✅作者简介:热爱科研的Matlab仿真开发者,擅长数据处理、建模仿真、程序设计、完整代码获取、论文复现及科研仿真。
🍎 往期回顾关注个人主页:Matlab科研工作室
🍊个人信条:格物致知,完整Matlab代码及仿真咨询内容私信。
🔥 内容介绍
目标检测作为计算机视觉领域的核心任务之一,旨在识别图像或视频中特定对象的位置和类别。随着人工智能和机器学习技术的飞速发展,目标检测在安防监控、自动驾驶、医学影像分析、工业质检等众多领域展现出巨大的应用潜力。本文将深入探讨使用二元分类器进行目标检测的关键技术,重点分析模板匹配、梯度直方图(HOG)特征以及级联目标检测器在这一过程中的原理、应用与发展。
一、 目标检测的基石:二元分类器
在目标检测的语境中,二元分类器扮演着至关重要的角色。它本质上是一个能够区分两个类别的模型,通常是“目标”(前景)与“非目标”(背景)。这种分类器通常通过学习大量的标注数据来构建,其目标是找到一个最优的决策边界,从而有效地将这两类样本区分开来。常见的二元分类器包括支持向量机(SVM)、逻辑回归、决策树等。在目标检测的早期阶段,研究人员常将滑动窗口与二元分类器相结合。即,通过在图像上以不同尺寸和步长滑动一个窗口,对每个窗口内的区域进行特征提取,然后利用二元分类器判断该区域是否包含目标。这种方法虽然直观,但在处理多尺度和多姿态目标时效率较低,且容易产生大量的冗余检测。
二、 传统方法之一:模板匹配
模板匹配是目标检测领域一种相对简单直观的方法,尤其适用于待检测目标外观变化不大的场景。其基本原理是:给定一个预设的模板图像(即目标对象的样本),在较大的搜索图像中寻找与该模板最相似的区域。相似度度量通常采用相关系数、平方差和等指标。例如,归一化相关系数(NCC)是一种常用的相似度度量,它对光照变化具有一定的鲁棒性。
模板匹配的优点在于其概念简单、易于实现,且在特定条件下(如目标外观固定、无形变)可以取得良好的效果。然而,其局限性也显而易见:
- 对形变和尺度变化的敏感性:
模板匹配对目标对象的尺寸、旋转、姿态等变化非常敏感。即使目标稍有形变,匹配效果也会急剧下降。
- 对光照变化的鲁棒性差:
虽然一些相似度度量(如NCC)在一定程度上能抵抗光照变化,但剧烈的光照变化仍会严重影响匹配结果。
- 计算复杂度高:
在大尺寸图像中搜索多个模板时,模板匹配的计算量可能非常大。
- 无法处理非刚性目标:
对于人脸、动物等非刚性目标,由于其形态多变,模板匹配难以有效应用。
尽管存在这些局限性,模板匹配在某些特定场景,如检测电路板上的特定元件、识别简单的Logo等,仍具有一定的应用价值。
三、 特征描述子的进步:梯度直方图(HOG)
为了克服模板匹配的局限性,研究人员开始转向更加鲁棒的特征描述子。梯度直方图(Histogram of Oriented Gradients, HOG)是其中最具代表性的方法之一,由Dalal和Triggs于2005年提出,并成功应用于行人检测。HOG特征的核心思想是:局部目标的形状和外观可以由图像局部区域的梯度或边缘方向的分布来描述。
HOG特征的提取过程主要包括以下步骤:
- 预处理:
对图像进行伽马校正和灰度化,以减少光照变化对梯度的影响。
- 计算梯度:
计算图像中每个像素点的梯度幅值和方向。梯度能够捕捉图像的边缘信息和纹理细节。
