题目描述:
输入两个链表,找出它们的第一个公共节点。
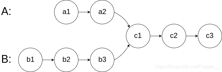
如下面的两个链表:

在节点 c1 开始相交。
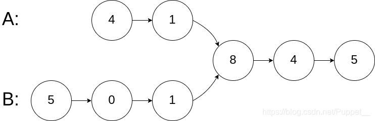
示例 1:

输入:intersectVal = 8, listA = [4,1,8,4,5], listB = [5,0,1,8,4,5], skipA = 2, skipB = 3
输出:Reference of the node with value = 8
输入解释:相交节点的值为 8 (注意,如果两个列表相交则不能为 0)。从各自的表头开始算起,链表 A 为 [4,1,8,4,5],链表 B 为 [5,0,1,8,4,5]。在 A 中,相交节点前有 2 个节点;在 B 中,相交节点前有 3 个节点。
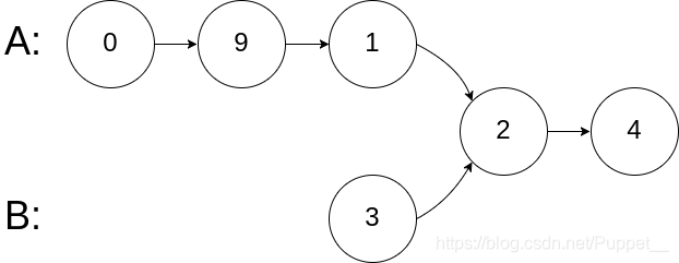
示例 2:

输入:intersectVal = 2, listA = [0,9,1,2,4], listB = [3,2,4], skipA = 3, skipB = 1
输出:Reference of the node with value = 2
输入解释:相交节点的值为 2 (注意,如果两个列表相交则不能为 0)。从各自的表头开始算起,链表 A 为 [0,9,1,2,4],链表 B 为 [3,2,4]。在 A 中,相交节点前有 3 个节点;在 B 中,相交节点前有 1 个节点。
示例 3:

输入:intersectVal = 0, listA = [2,6,4], listB = [1,5], skipA = 3, skipB = 2
输出:null
输入解释:从各自的表头开始算起,链表 A 为 [2,6,4],链表 B 为 [1,5]。由于这两个链表不相交,所以 intersectVal 必须为 0,而 skipA 和 skipB 可以是任意值。
解释:这两个链表不相交,因此返回 null。
注意:
如果两个链表没有交点,返回 null.
在返回结果后,两个链表仍须保持原有的结构。
可假定整个链表结构中没有循环。
程序尽量满足 O(n) 时间复杂度,且仅用 O(1) 内存。
代码:
public class Solution {
//双指针,假设两个链表交集部分长度为c,headA除了交集长度为a,headB除了交集长度为b
//若有交集:a+c+b = b+c+a
//没有交集:a+b = b+a
//两者不断去对方的轨迹中找寻共性,因为它们终会相遇
//本就会相遇的人注定会相遇
//时间复杂度O(N + M) 空间复杂度O(1)
public ListNode getIntersectionNode(ListNode headA, ListNode headB) {
if(headA == null || headB == null){
return null;
}
ListNode h1 = headA, h2 = headB;
while(h1 != h2){
h1 = h1 == null ? headB : h1.next;
h2 = h2 == null ? headA : h2.next;
}
return h1;
}
}

该博客介绍了一种使用双指针法解决寻找两个链表交点问题的算法。通过同时遍历两个链表,当两个指针相遇时,即可找到交点。此算法的时间复杂度为O(n+m),空间复杂度为O(1)。
5842

被折叠的 条评论
为什么被折叠?



