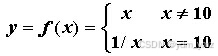
本题目要求计算下列分段函数f(x)的值:

输入格式:
输入在一行中给出实数x。
输出格式:
在一行中按“f(x) = result”的格式输出,其中x与result都保留一位小数。
输入样例1:
10
输出样例1:
f(10.0) = 0.1
输入样例2:
234
输出样例2:
f(234.0) = 234.0
#define _CRT_SECURE_NO_WARNINGS 1
#include&
本题目要求计算下列分段函数f(x)的值:

输入格式:
输入在一行中给出实数x。
输出格式:
在一行中按“f(x) = result”的格式输出,其中x与result都保留一位小数。
输入样例1:
10
输出样例1:
f(10.0) = 0.1
输入样例2:
234
输出样例2:
f(234.0) = 234.0
#define _CRT_SECURE_NO_WARNINGS 1
#include&
275

被折叠的 条评论
为什么被折叠?