简介

在模式识别中一个最基本的方法,就是模板匹配法(template matching),它基本上是一种统计识别方法。 为了在图像中检测出已知形状的目标物,我们使用这个目标物的形状模板(或窗口)与图像匹配,在约定的某种准则下检测出目标物图像,通常称其为模板匹配法。它能检测出图像中上线条、曲线、图案等等。它的应用包括:目标模板与侦察图像相匹配;文字识别和语音识别等。

原理

我们采用以下的算式来衡量模板T(m,n)与所覆盖的子图Sij(i,j)的关系,已知原始图像S(W,H),如图所示:

【人脸识别】基于模板匹配算法实现人脸识别matlab源码_matlab

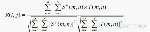
利用以下公式衡量它们的相似性:

【人脸识别】基于模板匹配算法实现人脸识别matlab源码_图像处理_02

【人脸识别】基于模板匹配算法实现人脸识别matlab源码_图像处理_03

上述公式中第一项为子图的能量,第三项为模板的能量,都和模板匹配无关。第二项是模板和子图的互为相关,随(i,j)而改变。当模板和子图匹配时,该项由最大值。在将其归一化后,得到模板匹配的相关系数:

【人脸识别】基于模板匹配算法实现人脸识别matlab源码_图像处理_04

当模板和子图完全一样时,相关系数R(i,j) = 1。在被搜索图S中完成全部搜索后,找出R的最大值Rmax(im,jm),其对应的子图Simjm即位匹配目标。显然,用这种公式做图像匹配计算量大、速度慢。我们可以使用另外一种算法来衡量T和Sij的误差,其公式为:

【人脸识别】基于模板匹配算法实现人脸识别matlab源码_matlab_05

计算两个图像的向量误差,可以增加计算速度,根据不同的匹配方向选取一个误差阀值E0,当E(i,j)>E0时就停止该点的计算,继续下一点的计算。

最终的实验证明,被搜索的图像越大,匹配的速度越慢;模板越小,匹配的速度越快;阀值的大小对匹配速度影响大;

改进的模板匹配算法

将一次的模板匹配过程更改为两次匹配;

第一次匹配为粗略匹配。取模板的隔行隔列数据,即1/4的模板数据,在被搜索土上进行隔行隔列匹配,即在原图的1/4范围内匹配。由于数据量大幅减少,匹配速度显著提高。同时需要设计一个合理的误差阀值E0:

E0 = e0 * (m + 1) / 2 * (n + 1) / 2

式中:e0为各点平均的最大误差,一般取40~50即可;

m,n为模板的长宽;

第二次匹配是精确匹配。在第一次误差最小点(imin, jmin)的邻域内,即在对角点为(imin -1, jmin -1), (Imin + 1, jmin + 1)的矩形内,进行搜索匹配,得到最后结果。

流程图

【人脸识别】基于模板匹配算法实现人脸识别matlab源码_matlab_06

算法实现的关键问题是进行匹配,求最小距离,其解决方法是和训练集的样品逐一进行距离的计算,最后找出最相邻的样品得到类别号。

function varargout = face(varargin)
% FACE MATLAB code for face.fig
%      FACE, by itself, creates a new FACE or raises the existing
%      singleton*.
%
%      H = FACE returns the handle to a new FACE or the handle to
%      the existing singleton*.
%
%      FACE('CALLBACK',hObject,eventData,handles,...) calls the local
%      function named CALLBACK in FACE.M with the given input arguments.
%
%      FACE('Property','Value',...) creates a new FACE or raises the
%      existing singleton*.  Starting from the left, property value pairs are
%      applied to the GUI before face_OpeningFcn gets called.  An
%      unrecognized property name or invalid value makes property application
%      stop.  All inputs are passed to face_OpeningFcn via varargin.
%
%      *See GUI Options on GUIDE's Tools menu.  Choose "GUI allows only one
%      instance to run (singleton)".
%
% See also: GUIDE, GUIDATA, GUIHANDLES

% Edit the above text to modify the response to help face

% Last Modified by GUIDE v2.5 18-Dec-2014 12:02:18

% Begin initialization code - DO NOT EDIT
gui_Singleton = 1;
gui_State = struct('gui_Name',       mfilename, ...
                   'gui_Singleton',  gui_Singleton, ...
                   'gui_OpeningFcn', @face_OpeningFcn, ...
                   'gui_OutputFcn',  @face_OutputFcn, ...
                   'gui_LayoutFcn',  [] , ...
                   'gui_Callback',   []);
if nargin && ischar(varargin{1})
    gui_State.gui_Callback = str2func(varargin{1});
end

if nargout
    [varargout{1:nargout}] = gui_mainfcn(gui_State, varargin{:});
else
    gui_mainfcn(gui_State, varargin{:});
end
% End initialization code - DO NOT EDIT


