在模式识别中一个最基本的方法,就是模板匹配法(template matching),它基本上是一种统计识别方法。 为了在图像中检测出已知形状的目标物,我们使用这个目标物的形状模板(或窗口)与图像匹配,在约定的某种准则下检测出目标物图像,通常称其为模板匹配法。它能检测出图像中上线条、曲线、图案等等。它的应用包括:目标模板与侦察图像相匹配;文字识别和语音识别等。
原理我们采用以下的算式来衡量模板T(m,n)与所覆盖的子图Sij(i,j)的关系,已知原始图像S(W,H),如图所示:

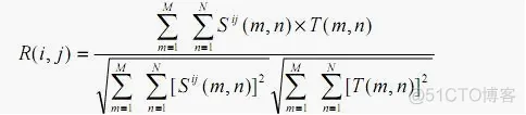
利用以下公式衡量它们的相似性:


上述公式中第一项为子图的能量,第三项为模板的能量,都和模板匹配无关。第二项是模板和子图的互为相关,随(i,j)而改变。当模板和子图匹配时,该项由最大值。在将其归一化后,得到模板匹配的相关系数:

当模板和子图完全一样时,相关系数R(i,j) = 1。在被搜索图S中完成全部搜索后,找出R的最大值Rmax(im,jm),其对应的子图Simjm即位匹配目标。显然,用这种公式做图像匹配计算量大、速度慢。我们可以使用另外一种算法来衡量T和Sij的误差,其公式为:

计算两个图像的向量误差,可以增加计算速度,根据不同的匹配方向选取一个误差阀值E0,当E(i,j)>E0时就停止该点的计算,继续下一点的计算。
最终的实验证明,被搜索的图像越大,匹配的速度越慢;模板越小,匹配的速度越快;阀值的大小对匹配速度影响大;
改进的模板匹配算法
将一次的模板匹配过程更改为两次匹配;
第一次匹配为粗略匹配。取模板的隔行隔列数据,即1/4的模板数据,在被搜索土上进行隔行隔列匹配,即在原图的1/4范围内匹配。由于数据量大幅减少,匹配速度显著提高。同时需要设计一个合理的误差阀值E0:
E0 = e0 * (m + 1) / 2 * (n + 1) / 2
式中:e0为各点平均的最大误差,一般取40~50即可;
m,n为模板的长宽;
第二次匹配是精确匹配。在第一次误差最小点(imin, jmin)的邻域内,即在对角点为(imin -1, jmin -1), (Imin + 1, jmin + 1)的矩形内,进行搜索匹配,得到最后结果。
流程图
算法实现的关键问题是进行匹配,求最小距离,其解决方法是和训练集的样品逐一进行距离的计算,最后找出最相邻的样品得到类别号。
function varargout = NumDemo(varargin)
% NUMDEMO MATLAB code for NumDemo.fig
% NUMDEMO, by itself, creates a new NUMDEMO or raises the existing
% singleton*.
%
% H = NUMDEMO returns the handle to a new NUMDEMO or the handle to
% the existing singleton*.
%
% NUMDEMO('CALLBACK',hObject,eventData,handles,...) calls the local
% function named CALLBACK in NUMDEMO.M with the given input arguments.
%
% NUMDEMO('Property','Value',...) creates a new NUMDEMO or raises the
% existing singleton*. Starting from the left, property value pairs are
% applied to the GUI before NumDemo_OpeningFcn gets called. An
% unrecognized property name or invalid value makes property application
% stop. All inputs are passed to NumDemo_OpeningFcn via varargin.
%
% *See GUI Options on GUIDE's Tools menu. Choose "GUI allows only one
% instance to run (singleton)".
%
% See also: GUIDE, GUIDATA, GUIHANDLES
% Edit the above text to modify the response to help NumDemo
% Last Modified by GUIDE v2.5 28-Apr-2020 11:22:33
% Begin initialization code - DO NOT EDIT
gui_Singleton = 1;
gui_State = struct('gui_Name', mfilename, ...
'gui_Singleton', gui_Singleton, ...
'gui_OpeningFcn', @NumDemo_OpeningFcn, ...
