✅作者简介:热爱科研的Matlab仿真开发者,擅长数据处理、建模仿真、程序设计、完整代码获取、论文复现及科研仿真。
🍎 往期回顾关注个人主页:Matlab科研工作室
🍊个人信条:格物致知,完整Matlab代码及仿真咨询内容私信。
🔥 内容介绍
多代理系统任务分配的现状与核心需求
在工业协作、智能物流、无人机集群等复杂场景中,多代理系统(由多个自主决策的智能体组成)的高效协同依赖于精准的任务分配。例如,仓储机器人集群需要动态分配货架搬运任务,无人机编队需协同完成区域巡检,这些场景中任务分配的效率直接决定了系统的整体性能。
当前的任务分配方法存在明显局限:集中式算法(如传统匈牙利算法)依赖中心节点处理全局信息,一旦中心节点故障将导致系统瘫痪,且在代理数量增多时计算负荷剧增,难以满足实时性要求;简单分布式方法(如贪心算法)虽避免了中心节点瓶颈,但易陷入局部最优,导致任务分配不均衡(如部分代理负载过重,部分闲置)。此外,实际场景中存在任务动态增减、代理临时故障等不确定性,传统算法的适应性不足。因此,构建一种兼具分布式架构、全局优化能力和动态适应性的任务分配方案,成为多代理系统高效协作的关键。
核心技术原理:分布式匹配与匈牙利算法的融合
匈牙利算法的全局优化本质
匈牙利算法是求解指派问题(将 n 个任务分配给 n 个代理,使总代价最小)的经典算法,其核心思想是通过构造等价代价矩阵、寻找最优匹配来实现全局最优解。
算法的基本步骤包括:
- 对代价矩阵进行行规约(每行减去最小值)和列规约(每列减去最小值),简化矩阵同时保持最优解不变;
- 用最少的直线覆盖所有零元素,若直线数量等于矩阵阶数,则已找到最优匹配;
- 若未达到最优,调整代价矩阵(未被覆盖元素减去最小值,覆盖线交点加上最小值),重复步骤 2 直至找到最优解。
匈牙利算法能保证在多项式时间内找到全局最优解,但传统实现依赖集中式计算,需要获取所有代理的代价信息,不适用于大规模分布式系统。
分布式匹配的协同机制
分布式匹配技术通过代理间的局部通信实现全局任务分配,每个代理仅掌握自身及邻居的局部信息,通过迭代协商达成一致。其核心机制包括:
- 局部信息交互:代理通过广播或点对点通信共享自身的任务偏好(如执行某任务的代价)和当前分配状态;
- 动态决策更新:每个代理基于局部信息更新对任务的优先级排序,逐步调整分配方案;
- 冲突消解:当多个代理竞争同一任务时,通过预设规则(如代价更小的代理优先)或协商机制解决冲突。
分布式匹配的优势在于去中心化(提高系统鲁棒性)和可扩展性(适应大规模代理集群),但单独使用时难以保证全局最优。将其与匈牙利算法融合,可形成兼具两者优势的分布式优化方案。
分布式匹配匈牙利算法(DMCHBA)的方案设计
算法框架:从集中到分布式的转化
DMCHBA 的核心是将匈牙利算法的全局优化逻辑拆解为分布式操作,通过代理间的局部协作实现近似全局最优的任务分配。算法框架包含三个层级:
- 局部代价矩阵构建层:每个代理根据自身能力和任务特征计算局部代价(如执行任务的时间、能耗),并通过与邻居代理通信交换代价信息,构建局部代价子矩阵(包含自身及邻居的任务 - 代理代价)。
- 分布式规约与匹配层:借鉴匈牙利算法的规约思想,每个代理对局部子矩阵进行行 / 列规约,生成局部零元素矩阵;通过局部通信共享零元素位置,协同寻找局部最优匹配(如每个代理标记自身可执行的零元素任务)。
- 全局一致性层:通过多轮迭代协商,逐步扩展局部匹配的覆盖范围。代理将自身的匹配方案广播给邻居,若发现冲突(同一任务被多个代理标记),则基于全局代价最小原则调整(如代
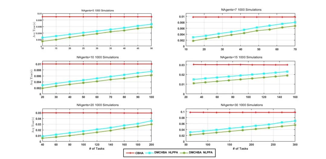
⛳️ 运行结果




📣 部分代码
2: 400 x 400 random data
%{
n=400;
A=rand(n);
tic
[a,b]=munkres(A);
toc % about 2 seconds
%}
% Example 3: rectangular assignment with inf costs
%{
A=rand(10,7);
A(A>0.7)=Inf;
[a,b]=munkres(A);
%}
% Example 4: an example of partial assignment
%{
A = [1 3 Inf; Inf Inf 5; Inf Inf 0.5];
[a,b]=munkres(A)
%}
% a = [1 0 3]
% b = 1.5
% Reference:
% "Munkres' Assignment Algorithm, Modified for Rectangular Matrices",
% http://csclab.murraystate.edu/bob.pilgrim/445/munkres.html
% version 2.3 by Yi Cao at Cranfield University on 11th September 2011
assignment = zeros(1,size(costMat,1));
cost = 0;
🔗 参考文献
A. Samiei and L. Sun, “Distributed matching-by-clone hungarian-based algorithm for task allocation of multiagent systems,” IEEE Transactions on Robotics, 2023.
