人工蜂群算法(Artificial Bee Colony, ABC)是由Karaboga于2005年提出的一种新颖的基于群智能的全局优化算法,其直观背景来源于蜂群的采蜜行为,蜜蜂根据各自的分工进行不同的活动,并实现蜂群信息的共享和交流,从而找到问题的最优解。人工蜂群算法属于群智能算法的一种。
二、人工蜂群算法的原理1、原理
标准的ABC算法通过模拟实际蜜蜂的采蜜机制将人工蜂群分为3类: 采蜜蜂、观察蜂和侦察蜂。整个蜂群的目标是寻找花蜜量最大的蜜源。在标准的ABC算法中,采蜜蜂利用先前的蜜源信息寻找新的蜜源并与观察蜂分享蜜源信息;观察蜂在蜂房中等待并依据采蜜蜂分享的信息寻找新的蜜源;侦查蜂的任务是寻找一个新的有价值的蜜源,它们在蜂房附近随机地寻找蜜源。
假设问题的解空间是D维的,采蜜蜂与观察蜂的个数都是SN,采蜜蜂的个数或观察蜂的个数与蜜源的数量相等。则标准的ABC算法将优化问题的求解过程看成是在D维搜索空间中进行搜索。每个蜜源的位置代表问题的一个可能解,蜜源的花蜜量对应于相应的解的适应度。一个采蜜蜂与一个蜜源是相对应的。与第i个蜜源相对应的采蜜蜂依据如下公式寻找新的蜜源:

其中,,
,
,
是区间
上的随机数,
。标准的ABC算法将新生成的可能解
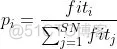
与原来的解作比较,并采用贪婪选择策略保留较好的解。每一个观察蜂依据概率选择一个蜜源,概率公式为

其中,是可能解的适应值。对于被选择的蜜源,观察蜂根据上面概率公式搜寻新的可能解。当所有的采蜜蜂和观察蜂都搜索完整个搜索空间时,如果一个蜜源的适应值在给定的步骤内(定义为控制参数“limit”) 没有被提高, 则丢弃该蜜源,而与该蜜源相对应的采蜜蜂变成侦查蜂,侦查蜂通过已下公式搜索新的可能解。

其中,
是区间
上的随机数,
和
是第
维的下界和上界。
2、流程
-
初始化;
-
重复以下过程:
-
将采蜜蜂与蜜源一一对应,根据上面第一个公式更新蜜源信息,同时确定蜜源的花蜜量;
-
观察蜂根据采蜜蜂所提供的信息采用一定的选择策略选择蜜源,根据第一个公式更新蜜源信息,同时确定蜜源的花蜜量;
-
确定侦查蜂,并根据第三个公式寻找新的蜜源;
-
记忆迄今为止最好的蜜源;
-
-
判断终止条件是否成立;
对于函数