'gui_OutputFcn', @NumDemo_OutputFcn, ...
'gui_LayoutFcn', [] , ...
'gui_Callback', []);
if nargin && ischar(varargin{1})
gui_State.gui_Callback = str2func(varargin{1});
end
if nargout
[varargout{1:nargout}] = gui_mainfcn(gui_State, varargin{:});
else
gui_mainfcn(gui_State, varargin{:});
end
% End initialization code - DO NOT EDIT
% --- Executes just before NumDemo is made visible.
function NumDemo_OpeningFcn(hObject, ~, handles, varargin)
% This function has no output args, see OutputFcn.
% hObject handle to figure
% eventdata reserved - to be defined in a future version of MATLAB
% handles structure with handles and user data (see GUIDATA)
% varargin command line arguments to NumDemo (see VARARGIN)
% Choose default command line output for NumDemo
handles.output = hObject;
% Update handles structure
guidata(hObject, handles);
% UIWAIT makes NumDemo wait for user response (see UIRESUME)
% uiwait(handles.figure1);
% --- Outputs from this function are returned to the command line.
function varargout = NumDemo_OutputFcn(~, ~, handles)
% varargout cell array for returning output args (see VARARGOUT);
% hObject handle to figure
% eventdata reserved - to be defined in a future version of MATLAB
% handles structure with handles and user data (see GUIDATA)
% Get default command line output from handles structure
varargout{1} = handles.output;
axis([0 250 0 250]);
clc;
% --- Executes on mouse press over figure background, over a disabled or
% --- inactive control, or over an axes background.
function figure1_WindowButtonDownFcn(~, ~, handles)
% hObject handle to figure1 (see GCBO)
% eventdata reserved - to be defined in a future version of MATLAB
% handles structure with handles and user data (see GUIDATA)
global ButtonDown pos1
if strcmp(get(gcf, 'SelectionType'), 'normal')
ButtonDown = 1;
pos1 = get(handles.axes1, 'CurrentPoint');
end
% --- Executes on mouse motion over figure - except title and menu.
function figure1_WindowButtonMotionFcn(~, ~, handles)
% hObject handle to figure1 (see GCBO)
% eventdata reserved - to be defined in a future version of MATLAB
% handles structure with handles and user data (see GUIDATA)
global ButtonDown pos1
if(ButtonDown == 1)
pos = get(handles.axes1,'CurrentPoint');
line([pos1(1,1) pos(1,1)], [pos1(1,2) pos(1,2)], 'Color','Black','LineStyle','-', 'LineWidth',8,'Marker','.', 'MarkerSize',20);
pos1 = pos;
end
% --- Executes on mouse press over figure background, over a disabled or
% --- inactive control, or over an axes background.
function figure1_WindowButtonUpFcn(~, ~, ~)
% hObject handle to figure1 (see GCBO)
% eventdata reserved - to be defined in a future version of MATLAB
% handles structure with handles and user data (see GUIDATA)
global ButtonDown
ButtonDown = 0;
% --- Executes on button press in pushbutton_clear.
function pushbutton_clear_Callback(~, ~, handles)
% hObject handle to pushbutton_clear (see GCBO)
% eventdata reserved - to be defined in a future version of MATLAB
% handles structure with handles and user data (see GUIDATA)
%cla;
cla(handles.axes1);
% --- Executes on button press in pushbutton_save.
function pushbutton_save_Callback(~, ~, handles)
% hObject handle to pushbutton_save (see GCBO)
% eventdata reserved - to be defined in a future version of MATLAB
% handles structure with handles and user data (see GUIDATA)
[f, p] = uiputfile({'*.bmp'},'Save Image');
str = strcat(p, f);
px = getframe(handles.axes3);
curImg = frame2im(px);
imwrite(curImg, str,'bmp');
% --- Executes on button press in pushbutton_classify.