- 构建方向直方图:
将图像划分为小的单元格(Cell),在每个单元格内,统计像素点的梯度方向,并将其累积到一个方向直方图中。通常将360度的梯度方向划分为若干个bin(例如9个bin)。
- 块(Block)归一化:
为了提高对光照和阴影变化的鲁棒性,将若干个相邻的单元格组合成一个更大的块(Block),对块内的所有单元格的直方图进行归一化。常用的归一化方法包括L1-norm、L2-norm等。归一化后的HOG特征具有更高的鉴别力。
- 构建特征向量:
将所有块的归一化直方图拼接起来,形成最终的HOG特征向量。
HOG特征的优点在于:
- 对光照和几何形变具有一定的鲁棒性:
梯度信息对光照变化不敏感,且直方图统计的方式能够容忍目标局部形状的微小形变。
- 捕捉边缘和纹理信息:
HOG特征能够有效地描述目标的轮廓和纹理,具有较强的鉴别力。
- 计算效率相对较高:
相较于复杂的局部特征提取器,HOG的计算量相对可控。
HOG特征通常与二元分类器(如SVM)结合使用,构建基于HOG+SVM的目标检测系统。首先,从大量的正样本(包含目标)和负样本(不包含目标)中提取HOG特征;然后,使用这些特征训练一个SVM分类器,使其能够区分目标和非目标;最后,在测试图像上,通过滑动窗口提取HOG特征,并利用训练好的SVM进行分类,从而实现目标检测。HOG在行人检测领域取得了里程碑式的进展,为后续的特征工程和深度学习奠定了基础。
四、 效率与准确的权衡:级联目标检测
尽管HOG特征结合SVM在目标检测方面取得了显著成功,但滑动窗口的检测方式仍然面临计算效率低的问题,尤其是在处理大规模图像和视频时。为了解决这一挑战,Paul Viola和Michael Jones于2001年提出了革命性的Viola-Jones目标检测框架,该框架的核心是级联分类器(Cascade Classifier),它极大地提高了目标检测的效率。
级联分类器的主要思想是:构建一个多阶段的分类器序列,每个阶段都由一个简单的二元分类器组成。在每个阶段,分类器会快速排除大部分背景区域,只将那些“可能”包含目标的区域传递给下一阶段的分类器进行更精细的判断。这样,大部分的背景区域在早期阶段就被过滤掉,从而显著降低了整体的计算量。
Viola-Jones框架的特点包括:
- Haar特征:
该框架使用Haar特征作为图像的表示,而不是像素值。Haar特征是一种矩形区域像素和的差值,能够高效地计算图像中的边缘、线段等结构信息。通过积分图(Integral Image)技术,Haar特征的计算可以在常数时间内完成,极大地加速了特征提取过程。
- Adaboost训练:
级联分类器中的每个弱分类器都通过Adaboost算法进行训练。Adaboost算法能够从大量的Haar特征中选择最具鉴别力的特征,并为每个弱分类器分配权重,最终组合成一个强分类器。
- 级联结构:
这是该框架最核心的部分。训练过程中,首先训练一个简单的弱分类器,使其能够以较高的召回率(允许一定程度的误报)识别目标。然后,将通过第一阶段分类器的样本作为第二阶段的输入,训练一个更复杂的分类器,并依次进行。每个阶段的分类器都会过滤掉大部分的背景区域,只有那些通过所有阶段的区域才被最终判定为目标。
级联目标检测的优点在于:
- 检测速度快:
