✅作者简介:热爱科研的Matlab仿真开发者,擅长数据处理、建模仿真、程序设计、完整代码获取、论文复现及科研仿真。
🍎 往期回顾关注个人主页:Matlab科研工作室
🍊个人信条:格物致知,完整Matlab代码及仿真咨询内容私信。
🔥 内容介绍
在地下资源勘探(如矿产资源普查、地下水探测)、工程地质勘察(如溶洞与断层识别)等领域,时域电磁法(Time-Domain Electromagnetic Method, TDEM) 凭借 “对低阻介质敏感、探测深度大、受地形影响小” 的优势,成为主流地球物理勘探技术。中心环路 TDEM 作为典型观测方式(发射与接收线圈共心布置),通过向地下发射脉冲电流、测量二次感应磁场衰减曲线,反推地下介质的电性参数(电阻率
ρ
、厚度
h
)。然而,TDEM 数据反演本质是 “非线性病态问题”—— 正演模型复杂(电磁扩散方程求解困难)、观测数据含噪声、反演参数多(多层介质),传统反演方法(如最小二乘法、梯度下降法)易陷入局部最优,导致反演结果与实际地质结构偏差较大。
花朵授粉算法(Flower Pollination Algorithm, FPA) 作为一种模拟自然界花朵授粉过程的元启发式优化算法,具有 “全局寻优能力强、参数设置少、收敛速度快” 的特点,可有效突破局部最优陷阱。本文将从 TDEM 探空数据反演原理出发,系统构建 “FPA 算法 + TDEM 正演模型” 的反演框架,涵盖数据预处理、FPA 反演建模、结果验证全流程,为高精度地下介质参数反演提供技术支撑。


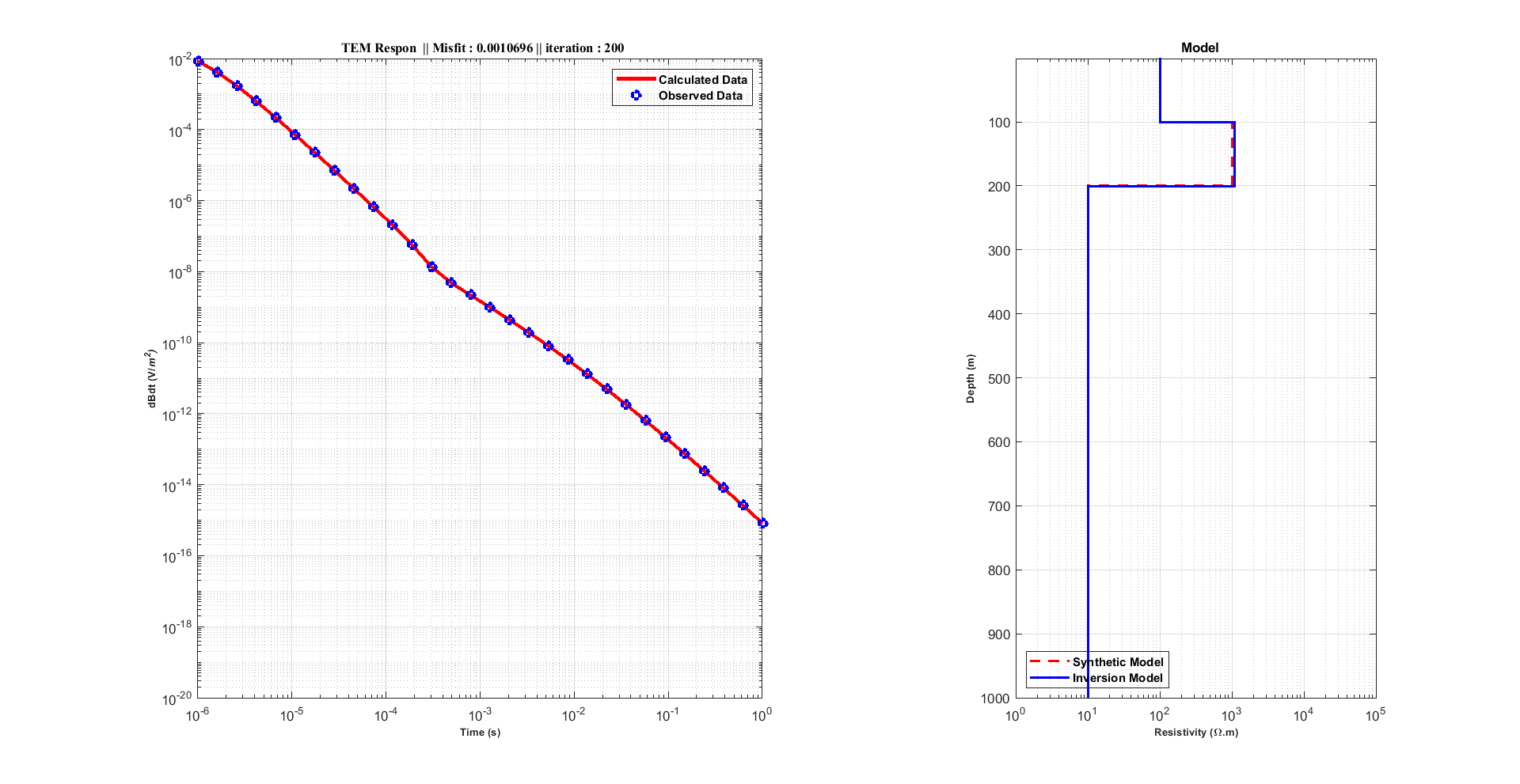
⛳️ 运行结果


📣 部分代码
I=1;
R = [100 1000 10];
thk = [100 100];
%Pehitungan data sintetik
TEM_sin =fwd_TEM(R,thk,t,a,I);
%Data Latihan
%t = [ 0.00004007 0.0001011 0.0001621 0.0002378 0.0003601 0.000527 0.0008145 0.001558];
%TEM_sin = [ 0.0000054811749 0.00000098437 0.000000396178 0.00000018854 0.000000083357 0.000000038893 0.0000000156912 0.0000000034128];
%Definisi ruang model
npop = 100; %Jumlah dari model
nlayer = 3; %Jumlah lapisan
nitr = 200; %Jumlah iterasi
prp=0.8; %probability
%Batas atas dan bawah (Diatur 5 kali dari nilai parameter model)
