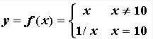
本题目要求计算下列分段函数f(x)的值:

输入格式:
输入在一行中给出实.数x。
输出格式:
在一行中按“f(x) = result”的.格式输出,其中x与result都保留一位小数。
输入样例1:
10
输出样例.1:
f(10.0) = 0.1
输入样例2:
234
输出样例2:
f(234.0) = 234.0
#include <stdio.h>
int main()
{
double x,y;
scanf("%lf",&x);
if(x!=10)y=x;
else y=1.0/x;
printf("f(%.1f) = %.1f",x,y);
}
本文介绍了一个简单的C语言程序,用于计算特定分段函数f(x)的值。输入为实数x,程序根据x的值输出相应的函数计算结果,保留一位小数。
1382

被折叠的 条评论
为什么被折叠?