由于大部分背景区域在早期阶段就被快速剔除,级联结构显著提高了检测效率,使其能够满足实时性要求。
- 准确率高:
通过Adaboost算法选择最具鉴别力的特征,并逐级精细筛选,使得级联分类器在保证高召回率的同时,也能有效降低误报率。
- 鲁棒性好:
Haar特征对光照变化和噪声具有一定的鲁棒性。
Viola-Jones框架及其级联分类器在人脸检测领域取得了巨大的成功,成为当时最具代表性的实时人脸检测系统,并被广泛应用于数码相机、手机等设备中。它的成功不仅在于提供了一种高效的目标检测方法,更重要的是开启了基于弱分类器组合构建强分类器的研究方向,为后来的机器学习和深度学习算法提供了重要的启示。
五、 总结与展望
本文对使用二元分类器进行目标检测的三种主要方法——模板匹配、梯度直方图(HOG)和级联目标检测器进行了深入探讨。从最初简单的模板匹配,到特征描述子HOG的引入,再到级联分类器在效率上的突破,我们可以清晰地看到目标检测技术在不断演进。这些传统方法虽然在某些方面存在局限性,但它们为后续深度学习时代的目标检测算法奠定了坚实的基础,并提供了重要的设计思想和优化策略。
进入21世纪第二个十年,随着计算能力的提升和大规模标注数据集的出现,深度学习技术在目标检测领域取得了前所未有的突破。以卷积神经网络(CNN)为代表的深度学习模型,通过端到端的学习方式,能够自动提取出具有更强表达能力和鲁棒性的特征,并直接预测目标的位置和类别。诸如R-CNN、Fast R-CNN、Faster R-CNN、YOLO(You Only Look Once)和SSD(Single Shot MultiBox Detector)等一系列先进的深度学习目标检测算法,在检测精度和速度上都远远超越了传统方法。
尽管深度学习已成为目标检测的主流,但对传统方法的理解仍然具有重要意义。它们不仅是深度学习算法的灵感来源,其设计理念和优化技巧在特定场景下仍具有参考价值。例如,HOG特征在一些资源受限的嵌入式设备上仍有应用空间;而级联的思想,也被一些深度学习模型借鉴,以提高推理效率。
未来,目标检测技术将继续朝着更高精度、更快速度、更强鲁棒性的方向发展。在实际应用中,如何将深度学习的强大能力与传统方法的优点相结合,如何在小样本、弱监督甚至无监督的场景下进行目标检测,以及如何在边缘设备上实现高效的目标检测,都将是值得深入研究的重要课题。同时,随着多模态数据(如RGB图像、深度图、雷达数据)的融合应用,目标检测将迈向更加智能和全面的新阶段。
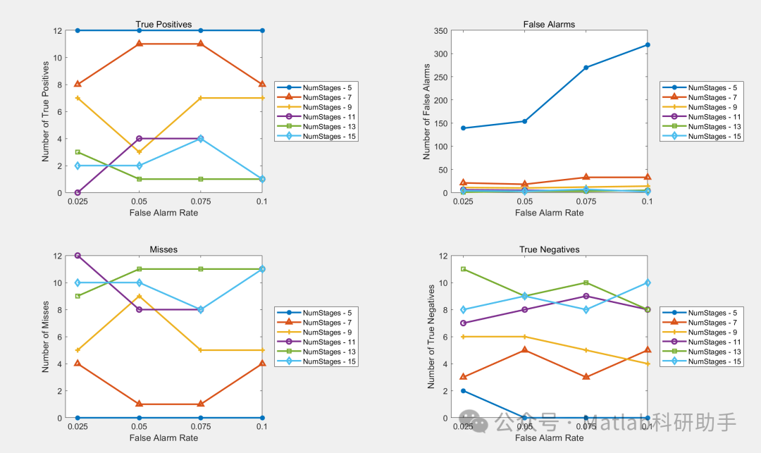
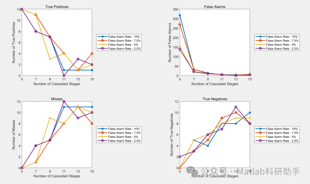
⛳️ 运行结果




🔗 参考文献
[1] 孔祥宇.斑马线不礼让行人行为智能检测技术研究[D].大连海事大学,2022.
[2] 甘俊英,陈银河,高建虎.基于加权直方图和均值漂移的实时跟踪算法[J].计算机仿真, 2008, 25(11):4.DOI:10.3969/j.issn.1006-9348.2008.11.056.
[3] 李璟,刘怀愚,洪留荣.适用于遮挡车辆检测的子块带权模板匹配方法[J].计算机应用研究, 2012, 29(7):3.DOI:10.3969/j.issn.1001-3695.2012.07.096.