其中
。
%% Copyright (c) 2015, Yarpiz (www.yarpiz.com)% All rights reserved. Please read the "license.txt" for license terms.%% Project Code: YPEA114% Project Title: Implementation of Artificial Bee Colony in MATLAB% Publisher: Yarpiz (www.yarpiz.com)%% Developer: S. Mostapha Kalami Heris (Member of Yarpiz Team)%% Contact Info: sm.kalami@gmail.com, info@yarpiz.com%clc;clear;close all;%% Problem DefinitionCostFunction=@(x) Sphere(x); % Cost FunctionnVar=5; % Number of Decision VariablesVarSize=[1 nVar]; % Decision Variables Matrix SizeVarMin=-10; % Decision Variables Lower BoundVarMax= 10; % Decision Variables Upper Bound%% ABC SettingsMaxIt=200; % Maximum Number of IterationsnPop=100; % Population Size (Colony Size)nOnlooker=nPop; % Number of Onlooker BeesL=round(0.6*nVar*nPop); % Abandonment Limit Parameter (Trial Limit)a=1; % Acceleration Coefficient Upper Bound%% Initialization% Empty Bee Structureempty_bee.Position=[];empty_bee.Cost=[];% Initialize Population Arraypop=repmat(empty_bee,nPop,1);% Initialize Best Solution Ever FoundBestSol.Cost=inf;% Create Initial Populationfor i=1:nPoppop(i).Position=unifrnd(VarMin,VarMax,VarSize);pop(i).Cost=CostFunction(pop(i).Position);if pop(i).Cost<=BestSol.CostBestSol=pop(i);endend% Abandonment CounterC=zeros(nPop,1);% Array to Hold Best Cost ValuesBestCost=zeros(MaxIt,1);%% ABC Main Loopfor it=1:MaxIt% Recruited Beesfor i=1:nPop% Choose k randomly, not equal to iK=[1:i-1 i+1:nPop];k=K(randi([1 numel(K)]));% Define Acceleration Coeff.phi=a*unifrnd(-1,+1,VarSize);% New Bee Positionnewbee.Position=pop(i).Position+phi.*(pop(i).Position-pop(k).Position);% Evaluationnewbee.Cost=CostFunction(newbee.Position);% Comparisionif newbee.Cost<=pop(i).Costpop(i)=newbee;elseC(i)=C(i)+1;endend% Calculate Fitness Values and Selection ProbabilitiesF=zeros(nPop,1);MeanCost = mean([pop.Cost]);for i=1:nPopF(i) = exp(-pop(i).Cost/MeanCost); % Convert Cost to FitnessendP=F/sum(F);% Onlooker Beesfor m=1:nOnlooker% Select Source Sitei=RouletteWheelSelection(P);% Choose k randomly, not equal to iK=[1:i-1 i+1:nPop];k=K(randi([1 numel(K)]));% Define Acceleration Coeff.phi=a*unifrnd(-1,+1,VarSize);% New Bee Positionnewbee.Position=pop(i).Position+phi.*(pop(i).Position-pop(k).Position);% Evaluationnewbee.Cost=CostFunction(newbee.Position);% Comparisionif newbee.Cost<=pop(i).Costpop(i)=newbee;elseC(i)=C(i)+1;endend% Scout Beesfor i=1:nPopif C(i)>=Lpop(i).Position=unifrnd(VarMin,VarMax,VarSize);pop(i).Cost=CostFunction(pop(i).Position);C(i)=0;endend% Update Best Solution Ever Foundfor i=1:nPopif pop(i).Cost<=BestSol.CostBestSol=pop(i);endend% Store Best Cost Ever FoundBestCost(it)=BestSol.Cost;% Display Iteration Informationdisp(['Iteration ' num2str(it) ': Best Cost = ' num2str(BestCost(it))]);end%% Resultsfigure;%plot(BestCost,'LineWidth',2);semilogy(BestCost,'LineWidth',2);xlabel('Iteration');ylabel('Best Cost');grid on;