%Batas bawah pencarian nilai resistivitas
LBR = [1 1 1];
%Batas atas pencarian nilai resistivitas
UBR = [300 3000 30];
%Batas bawah pencarian nilai ketebalan
LBT = [1 1];
%Batas atas pencarian nilai resistivitas
UBT = [300 300];
%Membuat model awal acak
for ipop = 1 : npop
rho(ipop , :) = LBR + rand*(UBR - LBR);
🔗 参考文献
🎈 部分理论引用网络文献,若有侵权联系博主删除
👇 关注我领取海量matlab电子书和数学建模资料
🏆团队擅长辅导定制多种科研领域MATLAB仿真,助力科研梦:
🌟 各类智能优化算法改进及应用
生产调度、经济调度、装配线调度、充电优化、车间调度、发车优化、水库调度、三维装箱、物流选址、货位优化、公交排班优化、充电桩布局优化、车间布局优化、集装箱船配载优化、水泵组合优化、解医疗资源分配优化、设施布局优化、可视域基站和无人机选址优化、背包问题、 风电场布局、时隙分配优化、 最佳分布式发电单元分配、多阶段管道维修、 工厂-中心-需求点三级选址问题、 应急生活物质配送中心选址、 基站选址、 道路灯柱布置、 枢纽节点部署、 输电线路台风监测装置、 集装箱调度、 机组优化、 投资优化组合、云服务器组合优化、 天线线性阵列分布优化、CVRP问题、VRPPD问题、多中心VRP问题、多层网络的VRP问题、多中心多车型的VRP问题、 动态VRP问题、双层车辆路径规划(2E-VRP)、充电车辆路径规划(EVRP)、油电混合车辆路径规划、混合流水车间问题、 订单拆分调度问题、 公交车的调度排班优化问题、航班摆渡车辆调度问题、选址路径规划问题、港口调度、港口岸桥调度、停机位分配、机场航班调度、泄漏源定位、冷链、时间窗、多车场等、选址优化、港口岸桥调度优化、交通阻抗、重分配、停机位分配、机场航班调度、通信上传下载分配优化
🌟 机器学习和深度学习时序、回归、分类、聚类和降维
2.1 bp时序、回归预测和分类
2.2 ENS声神经网络时序、回归预测和分类
2.3 SVM/CNN-SVM/LSSVM/RVM支持向量机系列时序、回归预测和分类
2.4 CNN|TCN|GCN卷积神经网络系列时序、回归预测和分类
2.5 ELM/KELM/RELM/DELM极限学习机系列时序、回归预测和分类
2.6 GRU/Bi-GRU/CNN-GRU/CNN-BiGRU门控神经网络时序、回归预测和分类
2.7 ELMAN递归神经网络时序、回归\预测和分类
2.8 LSTM/BiLSTM/CNN-LSTM/CNN-BiLSTM/长短记忆神经网络系列时序、回归预测和分类
2.9 RBF径向基神经网络时序、回归预测和分类
