✅作者简介:热爱科研的Matlab仿真开发者,擅长数据处理、建模仿真、程序设计、完整代码获取、论文复现及科研仿真。
🍎 往期回顾关注个人主页:Matlab科研工作室
🍊个人信条:格物致知,完整Matlab代码及仿真咨询内容私信。
🔥 内容介绍
四杆连杆机构作为机械系统中最经典的传动与运动转换机构之一,广泛应用于汽车、机床、机器人、工程机械等领域。其核心由机架、输入杆(原动件)、输出杆(从动件)和连杆四个刚性构件通过转动副连接组成,通过输入杆的定轴转动或往复摆动,带动连杆与输出杆运动,实现特定的轨迹生成、运动传递或力放大功能。例如,汽车发动机中的曲柄连杆机构(四杆机构变体)将活塞的往复直线运动转化为曲轴的旋转运动;机械手上的四杆机构则可实现末端执行器的精准姿态调整。
传统四杆机构分析中,通常假设所有构件为绝对刚性,即运动过程中构件无变形,仅需通过几何关系(如杆长、角度)计算各构件的位置、速度与加速度,这种简化模型在低速、轻载或对精度要求较低的场景中可满足需求。但在高速运转(如高速冲床、航空发动机传动机构)、重载工况(如矿山机械连杆)或高精度控制场景(如精密机器人)中,构件的弹性变形不可忽视 —— 刚性假设下的分析误差会显著增大,甚至导致机构运动精度下降、振动噪声加剧、疲劳寿命缩短,严重时可能引发机构失效。
因此,弹性连杆的四杆机构分析成为机械动力学领域的重要研究方向:通过考虑连杆的弹性变形,建立更贴合实际工况的动力学模型,揭示弹性变形对机构运动特性、动力特性的影响,为机构的优化设计、振动控制与精度提升提供理论支撑。
弹性连杆对四杆机构特性的核心影响
1. 运动精度偏差:从 “理论轨迹” 到 “实际轨迹” 的偏移
刚性四杆机构的运动轨迹由杆长比严格确定,例如曲柄摇杆机构中,摇杆的摆动角度、角速度变化完全可通过几何关系精确计算。但当连杆存在弹性时,在运动惯性力、载荷力的作用下,连杆会产生弯曲、扭转或拉伸变形,导致构件的实际长度与理论长度出现偏差,进而引发运动轨迹偏移与位置误差。
以曲柄连杆机构为例:当曲轴(输入杆)高速旋转时,连杆受到的惯性力随转速平方增大,若连杆为弹性构件,其杆长会因拉伸 / 压缩变形发生动态变化,导致活塞(相当于输出构件)的上止点、下止点位置出现波动,且波动幅度随转速升高而增大。这种偏差会造成发动机气缸压缩比不稳定,影响燃烧效率;同时,活塞与气缸壁的间隙可能因位置偏移减小,增加磨损风险。
此外,弹性变形的动态特性(如变形滞后)会进一步加剧运动误差:当机构运动方向改变时(如曲柄从加速段进入减速段),连杆的弹性变形恢复速度滞后于运动状态变化,导致输出端运动出现 “过冲” 或 “滞后” 现象,例如机器人末端执行器在轨迹跟踪时出现 “抖动”,无法精准到达目标位置。
2. 动力学特性耦合:变形与运动的相互作用
弹性连杆的引入打破了刚性机构 “运动与力独立计算” 的简化关系,形成运动 - 变形 - 力的耦合效应:机构的运动状态(速度、加速度)决定了惯性力的大小与分布,而惯性力又引发连杆弹性变形;变形后的连杆几何参数变化反过来改变机构的运动传递关系,进而影响力的分布与传递效率。这种耦合效应使弹性四杆机构的动力学分析远复杂于刚性机构。