📣 部分代码
🎈 部分理论引用网络文献,若有侵权联系博主删除
👇 关注我领取海量matlab电子书和数学建模资料
🏆团队擅长辅导定制多种科研领域MATLAB仿真,助力科研梦:
🌈 各类智能优化算法改进及应用
生产调度、经济调度、装配线调度、充电优化、车间调度、发车优化、水库调度、三维装箱、物流选址、货位优化、公交排班优化、充电桩布局优化、车间布局优化、集装箱船配载优化、水泵组合优化、解医疗资源分配优化、设施布局优化、可视域基站和无人机选址优化、背包问题、 风电场布局、时隙分配优化、 最佳分布式发电单元分配、多阶段管道维修、 工厂-中心-需求点三级选址问题、 应急生活物质配送中心选址、 基站选址、 道路灯柱布置、 枢纽节点部署、 输电线路台风监测装置、 集装箱调度、 机组优化、 投资优化组合、云服务器组合优化、 天线线性阵列分布优化、CVRP问题、VRPPD问题、多中心VRP问题、多层网络的VRP问题、多中心多车型的VRP问题、 动态VRP问题、双层车辆路径规划(2E-VRP)、充电车辆路径规划(EVRP)、油电混合车辆路径规划、混合流水车间问题、 订单拆分调度问题、 公交车的调度排班优化问题、航班摆渡车辆调度问题、选址路径规划问题、港口调度、港口岸桥调度、停机位分配、机场航班调度、泄漏源定位
🌈 机器学习和深度学习时序、回归、分类、聚类和降维
2.1 bp时序、回归预测和分类
2.2 ENS声神经网络时序、回归预测和分类
2.3 SVM/CNN-SVM/LSSVM/RVM支持向量机系列时序、回归预测和分类
2.4 CNN|TCN|GCN卷积神经网络系列时序、回归预测和分类
2.5 ELM/KELM/RELM/DELM极限学习机系列时序、回归预测和分类
2.6 GRU/Bi-GRU/CNN-GRU/CNN-BiGRU门控神经网络时序、回归预测和分类
2.7 ELMAN递归神经网络时序、回归\预测和分类
2.8 LSTM/BiLSTM/CNN-LSTM/CNN-BiLSTM/长短记忆神经网络系列时序、回归预测和分类
2.9 RBF径向基神经网络时序、回归预测和分类
2.10 DBN深度置信网络时序、回归预测和分类
2.11 FNN模糊神经网络时序、回归预测
2.12 RF随机森林时序、回归预测和分类
2.13 BLS宽度学习时序、回归预测和分类
2.14 PNN脉冲神经网络分类
2.15 模糊小波神经网络预测和分类
2.16 时序、回归预测和分类
2.17 时序、回归预测预测和分类
2.18 XGBOOST集成学习时序、回归预测预测和分类
2.19 Transform各类组合时序、回归预测预测和分类
方向涵盖风电预测、光伏预测、电池寿命预测、辐射源识别、交通流预测、负荷预测、股价预测、PM2.5浓度预测、电池健康状态预测、用电量预测、水体光学参数反演、NLOS信号识别、地铁停车精准预测、变压器故障诊断
🌈图像处理方面
图像识别、图像分割、图像检测、图像隐藏、图像配准、图像拼接、图像融合、图像增强、图像压缩感知
🌈 路径规划方面
旅行商问题(TSP)、车辆路径问题(VRP、MVRP、CVRP、VRPTW等)、无人机三维路径规划、无人机协同、无人机编队、机器人路径规划、栅格地图路径规划、多式联运运输问题、 充电车辆路径规划(EVRP)、 双层车辆路径规划(2E-VRP)、 油电混合车辆路径规划、 船舶航迹规划、 全路径规划规划、 仓储巡逻
🌈 无人机应用方面
无人机路径规划、无人机控制、无人机编队、无人机协同、无人机任务分配、无人机安全通信轨迹在线优化、车辆协同无人机路径规划
🌈 通信方面
传感器部署优化、通信协议优化、路由优化、目标定位优化、Dv-Hop定位优化、Leach协议优化、WSN覆盖优化、组播优化、RSSI定位优化、水声通信、通信上传下载分配
🌈 信号处理方面
信号识别、信号加密、信号去噪、信号增强、雷达信号处理、信号水印嵌入提取、肌电信号、脑电信号、信号配时优化、心电信号、DOA估计、编码译码、变分模态分解、管道泄漏、滤波器、数字信号处理+传输+分析+去噪、数字信号调制、误码率、信号估计、DTMF、信号检测
🌈电力系统方面
微电网优化、无功优化、配电网重构、储能配置、有序充电、MPPT优化、家庭用电
🌈 元胞自动机方面
交通流 人群疏散 病毒扩散 晶体生长 金属腐蚀
🌈 雷达方面
卡尔曼滤波跟踪、航迹关联、航迹融合、SOC估计、阵列优化、NLOS识别
🌈 车间调度
零等待流水车间调度问题NWFSP 、 置换流水车间调度问题PFSP、 混合流水车间调度问题HFSP 、零空闲流水车间调度问题NIFSP、分布式置换流水车间调度问题 DPFSP、阻塞流水车间调度问题BFSP
👇
823

被折叠的 条评论
为什么被折叠?