function pushbutton_classify_Callback(~, ~, handles)
% hObject handle to pushbutton_classify (see GCBO)
% eventdata reserved - to be defined in a future version of MATLAB
% handles structure with handles and user data (see GUIDATA)
%strSample = 'Data.mat';
cla(handles.axes4,handles.axes5,handles.axes6);
load 'Data.mat';
I1=handles.I1;
curFea = GetFeature(I1);
I2 = Normalize_Img(I1);
bw1 = Bw_Img(I1);
bw2 = Thin_Img(bw1);
bw = bw2;
sz = size(bw);
[r, c] = find(bw==1);
rect = [min(c) min(r) max(c)-min(c) max(r)-min(r)];
vs = rect(1)+rect(3)*[5/12 1/2 7/12];
hs = rect(2)+rect(4)*[1/3 1/2 2/3];
pt1 = [rect(1:2); rect(1:2)+rect(3:4)];
pt2 = [rect(1)+rect(3) rect(2); rect(1) rect(2)+rect(4)];
k1 = (pt1(1,2)-pt1(2,2)) / (pt1(1,1)-pt1(2,1));
x1 = 1:sz(2);
y1 = k1*(x1-pt1(1,1)) + pt1(1,2);
k2 = (pt2(1,2)-pt2(2,2)) / (pt2(1,1)-pt2(2,1));
x2 = 1:sz(2);
y2 = k2*(x2-pt2(1,1)) + pt2(1,2);
axes(handles.axes4);
imshow(I2,[]);
handles.I2 = I2;
hold on;
h = rectangle('Position', [rect(1:2)-1 rect(3:4)+2], 'EdgeColor', 'r', 'LineWidth', 2);
legend(h, '数字区域标记', 'Location', 'South');
axes(handles.axes5);
imshow(bw1,[]);
handles.bw1 = bw1;
axes(handles.axes6);
imshow(bw,[],'Border', 'Loose');
handles.bw = bw;
hold on;
h = [];
for i = 1 : length(hs)
h = [h plot([1 sz(2)], [hs(i) hs(i)], 'r-')];
end
for i = 1 : length(vs)
h = [h plot([vs(i) vs(i)], [1 sz(1)], 'g-')];
end
h = [h plot(x1, y1, 'y-')];
h = [h plot(x2, y2, 'm-')];
legend([h(1) h(4) h(7) h(8)], {'水平线', '竖直线', '左对角线', '右对角线'}, 'Location', 'BestOutside');
hold off;
%yLabel = euclid(curFea);
yLabel = MaskRecon(Data, curFea);
h = warndlg(num2str(yLabel),'识别结果');
% --- Executes on mouse press over axes background.
function axes1_ButtonDownFcn(hObject, eventdata, handles)
% hObject handle to axes1 (see GCBO)
% eventdata reserved - to be defined in a future version of MATLAB
% handles structure with handles and user data (see GUIDATA)
% --- If Enable == 'on', executes on mouse press in 5 pixel border.
% --- Otherwise, executes on mouse press in 5 pixel border or over pushbutton_clear.
function pushbutton_clear_ButtonDownFcn(hObject, eventdata, handles)
% hObject handle to pushbutton_clear (see GCBO)
% eventdata reserved - to be defined in a future version of MATLAB
% handles structure with handles and user data (see GUIDATA)
% --- Executes on button press in pushbutton4.
function pushbutton4_Callback(hObject, eventdata, handles)
% hObject handle to pushbutton4 (see GCBO)
% eventdata reserved - to be defined in a future version of MATLAB
% handles structure with handles and user data (see GUIDATA)
[FileName,PathName,FilterIndex] = uigetfile({'*.jpg;*.tif;*.png;*.gif', ...
'所有图像文件';...
'*.*','所有文件' },'载入数字图像',...
'.\\images\\手写数字\\t0.jpg');
if isequal(FileName, 0) || isequal(PathName, 0)
return;
end
fileName = fullfile(PathName, FileName);
I = imread(fileName);
axes(handles.axes2);
imshow(I);
handles.I = I;
guidata(hObject, handles);
% --- Executes on button press in pushbutton5.
function pushbutton5_Callback(hObject, eventdata, handles)
% hObject handle to pushbutton5 (see GCBO)
% eventdata reserved - to be defined in a future version of MATLAB
% handles structure with handles and user data (see GUIDATA)
I = handles.I;
axes(handles.axes2);
I1 = imcrop(I);
axes(handles.axes3);
imshow(I1);
handles.I1 = I1;
guidata(hObject, handles);
% --- Executes on button press in pushbutton6.