从力学本质来看,弹性连杆的变形属于弹性体振动问题:连杆可视为连续弹性梁(或杆),其振动模态(如一阶弯曲模态、二阶弯曲模态)会在机构运动过程中被激发。当机构的运动频率(如输入杆的角速度对应的基频)接近连杆的固有频率时,会发生共振现象—— 此时连杆变形幅度急剧增大,不仅严重破坏运动精度,还可能产生巨大的动应力,导致连杆疲劳断裂。
例如,高速冲床的四杆冲压机构中,若冲头往复运动频率接近连杆的一阶固有频率,会出现 “冲压力骤增”“机身剧烈振动” 的现象,既影响冲压件精度,又缩短冲床使用寿命。因此,弹性四杆机构分析中,必须同时考虑 “刚体运动” 与 “弹性振动” 的耦合,避免共振风险。
3. 动应力与疲劳寿命:弹性变形的力学代价
刚性机构假设下,构件的应力仅由静态载荷或匀速运动时的力传递计算得出;而弹性连杆在运动过程中,除了承受静载荷(如构件自重、工作载荷),还会因弹性振动产生动态附加应力—— 这种动应力的幅值可能远大于静应力,成为构件疲劳破坏的主要诱因。
以工程机械中的四杆举升机构为例:当举升臂(连杆)带动重物上升时,若举升速度突然变化(如启动、制动瞬间),连杆会因惯性力产生瞬时弹性变形,导致杆内产生冲击性动应力;而在重物下降过程中,连杆可能因 “弹性回弹” 出现反复弯曲,形成交变动应力。长期作用下,交变动应力会在连杆的薄弱部位(如转动副连接处、截面突变处)产生疲劳裂纹,最终引发断裂失效。
因此,弹性连杆的四杆机构分析需通过动力学建模计算构件的动态应力分布,结合材料的疲劳特性(如 S-N 曲线),预测机构的疲劳寿命,为连杆的结构优化(如增加过渡圆角、优化截面尺寸)与使用维护(如定期检测裂纹)提供依据。
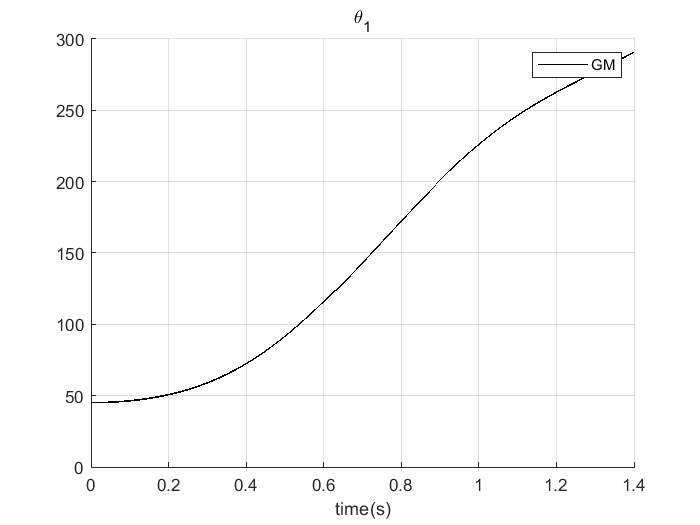
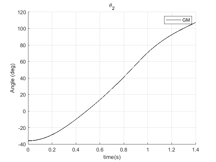
⛳️ 运行结果




📣 部分代码
global m1 m2 m3 l1 l2 l3 l4 g A_1 A_2 A_3 E1 E2 E3 I1 I2 I3 Rho1 Rho2 Rho3
q=Z(1:12); dq=Z(13:24);
q1=q(1); q2=q(2); q3=q(3);
q4=q(4); q5=q(5); q6=q(6);
q7=q(7); q8=q(8); q9=q(9);
q10=q(10); q11=q(11); q12=q(12);
dq1=dq(1);
dq2=dq(2);
dq3=dq(3);
dq4=dq(4);
dq5=dq(5);
dq6=dq(6);
dq7=dq(7);
dq8=dq(8);
dq9=dq(9);
dq10=dq(10);
dq11=dq(11);
dq12=dq(12);
M = Mfunc(A_1,A_2,A_3,Rho1,Rho2,Rho3,l1,l2,l3,q1,q2,q4,q5,q6,q7,q8,q9,q10,q11,q12);
H = Hfunc(A_1,A_2,A_3,E1,E2,E3,I1,I2,I3,Rho1,Rho2,Rho3,dq1,dq2,dq3,dq4,dq5,dq6,dq7,dq8,dq9,dq10,dq
🔗 参考文献
[1]薛艳敏,刘云霞.基于Matlab和VB的连杆机构动力学可视化仿真应用[J].机械科学与技术, 2005, 24(4):3.DOI:10.3321/j.issn:1003-8728.2005.04.035.