% --- Executes just before face is made visible.
function face_OpeningFcn(hObject, eventdata, handles, varargin)
% This function has no output args, see OutputFcn.
% hObject    handle to figure
% eventdata  reserved - to be defined in a future version of MATLAB
% handles    structure with handles and user data (see GUIDATA)
% varargin   command line arguments to face (see VARARGIN)

% Choose default command line output for face
handles.output = hObject;

% Update handles structure
guidata(hObject, handles);

% UIWAIT makes face wait for user response (see UIRESUME)
% uiwait(handles.figure1);


% --- Outputs from this function are returned to the command line.
function varargout = face_OutputFcn(hObject, eventdata, handles) 
% varargout  cell array for returning output args (see VARARGOUT);
% hObject    handle to figure
% eventdata  reserved - to be defined in a future version of MATLAB
% handles    structure with handles and user data (see GUIDATA)

% Get default command line output from handles structure
varargout{1} = handles.output;


% --- Executes on button press in pushbutton1.
function pushbutton1_Callback(hObject, eventdata, handles)
% hObject    handle to pushbutton1 (see GCBO)
% eventdata  reserved - to be defined in a future version of MATLAB
% handles    structure with handles and user data (see GUIDATA)

% read image to be recognize
global im;
[filename, pathname] = uigetfile({'*.bmp'},'choose photo');
str = [pathname, filename];
im = imread(str);
axes( handles.axes1);
imshow(im);


% --- Executes on button press in pushbutton2.
function pushbutton2_Callback(hObject, eventdata, handles)
% hObject    handle to pushbutton2 (see GCBO)
% eventdata  reserved - to be defined in a future version of MATLAB
% handles    structure with handles and user data (see GUIDATA)

global im
global reference
global W
global imgmean
global col_of_data
global pathname
global img_path_list

% 预处理新数据
im = double(im(:));
objectone = W'*(im - imgmean);
distance = 100000000;

% 最小距离法,寻找和待识别图片最为接近的训练图片
for k = 1:col_of_data
    temp = norm(objectone - reference(:,k));
    if(distance>temp)
        aimone = k;
        distance = temp;
        aimpath = strcat(pathname, '/', img_path_list(aimone).name);
        axes( handles.axes2 )
        imshow(aimpath)
    end
end

% 显示测试结果
% aimpath = strcat(pathname, '/', img_path_list(aimone).name);
% axes( handles.axes2 )
% imshow(aimpath)
  • 1.
  • 2.
  • 3.
  • 4.
  • 5.
  • 6.
  • 7.
  • 8.
  • 9.
  • 10.
  • 11.
  • 12.
  • 13.
  • 14.
  • 15.
  • 16.
  • 17.
  • 18.
  • 19.
  • 20.
  • 21.
  • 22.
  • 23.
  • 24.
  • 25.
  • 26.
  • 27.
  • 28.
  • 29.
  • 30.
  • 31.
  • 32.
  • 33.
  • 34.
  • 35.
  • 36.
  • 37.
  • 38.
  • 39.
  • 40.
  • 41.
  • 42.
  • 43.
  • 44.
  • 45.
  • 46.
  • 47.
  • 48.
  • 49.
  • 50.
  • 51.
  • 52.
  • 53.
  • 54.
  • 55.
  • 56.
  • 57.
  • 58.
  • 59.
  • 60.
  • 61.
  • 62.
  • 63.
  • 64.
  • 65.
  • 66.
  • 67.
  • 68.
  • 69.
  • 70.
  • 71.
  • 72.
  • 73.
  • 74.
  • 75.
  • 76.
  • 77.
  • 78.
  • 79.
  • 80.
  • 81.
  • 82.
  • 83.
  • 84.
  • 85.
  • 86.
  • 87.
  • 88.
  • 89.
  • 90.
  • 91.
  • 92.
  • 93.
  • 94.
  • 95.
  • 96.
  • 97.
  • 98.
  • 99.
  • 100.
  • 101.
  • 102.
  • 103.
  • 104.
  • 105.
  • 106.
  • 107.
  • 108.
  • 109.
  • 110.
  • 111.
  • 112.
  • 113.
  • 114.
  • 115.
  • 116.
  • 117.
  • 118.
  • 119.
  • 120.
  • 121.
  • 122.
  • 123.
  • 124.
  • 125.

【人脸识别】基于模板匹配算法实现人脸识别matlab源码_图像处理_07