- 1.
- 1.
- 1.
- 1.
- 1.
- 1.
- 1.
- 1.
- 1.
- 1.
- 1.
- 1.
- 1.
- 1.
- 1.
- 1.
- 1.
- 1.
- 1.
- 1.
- 1.
- 1.
- 1.
- 1.
- 1.
- 1.
- 1.
- 1.
- 1.
- 1.
- 1.
- 1.
- 1.
- 1.
- 1.
- 1.
- 1.
- 1.
- 1.
- 1.
- 1.
- 1.
- 1.
- 1.
- 1.
- 1.
- 1.
- 1.
- 1.
- 1.
- 1.
- 1.
- 1.
- 1.
- 1.
- 1.
- 1.
- 1.
- 1.
- 1.
- 1.
- 1.
- 1.
- 1.
- 1.
- 1.
- 1.
- 1.
- 1.
- 1.
- 1.
- 1.
- 1.
- 1.
- 1.
- 1.
- 1.
- 1.
- 1.
- 1.
- 1.
- 1.
- 1.
- 1.
- 1.
- 1.
- 1.
- 1.
- 1.
- 1.
- 1.
- 1.
- 1.
- 1.
- 1.
- 1.
- 1.
- 1.
- 1.
- 1.
- 1.
- 1.
- 1.
- 1.
- 1.
- 1.
- 1.
- 1.
- 1.
- 1.
- 1.
- 1.
- 1.
- 1.
- 1.
- 1.
- 1.
- 1.
- 1.
- 1.
- 1.
- 1.
- 1.
- 1.
- 1.
- 1.
- 1.
- 1.
- 1.
- 1.
- 1.
- 1.
- 1.
- 1.
- 1.
- 1.
- 1.
- 1.
- 1.
- 1.
- 1.
- 1.
- 1.
- 1.
- 1.
- 1.
- 1.
- 1.
- 1.
- 1.
- 1.
- 1.
- 1.
- 1.
- 1.
- 1.
- 1.
- 1.
- 1.
- 1.
- 1.
- 1.
- 1.
- 1.
- 1.
function [SX0]=observe(Q,Lmin,Lmax)%生成的S1为 population行*C列%但是要保证生成的阈值第一个比后一个小,且不能为图像的最大、小灰度值global population C;P=zeros(8*C,1);w=[1,2,4,8,16,32,64,128];SX0=zeros(population,C);num=3;flag=1;i=1;ill=0;while i<=populationR=rand(8*C,1);P(:,1)=R(:,1)>=(Q(:,1,i).^2);k=1;while k<=Ct=(k-1)*8+1;SX0(i,k)=w(1,:)*double(P(t:t+7,1));temp=1;while (SX0(i,k)<=Lmin || SX0(i,k)>=Lmax || ((k>1) && SX0(i,k)<=SX0(i,k-1))) && (temp<=num)Rt=rand(8,1);P(t:t+7,1)=Rt(:,1)>=(Q(t:t+7,1,i).^2);SX0(i,k)=w(1,:)*double(P(t:t+7,1));temp=temp+1;endif (temp>num) && (SX0(i,k)<=Lmin || SX0(i,k)>=Lmax || ((k>1) && SX0(i,k)<=SX0(i,k-1)))flag=0; %表示此组数据不合理ill=ill+1;R=rand(8*C,1);P(:,1)=R(:,1)>=(Q(:,1,i).^2); %有时会出现停滞状态,由于此处的Q的artha==1k=1;elseflag=1;ill=0;k=k+1;endif ill>=3Q(:,:,i)=ones(8*C,2,1)/sqrt(2);endend %% while k<=Ci=i+1;end% % fid = fopen('data.txt', 'wt');% % for j=1:C% % for i=1:population% %% % fprintf(fid, ' %4.0f ',SX0(i,j));% % if i==population% % fprintf(fid, '\n');% % end% % end% % % % fwrite(fid,SX0(:,j),'integer*population');% % % % fwrite(fid,'\n','char');% %% % end% % fclose(fid);
- 1.
- 1.
- 1.
- 1.
- 1.
- 1.
- 1.
- 1.
- 1.
- 1.
- 1.
- 1.
- 1.
- 1.
- 1.
- 1.
- 1.
- 1.
- 1.
- 1.
- 1.
- 1.
- 1.
- 1.
- 1.
- 1.
- 1.
- 1.
- 1.
- 1.
- 1.
- 1.
- 1.
- 1.
- 1.
- 1.
- 1.
- 1.
- 1.
- 1.
- 1.
- 1.
- 1.
- 1.
- 1.
- 1.
- 1.
- 1.
- 1.
- 1.
- 1.
- 1.
- 1.
- 1.
- 1.
- 1.
- 1.
- 1.
- 1.
- 1.
- 1.

782

被折叠的 条评论
为什么被折叠?