🎈 部分理论引用网络文献,若有侵权联系博主删除
👇 关注我领取海量matlab电子书和数学建模资料
🏆团队擅长辅导定制多种科研领域MATLAB仿真,助力科研梦:
🌟 各类智能优化算法改进及应用
生产调度、经济调度、装配线调度、充电优化、车间调度、发车优化、水库调度、三维装箱、物流选址、货位优化、公交排班优化、充电桩布局优化、车间布局优化、集装箱船配载优化、水泵组合优化、解医疗资源分配优化、设施布局优化、可视域基站和无人机选址优化、背包问题、 风电场布局、时隙分配优化、 最佳分布式发电单元分配、多阶段管道维修、 工厂-中心-需求点三级选址问题、 应急生活物质配送中心选址、 基站选址、 道路灯柱布置、 枢纽节点部署、 输电线路台风监测装置、 集装箱调度、 机组优化、 投资优化组合、云服务器组合优化、 天线线性阵列分布优化、CVRP问题、VRPPD问题、多中心VRP问题、多层网络的VRP问题、多中心多车型的VRP问题、 动态VRP问题、双层车辆路径规划(2E-VRP)、充电车辆路径规划(EVRP)、油电混合车辆路径规划、混合流水车间问题、 订单拆分调度问题、 公交车的调度排班优化问题、航班摆渡车辆调度问题、选址路径规划问题、港口调度、港口岸桥调度、停机位分配、机场航班调度、泄漏源定位、冷链、时间窗、多车场等、选址优化、港口岸桥调度优化、交通阻抗、重分配、停机位分配、机场航班调度、通信上传下载分配优化
🌟 机器学习和深度学习时序、回归、分类、聚类和降维
2.1 bp时序、回归预测和分类
2.2 ENS声神经网络时序、回归预测和分类
2.3 SVM/CNN-SVM/LSSVM/RVM支持向量机系列时序、回归预测和分类
2.4 CNN|TCN|GCN卷积神经网络系列时序、回归预测和分类
2.5 ELM/KELM/RELM/DELM极限学习机系列时序、回归预测和分类
2.6 GRU/Bi-GRU/CNN-GRU/CNN-BiGRU门控神经网络时序、回归预测和分类
2.7 ELMAN递归神经网络时序、回归\预测和分类
2.8 LSTM/BiLSTM/CNN-LSTM/CNN-BiLSTM/长短记忆神经网络系列时序、回归预测和分类
2.9 RBF径向基神经网络时序、回归预测和分类
2.10 DBN深度置信网络时序、回归预测和分类
2.11 FNN模糊神经网络时序、回归预测
2.12 RF随机森林时序、回归预测和分类
2.13 BLS宽度学习时序、回归预测和分类
2.14 PNN脉冲神经网络分类
2.15 模糊小波神经网络预测和分类
2.16 时序、回归预测和分类
2.17 时序、回归预测预测和分类
2.18 XGBOOST集成学习时序、回归预测预测和分类
2.19 Transform各类组合时序、回归预测预测和分类
方向涵盖风电预测、光伏预测、电池寿命预测、辐射源识别、交通流预测、负荷预测、股价预测、PM2.5浓度预测、电池健康状态预测、用电量预测、水体光学参数反演、NLOS信号识别、地铁停车精准预测、变压器故障诊断
🌟图像处理方面
图像识别、图像分割、图像检测、图像隐藏、图像配准、图像拼接、图像融合、图像增强、图像压缩感知
🌟 路径规划方面
旅行商问题(TSP)、车辆路径问题(VRP、MVRP、CVRP、VRPTW等)、无人机三维路径规划、无人机协同、无人机编队、机器人路径规划、栅格地图路径规划、多式联运运输问题、 充电车辆路径规划(EVRP)、 双层车辆路径规划(2E-VRP)、 油电混合车辆路径规划、 船舶航迹规划、 全路径规划规划、 仓储巡逻、公交车时间调度、水库调度优化、多式联运优化
🌟 无人机应用方面
无人机路径规划、无人机控制、无人机编队、无人机协同、无人机任务分配、无人机安全通信轨迹在线优化、车辆协同无人机路径规划、
🌟 通信方面
传感器部署优化、通信协议优化、路由优化、目标定位优化、Dv-Hop定位优化、Leach协议优化、WSN覆盖优化、组播优化、RSSI定位优化、水声通信、通信上传下载分配
🌟 信号处理方面
信号识别、信号加密、信号去噪、信号增强、雷达信号处理、信号水印嵌入提取、肌电信号、脑电信号、信号配时优化、心电信号、DOA估计、编码译码、变分模态分解、管道泄漏、滤波器、数字信号处理+传输+分析+去噪、数字信号调制、误码率、信号估计、DTMF、信号检测
🌟电力系统方面
微电网优化、无功优化、配电网重构、储能配置、有序充电、MPPT优化、家庭用电、电/冷/热负荷预测、电力设备故障诊断、电池管理系统(BMS)SOC/SOH估算(粒子滤波/卡尔曼滤波)、 多目标优化在电力系统调度中的应用、光伏MPPT控制算法改进(扰动观察法/电导增量法)、电动汽车充放电优化、微电网日前日内优化、储能优化、家庭用电优化、供应链优化
🌟 元胞自动机方面
交通流 人群疏散 病毒扩散 晶体生长 金属腐蚀
🌟 雷达方面
卡尔曼滤波跟踪、航迹关联、航迹融合、SOC估计、阵列优化、NLOS识别
🌟 车间调度
零等待流水车间调度问题NWFSP 、 置换流水车间调度问题PFSP、 混合流水车间调度问题HFSP 、零空闲流水车间调度问题NIFSP、分布式置换流水车间调度问题 DPFSP、阻塞流水车间调度问题BFSP
👇
871

被折叠的 条评论
为什么被折叠?



