一、简介
Gabor+SVM:利用Gabor程序实现对人脸的特征提取,然后用SVM进行分类;
1 Gabor
Gabor 特征提取算法可以在不同方向上描述局部人脸特征,对光照、遮挡以及表情变换等情况具有较强的鲁棒性,即Gabor算法在异常和危险情况下具有较强的系统生存的能力。
1.1 一维Gabor核:
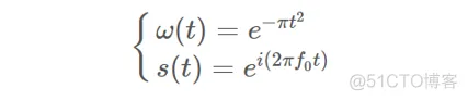
其由一个高斯核与一个复数波的乘积定义为如下公式:
其中w(t)是高斯函数,s(t)是复数波,两者的一维数学表达式定义如下:
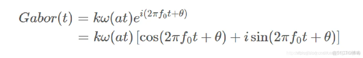
我们将s(t)代入一维Gabor公式可得下式:
我们将上述一维情况推广到二维
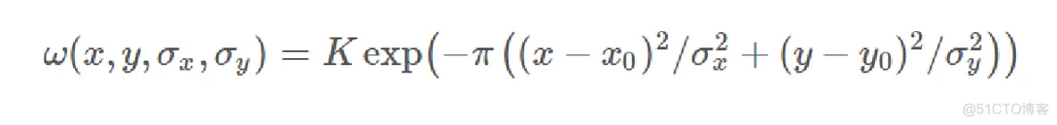
二维复数波定义如下,其中(x,y)表示空间域坐标,(u0,v0)表示频率域坐标。
二维高斯函数定义如下,其中σx,σy 分别为在x,y两个方向上的尺度参数,用来控制高斯函数在两个方向上的“展布”形状。(x0,y0)为高斯函数的中心点。K为高斯核的幅度的比例。
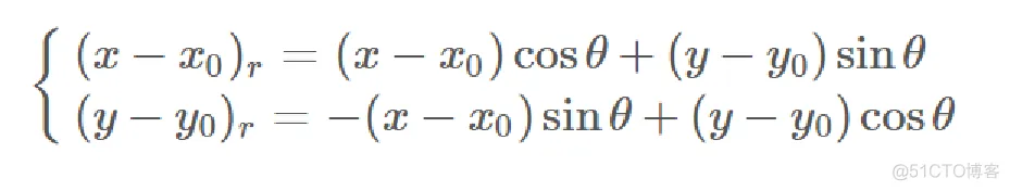
但是由于高斯函数还有旋转的操作,所以我们对坐标进行如下的变换:
由此,我们得到了坐标变换后的高斯函数公式,其中θ表示高斯核顺时针旋转的角度。
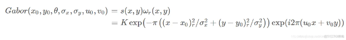
1.2 二维Gabor核
类似一维 Gabor 核,我们将二维高斯函数与二维复数波相乘,就得到了二维的Gabor核:
一个Gabor核能获取到图像某个频率邻域的响应情况,这个响应结果可以看做是图像的一个特征。如果我们用多个不同频率的Gabor核去获取图像在不同频率邻域的响应情况,最后就能形成图像在各个频率段的特征,这个特征就可以描述图像的频率信息了。
下图展示了一系列具有不同频率的 Gabor 核,用这些核与图像卷积,我们就能得到图像上每个点和其附近区域的频率分布情况。
经过 Gabor 滤波获到的人脸图像信息包含实部和虚部两部分,分别代表不同局部的人脸特征信息,为了提取更加全面的人脸特征信息,一般会采用两种特征值相结合的方法,比如幅值和相位信息。但 Gabor 的相位信息会因为人脸空间位置发生改变而不太稳定。Gabor 幅值信息变化相对稳定,并且充分反映了人脸图像的能量谱。因此采取 Gabor 幅值特征。经过Gabor幅值特征处理,得到了人脸 Gabor 特征信息。5 个尺度,8 个方向的 Gabor 特征提取图如下所示:
2 PCA+SVM:
2.1 PCA
主成分分析(Principal Component Analysis, 简称PCA)是常用的一种降维方法.
算法步骤:
2.2 SVM介绍
支持向量机(Support Vector Machines, 简称SVM)是一种二类分类模型.
划分超平面为:

3 人脸识别步骤
将每张人脸图片(m,nm,n)读取并展开成(m×n,1m×n,1), 假设总有ll张图片, 所有排列到一起, 一列为一张图片, 最终形成一个(m×n,l)(m×n,l) 的矩阵作为原始数据;
数据中心化: 计算平均脸, 所有列都减去张平均脸;
计算矩阵的协方差矩阵/散布矩阵, 求出特征值及特征向量, 并将其从大到小排列取前K个特征; (到这步特征已将至K维)
计算中心化后的数据在K维特征的投影;
基于上一步的数据进行 One-VS-One Multiclass SVM模型训练;
读取用于测试的人脸图片, 同训练图片一样处理;
利用训练出的模型对测试图片进行分类;
计算准确率.