2.10 DBN深度置信网络时序、回归预测和分类
2.11 FNN模糊神经网络时序、回归预测
2.12 RF随机森林时序、回归预测和分类
2.13 BLS宽度学习时序、回归预测和分类
2.14 PNN脉冲神经网络分类
2.15 模糊小波神经网络预测和分类
2.16 时序、回归预测和分类
2.17 时序、回归预测预测和分类
2.18 XGBOOST集成学习时序、回归预测预测和分类
2.19 Transform各类组合时序、回归预测预测和分类
方向涵盖风电预测、光伏预测、电池寿命预测、辐射源识别、交通流预测、负荷预测、股价预测、PM2.5浓度预测、电池健康状态预测、用电量预测、水体光学参数反演、NLOS信号识别、地铁停车精准预测、变压器故障诊断
🌟图像处理方面
图像识别、图像分割、图像检测、图像隐藏、图像配准、图像拼接、图像融合、图像增强、图像压缩感知
🌟 路径规划方面
旅行商问题(TSP)、车辆路径问题(VRP、MVRP、CVRP、VRPTW等)、无人机三维路径规划、无人机协同、无人机编队、机器人路径规划、栅格地图路径规划、多式联运运输问题、 充电车辆路径规划(EVRP)、 双层车辆路径规划(2E-VRP)、 油电混合车辆路径规划、 船舶航迹规划、 全路径规划规划、 仓储巡逻、公交车时间调度、水库调度优化、多式联运优化
🌟 无人机应用方面
无人机路径规划、无人机控制、无人机编队、无人机协同、无人机任务分配、无人机安全通信轨迹在线优化、车辆协同无人机路径规划、
🌟 通信方面
传感器部署优化、通信协议优化、路由优化、目标定位优化、Dv-Hop定位优化、Leach协议优化、WSN覆盖优化、组播优化、RSSI定位优化、水声通信、通信上传下载分配
🌟 信号处理方面
信号识别、信号加密、信号去噪、信号增强、雷达信号处理、信号水印嵌入提取、肌电信号、脑电信号、信号配时优化、心电信号、DOA估计、编码译码、变分模态分解、管道泄漏、滤波器、数字信号处理+传输+分析+去噪、数字信号调制、误码率、信号估计、DTMF、信号检测
🌟电力系统方面
微电网优化、无功优化、配电网重构、储能配置、有序充电、MPPT优化、家庭用电、电/冷/热负荷预测、电力设备故障诊断、电池管理系统(BMS)SOC/SOH估算(粒子滤波/卡尔曼滤波)、 多目标优化在电力系统调度中的应用、光伏MPPT控制算法改进(扰动观察法/电导增量法)、电动汽车充放电优化、微电网日前日内优化、储能优化、家庭用电优化、供应链优化
🌟 元胞自动机方面
交通流 人群疏散 病毒扩散 晶体生长 金属腐蚀
🌟 雷达方面
卡尔曼滤波跟踪、航迹关联、航迹融合、SOC估计、阵列优化、NLOS识别
🌟 车间调度
零等待流水车间调度问题NWFSP 、 置换流水车间调度问题PFSP、 混合流水车间调度问题HFSP 、零空闲流水车间调度问题NIFSP、分布式置换流水车间调度问题 DPFSP、阻塞流水车间调度问题BFSP
👇
6万+

被折叠的 条评论
为什么被折叠?



