✅作者简介:热爱科研的Matlab仿真开发者,擅长数据处理、建模仿真、程序设计、完整代码获取、论文复现及科研仿真。
🍎 往期回顾关注个人主页:Matlab科研工作室
🍊个人信条:格物致知,完整Matlab代码获取及仿真咨询内容私信。
🔥 内容介绍
一、引言:复杂裂缝试井 —— 页岩油藏开发的核心诊断需求
页岩油藏作为典型的超低渗透储层(基质渗透率通常低于 0.1mD),需通过多级水力压裂形成人工裂缝网络实现商业开发。现场实践表明,压裂后井筒附近形成 “主裂缝 - 分支缝 - 天然裂缝” 耦合的复杂缝网系统,而非理想的单一平面裂缝 —— 这类缝网的几何形态、导流能力分布直接决定油井产能与开发效率。
试井分析作为评估储层与裂缝参数的核心手段,面临两大现实挑战:一是复杂裂缝的表征难题—— 人工主裂缝的非均质性(如缝宽沿程衰减)、分支缝的随机分布及天然裂缝的交叉切割,导致传统双线性流模型的理想裂缝假设不再成立;二是渗流场的多尺度耦合特性—— 流体需经历 “基质孔隙→天然裂缝→分支缝→主裂缝→井筒” 的多段流动,各环节的渗流阻力差异显著,单一渗流模型难以精准描述。
传统试井模型存在明显局限性:基于单一平面裂缝的线源模型无法反映缝网的三维扩展特性;全数值模拟虽能描述复杂形态,但计算效率低(单组参数反演需数小时),难以满足矿场实时解释需求;而半解析模型通过解析解描述主要渗流阶段、数值解处理局部复杂边界,兼顾了计算效率与物理精度。本文基于三线性流理论与双重介质等效方法,构建考虑主裂缝非均质性、分支缝分布及天然裂缝贡献的多级裂缝水平井半解析试井模型,通过现场实例验证其在参数反演中的准确性与实用性。
二、复杂裂缝系统的物理表征与渗流基础
(一)复杂裂缝的几何与物性表征
1. 多级裂缝系统的分层描述
复杂裂缝系统采用 “三级结构” 表征体系(图 1),适配水力压裂的实际造缝特征:
- 一级结构:人工主裂缝:沿水平井筒分段分布,每段包含 1-5 簇主裂缝,缝长 100-300m,导流能力 100-500mD・m,缝宽呈指数衰减(井口端宽 2-5mm,尖端宽 < 0.5mm);
- 二级结构:分支缝:从主裂缝侧向延伸,长度 10-50m,导流能力 20-80mD・m,分布密度随主裂缝距离增加而降低;
- 三级结构:天然裂缝:储层原生裂缝,受压裂诱导扩展,形成网络状分布,等效渗透率 5-20mD,孔隙度 2%-5%。