二、源代码
function varargout = pjimage(varargin)
% PJIMAGE MATLAB code for pjimage.fig
% PJIMAGE, by itself, creates a new PJIMAGE or raises the existing
% singleton*.
%
% H = PJIMAGE returns the handle to a new PJIMAGE or the handle to
% the existing singleton*.
%
% PJIMAGE('CALLBACK',hObject,eventData,handles,...) calls the local
% function named CALLBACK in PJIMAGE.M with the given input arguments.
%
% PJIMAGE('Property','Value',...) creates a new PJIMAGE or raises the
% existing singleton*. Starting from the left, property value pairs are
% applied to the GUI before pjimage_OpeningFcn gets called. An
% unrecognized property name or invalid value makes property application
% stop. All inputs are passed to pjimage_OpeningFcn via varargin.
%
% *See GUI Options on GUIDE's Tools menu. Choose "GUI allows only one
% instance to run (singleton)".
%
% See also: GUIDE, GUIDATA, GUIHANDLES
% Edit the above text to modify the response to help pjimage
% Last Modified by GUIDE v2.5 11-Jun-2018 08:06:08
% Begin initialization code - DO NOT EDIT
gui_Singleton = 1;
gui_State = struct('gui_Name', mfilename, ...
'gui_Singleton', gui_Singleton, ...
'gui_OpeningFcn', @pjimage_OpeningFcn, ...
'gui_OutputFcn', @pjimage_OutputFcn, ...
'gui_LayoutFcn', [] , ...
'gui_Callback', []);
if nargin && ischar(varargin{1})
gui_State.gui_Callback = str2func(varargin{1});
end
if nargout
[varargout{1:nargout}] = gui_mainfcn(gui_State, varargin{:});
else
gui_mainfcn(gui_State, varargin{:});
end
% End initialization code - DO NOT EDIT
% --- Executes just before pjimage is made visible.
function pjimage_OpeningFcn(hObject, eventdata, handles, varargin)
% This function has no output args, see OutputFcn.
% hObject handle to figure
% eventdata reserved - to be defined in a future version of MATLAB
% handles structure with handles and user data (see GUIDATA)
% varargin command line arguments to pjimage (see VARARGIN)
% Choose default command line output for pjimage
handles.output = hObject;
% Update handles structure
guidata(hObject, handles);
% UIWAIT makes pjimage wait for user response (see UIRESUME)
% uiwait(handles.figure_pjimage);
% --- Outputs from this function are returned to the command line.
function varargout = pjimage_OutputFcn(hObject, eventdata, handles)
% varargout cell array for returning output args (see VARARGOUT);
% hObject handle to figure
% eventdata reserved - to be defined in a future version of MATLAB
% handles structure with handles and user data (see GUIDATA)
% Get default command line output from handles structure
varargout{1} = handles.output;
% --------------------------------------------------------------------
function m_file_Callback(hObject, eventdata, handles)
% hObject handle to m_file (see GCBO)
% eventdata reserved - to be defined in a future version of MATLAB
% handles structure with handles and user data (see GUIDATA)
% --------------------------------------------------------------------
function m_file_open_Callback(hObject, eventdata, handles)
% hObject handle to m_file_open (see GCBO)
% eventdata reserved - to be defined in a future version of MATLAB
% handles structure with handles and user data (see GUIDATA)
% --------------------------------------------------------------------
function m_file_save_Callback(hObject, eventdata, handles)
% hObject handle to m_file_save (see GCBO)
% eventdata reserved - to be defined in a future version of MATLAB
% handles structure with handles and user data (see GUIDATA)
% --------------------------------------------------------------------
function m_file_exit_Callback(hObject, eventdata, handles)
% hObject handle to m_file_exit (see GCBO)
% eventdata reserved - to be defined in a future version of MATLAB
% handles structure with handles and user data (see GUIDATA)
% --- Executes on button press in pushbutton1.
function pushbutton1_Callback(hObject, eventdata, handles)
% hObject handle to pushbutton1 (see GCBO)
% eventdata reserved - to be defined in a future version of MATLAB
% handles structure with handles and user data (see GUIDATA)
figure(1);
for i = 1:40
a = imread(strcat('C:\Users\lenovo\Desktop\人脸识别\人脸识别程序\ORL\s', num2str(i), '\1.pgm'));
subplot(5,8,i);
imshow(a);
end
% --- Executes on button press in pushbutton2.