function pushbutton6_Callback(hObject, eventdata, handles)
% hObject handle to pushbutton6 (see GCBO)
% eventdata reserved - to be defined in a future version of MATLAB
% handles structure with handles and user data (see GUIDATA)
% --- Executes on button press in pushbutton7.
function pushbutton7_Callback(hObject, eventdata, handles)
% hObject handle to pushbutton7 (see GCBO)
% eventdata reserved - to be defined in a future version of MATLAB
% handles structure with handles and user data (see GUIDATA)
I = getframe(handles.axes1);
handles.I=I;
I1 = frame2im(I);
axes(handles.axes3);
imshow(I1);
handles.I1 = I1;
guidata(hObject, handles);- 1.
- 2.
- 3.
- 4.
- 5.
- 6.
- 7.
- 8.
- 9.
- 10.
- 11.
- 12.
- 13.
- 14.
- 15.
- 16.
- 17.
- 18.
- 19.
- 20.
- 21.
- 22.
- 23.
- 24.
- 25.
- 26.
- 27.
- 28.
- 29.
- 30.
- 31.
- 32.
- 33.
- 34.
- 35.
- 36.
- 37.
- 38.
- 39.
- 40.
- 41.
- 42.
- 43.
- 44.
- 45.
- 46.
- 47.
- 48.
- 49.
- 50.
- 51.
- 52.
- 53.
- 54.
- 55.
- 56.
- 57.
- 58.
- 59.
- 60.
- 61.
- 62.
- 63.
- 64.
- 65.
- 66.
- 67.
- 68.
- 69.
- 70.
- 71.
- 72.
- 73.
- 74.
- 75.
- 76.
- 77.
- 78.
- 79.
- 80.
- 81.
- 82.
- 83.
- 84.
- 85.
- 86.
- 87.
- 88.
- 89.
- 90.
- 91.
- 92.
- 93.
- 94.
- 95.
- 96.
- 97.
- 98.
- 99.
- 100.
- 101.
- 102.
- 103.
- 104.
- 105.
- 106.
- 107.
- 108.
- 109.
- 110.
- 111.
- 112.
- 113.
- 114.
- 115.
- 116.
- 117.
- 118.
- 119.
- 120.
- 121.
- 122.
- 123.
- 124.
- 125.
- 126.
- 127.
- 128.
- 129.
- 130.
- 131.
- 132.
- 133.
- 134.
- 135.
- 136.
- 137.
- 138.
- 139.
- 140.
- 141.
- 142.
- 143.
- 144.
- 145.
- 146.
- 147.
- 148.
- 149.
- 150.
- 151.
- 152.
- 153.
- 154.
- 155.
- 156.
- 157.
- 158.
- 159.
- 160.
- 161.
- 162.
- 163.
- 164.
- 165.
- 166.
- 167.
- 168.
- 169.
- 170.
- 171.
- 172.
- 173.
- 174.
- 175.
- 176.
- 177.
- 178.
- 179.
- 180.
- 181.
- 182.
- 183.
- 184.
- 185.
- 186.
- 187.
- 188.
- 189.
- 190.
- 191.
- 192.
- 193.
- 194.
- 195.
- 196.
- 197.
- 198.
- 199.
- 200.
- 201.
- 202.
- 203.
- 204.
- 205.
- 206.
- 207.
- 208.
- 209.
- 210.
- 211.
- 212.
- 213.
- 214.
- 215.
- 216.
- 217.
- 218.
- 219.
- 220.
- 221.
- 222.
- 223.
- 224.
- 225.
- 226.
- 227.
- 228.
- 229.
- 230.
- 231.
- 232.
- 233.
- 234.
- 235.
- 236.
- 237.
- 238.
- 239.
- 240.
- 241.
- 242.
- 243.
- 244.
- 245.
- 246.
- 247.
- 248.
- 249.
- 250.
- 251.
- 252.
- 253.
- 254.
- 255.
- 256.
- 257.
- 258.

4120

被折叠的 条评论
为什么被折叠?