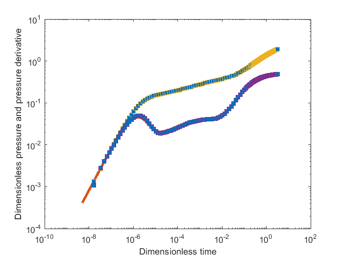
⛳️ 运行结果

📣 部分代码
function [pDij,qDij,pcross,pwD,pwDnp,data]=Spin_off(x,data,f_object)
if any(data)==0
data=zeros(1,length(x));
end
data=[data;reshape(x,1,[])];
for i =1:length(f_object);wgs(i)=f_object(i).wg;end
wgss=sum(wgs);
pDij=data(:,1:wgss);
qDij=data(:,wgss+1:2*wgss);
pcross=data(:,(2*wgss+1):(length(x)-2));
pwD=data(:,end-1);
pwDnp=data(:,end);
end
🔗 参考文献
[1]李建明,徐健,刘宝华,等.三重介质试井模型在塔东碳酸盐岩气藏中的应用[J].油气井测试, 2017, 26(1):4.DOI:10.3969/j.issn.1004-4388.2017.01.010.
🎈 部分理论引用网络文献,若有侵权联系博主删除
👇 关注我领取海量matlab电子书和数学建模资料
🏆团队擅长辅导定制多种科研领域MATLAB仿真,助力科研梦:
🌟 各类智能优化算法改进及应用
生产调度、经济调度、装配线调度、充电优化、车间调度、发车优化、水库调度、三维装箱、物流选址、货位优化、公交排班优化、充电桩布局优化、车间布局优化、集装箱船配载优化、水泵组合优化、解医疗资源分配优化、设施布局优化、可视域基站和无人机选址优化、背包问题、 风电场布局、时隙分配优化、 最佳分布式发电单元分配、多阶段管道维修、 工厂-中心-需求点三级选址问题、 应急生活物质配送中心选址、 基站选址、 道路灯柱布置、 枢纽节点部署、 输电线路台风监测装置、 集装箱调度、 机组优化、 投资优化组合、云服务器组合优化、 天线线性阵列分布优化、CVRP问题、VRPPD问题、多中心VRP问题、多层网络的VRP问题、多中心多车型的VRP问题、 动态VRP问题、双层车辆路径规划(2E-VRP)、充电车辆路径规划(EVRP)、油电混合车辆路径规划、混合流水车间问题、 订单拆分调度问题、 公交车的调度排班优化问题、航班摆渡车辆调度问题、选址路径规划问题、港口调度、港口岸桥调度、停机位分配、机场航班调度、泄漏源定位、冷链、时间窗、多车场等、选址优化、港口岸桥调度优化、交通阻抗、重分配、停机位分配、机场航班调度、通信上传下载分配优化
🌟 机器学习和深度学习时序、回归、分类、聚类和降维
2.1 bp时序、回归预测和分类
2.2 ENS声神经网络时序、回归预测和分类
2.3 SVM/CNN-SVM/LSSVM/RVM支持向量机系列时序、回归预测和分类
2.4 CNN|TCN|GCN卷积神经网络系列时序、回归预测和分类
2.5 ELM/KELM/RELM/DELM极限学习机系列时序、回归预测和分类
2.6 GRU/Bi-GRU/CNN-GRU/CNN-BiGRU门控神经网络时序、回归预测和分类
2.7 ELMAN递归神经网络时序、回归\预测和分类
2.8 LSTM/BiLSTM/CNN-LSTM/CNN-BiLSTM/长短记忆神经网络系列时序、回归预测和分类
2.9 RBF径向基神经网络时序、回归预测和分类
2.10 DBN深度置信网络时序、回归预测和分类
2.11 FNN模糊神经网络时序、回归预测
2.12 RF随机森林时序、回归预测和分类
2.13 BLS宽度学习时序、回归预测和分类
2.14 PNN脉冲神经网络分类
2.15 模糊小波神经网络预测和分类
2.16 时序、回归预测和分类
2.17 时序、回归预测预测和分类
2.18 XGBOOST集成学习时序、回归预测预测和分类
2.19 Transform各类组合时序、回归预测预测和分类
方向涵盖风电预测、光伏预测、电池寿命预测、辐射源识别、交通流预测、负荷预测、股价预测、PM2.5浓度预测、电池健康状态预测、用电量预测、水体光学参数反演、NLOS信号识别、地铁停车精准预测、变压器故障诊断
🌟图像处理方面
图像识别、图像分割、图像检测、图像隐藏、图像配准、图像拼接、图像融合、图像增强、图像压缩感知
🌟 路径规划方面
旅行商问题(TSP)、车辆路径问题(VRP、MVRP、CVRP、VRPTW等)、无人机三维路径规划、无人机协同、无人机编队、机器人路径规划、栅格地图路径规划、多式联运运输问题、 充电车辆路径规划(EVRP)、 双层车辆路径规划(2E-VRP)、 油电混合车辆路径规划、 船舶航迹规划、 全路径规划规划、 仓储巡逻、公交车时间调度、水库调度优化、多式联运优化
🌟 无人机应用方面
无人机路径规划、无人机控制、无人机编队、无人机协同、无人机任务分配、无人机安全通信轨迹在线优化、车辆协同无人机路径规划、
🌟 通信方面
传感器部署优化、通信协议优化、路由优化、目标定位优化、Dv-Hop定位优化、Leach协议优化、WSN覆盖优化、组播优化、RSSI定位优化、水声通信、通信上传下载分配
🌟 信号处理方面
信号识别、信号加密、信号去噪、信号增强、雷达信号处理、信号水印嵌入提取、肌电信号、脑电信号、信号配时优化、心电信号、DOA估计、编码译码、变分模态分解、管道泄漏、滤波器、数字信号处理+传输+分析+去噪、数字信号调制、误码率、信号估计、DTMF、信号检测
🌟电力系统方面
微电网优化、无功优化、配电网重构、储能配置、有序充电、MPPT优化、家庭用电、电/冷/热负荷预测、电力设备故障诊断、电池管理系统(BMS)SOC/SOH估算(粒子滤波/卡尔曼滤波)、 多目标优化在电力系统调度中的应用、光伏MPPT控制算法改进(扰动观察法/电导增量法)、电动汽车充放电优化、微电网日前日内优化、储能优化、家庭用电优化、供应链优化
🌟 元胞自动机方面
交通流 人群疏散 病毒扩散 晶体生长 金属腐蚀
🌟 雷达方面
卡尔曼滤波跟踪、航迹关联、航迹融合、SOC估计、阵列优化、NLOS识别
🌟 车间调度
零等待流水车间调度问题NWFSP 、 置换流水车间调度问题PFSP、 混合流水车间调度问题HFSP 、零空闲流水车间调度问题NIFSP、分布式置换流水车间调度问题 DPFSP、阻塞流水车间调度问题BFSP
👇
748

被折叠的 条评论
为什么被折叠?