function pushbutton2_Callback(hObject, eventdata, handles)
% hObject handle to pushbutton2 (see GCBO)
% eventdata reserved - to be defined in a future version of MATLAB
% handles structure with handles and user data (see GUIDATA)
figure(2);
r = round(112 / 2);
c = round(92 / 2);
gamma = 0.5;
theta = pi / 8;
a = sqrt(2);
fmax = 0.22;
for u = 0 : 4
f = a ^ (-u) * fmax;
lambda = 1 / f;
for v = 0 : 7
sigma = 0.56 * lambda;
GK = getGaborKernel(r ,c ,v * theta ,sigma ,lambda ,gamma);%得到一个方向一个尺度的Gabor图像
subplot(5,8, u*8 + v + 1);
imshow(GK);
end
end
% --- Executes on button press in pushbutton3.
function pushbutton3_Callback(hObject, eventdata, handles)
% hObject handle to pushbutton3 (see GCBO)
% eventdata reserved - to be defined in a future version of MATLAB
% handles structure with handles and user data (see GUIDATA)
p = imread('C:\Users\lenovo\Desktop\人脸识别\人脸识别程序\ORL\s1\1.pgm');
p = double(p);
[m , n] = size(p);
r = round(m / 2);
c = round(n / 2);
gamma = 0.5;
theta = pi / 8;
a = sqrt(2);
fmax = 0.22;
figure(3);
for u = 0 : 4
f = a ^ (-u) * fmax;
lambda = 1 / f;
for v = 0 : 7
sigma = 0.56 * lambda;
GK = getGaborKernel(r ,c ,v * theta ,sigma ,lambda ,gamma);%得到一个方向一个尺度的Gabor图像
x = conv2(p,GK,'same');%原图像与Gabor图像进行卷积 112 92
subplot(5, 8, u*8 + v +1);
imshow(x);
end
end
% --- Executes during object deletion, before destroying properties.
function axes1_DeleteFcn(hObject, eventdata, handles)
% hObject handle to axes1 (see GCBO)
% eventdata reserved - to be defined in a future version of MATLAB
% handles structure with handles and user data (see GUIDATA)
function edit1_Callback(hObject, eventdata, handles)
% hObject handle to edit1 (see GCBO)
% eventdata reserved - to be defined in a future version of MATLAB
% handles structure with handles and user data (see GUIDATA)
% Hints: get(hObject,'String') returns contents of edit1 as text
% str2double(get(hObject,'String')) returns contents of edit1 as a double
% --- Executes during object creation, after setting all properties.
function edit1_CreateFcn(hObject, eventdata, handles)
% hObject handle to edit1 (see GCBO)
% eventdata reserved - to be defined in a future version of MATLAB
% handles empty - handles not created until after all CreateFcns called
% Hint: edit controls usually have a white background on Windows.
% See ISPC and COMPUTER.
if ispc && isequal(get(hObject,'BackgroundColor'), get(0,'defaultUicontrolBackgroundColor'))
set(hObject,'BackgroundColor','white');
end
function edit2_Callback(hObject, eventdata, handles)
% hObject handle to edit2 (see GCBO)
% eventdata reserved - to be defined in a future version of MATLAB
% handles structure with handles and user data (see GUIDATA)
% Hints: get(hObject,'String') returns contents of edit2 as text
% str2double(get(hObject,'String')) returns contents of edit2 as a double
% --- Executes during object creation, after setting all properties.
function edit2_CreateFcn(hObject, eventdata, handles)
% hObject handle to edit2 (see GCBO)
% eventdata reserved - to be defined in a future version of MATLAB
% handles empty - handles not created until after all CreateFcns called
% Hint: edit controls usually have a white background on Windows.
% See ISPC and COMPUTER.
if ispc && isequal(get(hObject,'BackgroundColor'), get(0,'defaultUicontrolBackgroundColor'))
set(hObject,'BackgroundColor','white');
end
% --- Executes on button press in pushbutton6.
