawhney的水平。
说回索尼本人,今年七月,索尼和格林终于在爱丁堡的一次会议上会面。
索尼说自己一直非常欣赏格林,并表示格林20年前证明的一项开创性成果正是让他选择这个主题的原因之一。
格林也对这位年轻的数学家印象深刻,称索尼是一位杰出的数学家,并“以某种方式知道一切”。
于是,两人决定合作,并将目光聚焦在了这次的“高斯素数猜想”。
到牛津访问一周后,索尼和格林对其证明有了思路,并于今年10月份发布了论文预印本。

此后,两人又继续合作,提出并证明了Furstenberg-Sárközy定理的改进界限。

论文地址:
https://arxiv.org/abs/2410.04189
参考链接:
https://www.quantamagazine.org/mathematicians-uncover-a-new-way-to-count-prime-numbers-20241211/
— 完 —
点这里👇关注我,记得标星哦~
12

被折叠的 条评论
为什么被折叠?