🎈 部分理论引用网络文献,若有侵权联系博主删除
👇 关注我领取海量matlab电子书和数学建模资料
🏆团队擅长辅导定制多种科研领域MATLAB仿真,助力科研梦:
🌟 各类智能优化算法改进及应用
生产调度、经济调度、装配线调度、充电优化、车间调度、发车优化、水库调度、三维装箱、物流选址、货位优化、公交排班优化、充电桩布局优化、车间布局优化、集装箱船配载优化、水泵组合优化、解医疗资源分配优化、设施布局优化、可视域基站和无人机选址优化、背包问题、 风电场布局、时隙分配优化、 最佳分布式发电单元分配、多阶段管道维修、 工厂-中心-需求点三级选址问题、 应急生活物质配送中心选址、 基站选址、 道路灯柱布置、 枢纽节点部署、 输电线路台风监测装置、 集装箱调度、 机组优化、 投资优化组合、云服务器组合优化、 天线线性阵列分布优化、CVRP问题、VRPPD问题、多中心VRP问题、多层网络的VRP问题、多中心多车型的VRP问题、 动态VRP问题、双层车辆路径规划(2E-VRP)、充电车辆路径规划(EVRP)、油电混合车辆路径规划、混合流水车间问题、 订单拆分调度问题、 公交车的调度排班优化问题、航班摆渡车辆调度问题、选址路径规划问题、港口调度、港口岸桥调度、停机位分配、机场航班调度、泄漏源定位
🌟 机器学习和深度学习时序、回归、分类、聚类和降维
2.1 bp时序、回归预测和分类
2.2 ENS声神经网络时序、回归预测和分类
2.3 SVM/CNN-SVM/LSSVM/RVM支持向量机系列时序、回归预测和分类
2.4 CNN|TCN|GCN卷积神经网络系列时序、回归预测和分类
2.5 ELM/KELM/RELM/DELM极限学习机系列时序、回归预测和分类
2.6 GRU/Bi-GRU/CNN-GRU/CNN-BiGRU门控神经网络时序、回归预测和分类
2.7 ELMAN递归神经网络时序、回归\预测和分类
2.8 LSTM/BiLSTM/CNN-LSTM/CNN-BiLSTM/长短记忆神经网络系列时序、回归预测和分类
2.9 RBF径向基神经网络时序、回归预测和分类
2.10 DBN深度置信网络时序、回归预测和分类
2.11 FNN模糊神经网络时序、回归预测
2.12 RF随机森林时序、回归预测和分类
2.13 BLS宽度学习时序、回归预测和分类
2.14 PNN脉冲神经网络分类
2.15 模糊小波神经网络预测和分类
2.16 时序、回归预测和分类
2.17 时序、回归预测预测和分类
2.18 XGBOOST集成学习时序、回归预测预测和分类
2.19 Transform各类组合时序、回归预测预测和分类
方向涵盖风电预测、光伏预测、电池寿命预测、辐射源识别、交通流预测、负荷预测、股价预测、PM2.5浓度预测、电池健康状态预测、用电量预测、水体光学参数反演、NLOS信号识别、地铁停车精准预测、变压器故障诊断
🌟图像处理方面
图像识别、图像分割、图像检测、图像隐藏、图像配准、图像拼接、图像融合、图像增强、图像压缩感知
🌟 路径规划方面
旅行商问题(TSP)、车辆路径问题(VRP、MVRP、CVRP、VRPTW等)、无人机三维路径规划、无人机协同、无人机编队、机器人路径规划、栅格地图路径规划、多式联运运输问题、 充电车辆路径规划(EVRP)、 双层车辆路径规划(2E-VRP)、 油电混合车辆路径规划、 船舶航迹规划、 全路径规划规划、 仓储巡逻
🌟 无人机应用方面
无人机路径规划、无人机控制、无人机编队、无人机协同、无人机任务分配、无人机安全通信轨迹在线优化、车辆协同无人机路径规划
🌟 通信方面
传感器部署优化、通信协议优化、路由优化、目标定位优化、Dv-Hop定位优化、Leach协议优化、WSN覆盖优化、组播优化、RSSI定位优化、水声通信、通信上传下载分配
🌟 信号处理方面
信号识别、信号加密、信号去噪、信号增强、雷达信号处理、信号水印嵌入提取、肌电信号、脑电信号、信号配时优化、心电信号、DOA估计、编码译码、变分模态分解、管道泄漏、滤波器、数字信号处理+传输+分析+去噪、数字信号调制、误码率、信号估计、DTMF、信号检测
🌟电力系统方面
微电网优化、无功优化、配电网重构、储能配置、有序充电、MPPT优化、家庭用电、电/冷/热负荷预测、电力设备故障诊断、电池管理系统(BMS)SOC/SOH估算(粒子滤波/卡尔曼滤波)、 多目标优化在电力系统调度中的应用、光伏MPPT控制算法改进(扰动观察法/电导增量法)
🌟 元胞自动机方面
交通流 人群疏散 病毒扩散 晶体生长 金属腐蚀
🌟 雷达方面
卡尔曼滤波跟踪、航迹关联、航迹融合、SOC估计、阵列优化、NLOS识别
🌟 车间调度
零等待流水车间调度问题NWFSP 、 置换流水车间调度问题PFSP、 混合流水车间调度问题HFSP 、零空闲流水车间调度问题NIFSP、分布式置换流水车间调度问题 DPFSP、阻塞流水车间调度问题BFSP
👇
1348

被折叠的 条评论
为什么被折叠?