function pushbutton6_Callback(hObject, eventdata, handles)
% hObject handle to pushbutton6 (see GCBO)
% eventdata reserved - to be defined in a future version of MATLAB
% handles structure with handles and user data (see GUIDATA)
global ttlabel;
global prelabel;
% global ct;
% global gam;
trainLabel = [];
k = 1;
v = 1;
%共280张图片
for i = 1 : 40 %40个人
for j = 1 : 7 %每个人7张照片
a = imread(strcat('C:\Users\lenovo\Desktop\人脸识别\人脸识别程序\ORL\s', num2str(i),'\', num2str(j), '.pgm'));
a = double(a);
[m,n] = size(a);
trainvector = GetOneImageVector(a);
trainX(:, k) = trainvector;
k = k + 1;
%加标签
trainLabel = [trainLabel v]; %1X280
end
v = v + 1;
end
%归一化 均值向量 方差向量
trainx = Normalize(trainX); %6440X280
% ct =str2double(get(handles.edit3,'String'));
% gam = str2double(get(handles.edit4,'String'));
%使用SVM得到模型
model = svmtrain(trainLabel', trainx','-s 0 -t 2 -c 1000 -g 0.0001');
% set(handles.edit1,'string',model);
%处理测试集
u = 1;
t = 1;
testLabel = [];
for i = 1:40
for j = 8:10
a = imread(strcat('C:\Users\lenovo\Desktop\人脸识别\人脸识别程序\ORL\s', num2str(i),'\', num2str(j), '.pgm'));
a = double(a);
[m,n] = size(a);
testvector = GetOneImageVector(a);
testX(:, u) = testvector;
u = u + 1;
testLabel = [testLabel t];
end
t = t + 1;
end
- 1.
- 2.
- 3.
- 4.
- 5.
- 6.
- 7.
- 8.
- 9.
- 10.
- 11.
- 12.
- 13.
- 14.
- 15.
- 16.
- 17.
- 18.
- 19.
- 20.
- 21.
- 22.
- 23.
- 24.
- 25.
- 26.
- 27.
- 28.
- 29.
- 30.
- 31.
- 32.
- 33.
- 34.
- 35.
- 36.
- 37.
- 38.
- 39.
- 40.
- 41.
- 42.
- 43.
- 44.
- 45.
- 46.
- 47.
- 48.
- 49.
- 50.
- 51.
- 52.
- 53.
- 54.
- 55.
- 56.
- 57.
- 58.
- 59.
- 60.
- 61.
- 62.
- 63.
- 64.
- 65.
- 66.
- 67.
- 68.
- 69.
- 70.
- 71.
- 72.
- 73.
- 74.
- 75.
- 76.
- 77.
- 78.
- 79.
- 80.
- 81.
- 82.
- 83.
- 84.
- 85.
- 86.
- 87.
- 88.
- 89.
- 90.
- 91.
- 92.
- 93.
- 94.
- 95.
- 96.
- 97.
- 98.
- 99.
- 100.
- 101.
- 102.
- 103.
- 104.
- 105.
- 106.
- 107.
- 108.
- 109.
- 110.
- 111.
- 112.
- 113.
- 114.
- 115.
- 116.
- 117.
- 118.
- 119.
- 120.
- 121.
- 122.
- 123.
- 124.
- 125.
- 126.
- 127.
- 128.
- 129.
- 130.
- 131.
- 132.
- 133.
- 134.
- 135.
- 136.
- 137.
- 138.
- 139.
- 140.
- 141.
- 142.
- 143.
- 144.
- 145.
- 146.
- 147.
- 148.
- 149.
- 150.
- 151.
- 152.
- 153.
- 154.
- 155.
- 156.
- 157.
- 158.
- 159.
- 160.
- 161.
- 162.
- 163.
- 164.
- 165.
- 166.
- 167.
- 168.
- 169.
- 170.
- 171.
- 172.
- 173.
- 174.
- 175.
- 176.
- 177.
- 178.
- 179.
- 180.
- 181.
- 182.
- 183.
- 184.
- 185.
- 186.
- 187.
- 188.
- 189.
- 190.
- 191.
- 192.
- 193.
- 194.
- 195.
- 196.
- 197.
- 198.
- 199.
- 200.
- 201.
- 202.
- 203.
- 204.
- 205.
- 206.
- 207.
- 208.
- 209.
- 210.
- 211.
- 212.
- 213.
- 214.
- 215.
- 216.
- 217.
- 218.
- 219.
- 220.
- 221.
- 222.
- 223.
- 224.
- 225.
- 226.
- 227.
- 228.
- 229.
- 230.
- 231.
- 232.
- 233.
- 234.
- 235.
- 236.
- 237.
- 238.
- 239.
- 240.
- 241.
- 242.
- 243.
- 244.
- 245.
- 246.
- 247.
- 248.
- 249.
- 250.
- 251.
- 252.
- 253.
- 254.
- 255.
- 256.
- 257.
- 258.
- 259.
- 260.
- 261.
- 262.
- 263.
- 264.
- 265.
- 266.
- 267.
- 268.
- 269.
- 270.
- 271.
- 272.
三、运行结果




Gabor+SVM实现人脸识别算法

被折叠的 条评论
为什么被折叠?



