👨🎓个人主页
💥💥💞💞欢迎来到本博客❤️❤️💥💥
🏆博主优势:🌞🌞🌞博客内容尽量做到思维缜密,逻辑清晰,为了方便读者。
⛳️座右铭:行百里者,半于九十。
💥1 概述
基于线性准则的考虑风力发电不确定性的分布鲁棒优化机组组合研究
摘要:该文提出一种分布鲁棒优化模型,用于求解考虑波动性风力发电的机组组合(UC)问题。风电的不确定性由定义风力发电分布系列的模糊集捕获,并且最坏情况下分布下的预期总成本最小化。与随机规划相比,该方法对精确概率分布数据的依赖性较小。它还应该优于传统的鲁棒优化方法,因为可以将一些分布信息合并到模糊集中以产生不太保守的结果。本文基于典型的两阶段框架,在观察风电结果后,以此时此地的方式确定UC决策,并假设经济调度决策是观望的。对于计算的可追踪性,假设经济调度决策明显依赖于不确定参数以及为描述风力发电分布特征而引入的辅助随机变量,则通过线性决策规则近似来解决观望决策。在案例研究中表明,该决策规则模型倾向于提供原始两阶段问题的紧密近似,并且通过将风力分布信息合并到鲁棒模型中可以大大提高UC解决方案的性能。 随着风力发电在电力系统中的渗透率不断提高,其固有的间歇性和波动性给电力系统的运行和调度带来了严峻挑战。本文聚焦于基于线性准则的分布鲁棒优化(DRO)方法在机组组合问题中的应用,旨在有效应对风力发电的不确定性。通过构建基于线性距离度量(如Wasserstein距离)的不确定性集,该模型能够在最坏分布下寻求最优调度策略,从而提高电力系统的鲁棒性和经济性。研究结果表明,该方法相比传统确定性优化和随机规划方法具有显著优势,能够在保证系统可靠性的同时降低运行成本。
关键词:风力发电;不确定性;分布鲁棒优化;机组组合;线性准则
一、引言
1.1 研究背景
风电在能源系统中渗透率的快速增长极大地减少了化石燃料的消耗和温室气体的排放。它也在改变电力系统的运行方式,因为风电的出力具有高度不确定性和间歇性,无法进行经典意义上的调度。因此,需要新的方法来建模机组组合( UC )问题中的不确定风力发电。
在风力发电的UC和调度的所有不确定性模型中,随机规划在过去的十年中得到了最广泛的研究。这些研究表明,在系统不确定的情况下,随机模型可以提高机组组合决策的期望性能。然而,由于系统不确定性的场景表示,随机规划方法在计算上具有挑战性。这一困难通常通过先进的场景选择算法和分解技术来解决。
在存在不确定性的情况下进行优化的另一种工具是鲁棒优化[10]。该方法在确定性不确定集合内最小化所有可能实现的最坏情况总成本,因此可以在不知道随机参数确切分布的情况下进行决策。近年来,鲁棒优化在求解UC问题中的应用越来越受到重视。例如,在[ 11 ]和[ 12 ]中,鲁棒优化被用来优化最坏情况下的机组停运计划。Zhao等[ 13 ] - [ 18 ]通过可调鲁棒优化框架对不确定需求或可再生能源进行建模,Xiong和Jirutitijaroen [ 19 ]提出了鲁棒优化模型来解决机组停运和负荷不确定性的综合影响。尽管做出了这些努力,但是很难将分布信息适当地纳入鲁棒优化模型中,并且最坏情况的实现有时对模型过于悲观。
作为一种中间方法,分布鲁棒优化可以用来解决随机规划和鲁棒优化的局限性。这一思想最早由Scarf于1958年提出[ 21 ],近年来取得了很多进展[ 22 ] - [ 26 ]。该模型在一组具有统计特性的概率分布上最小化最坏情况下的期望成本,例如不确定变量的支持度和矩,而不是假设单一的候选分布,因此对概率数据的不完整性和不准确性具有鲁棒性。基于这些性质的分布信息可以被纳入优化问题中,得到比无分布优化更少保守的解。
通过定义一系列风电分布的模糊性集来捕捉风电的不确定性,并在最坏情况分布下最小化预期总成本。与随机规划相比,该方法对精确概率分布数据的依赖性较小。该方法的性能也优于传统的鲁棒优化方法,因为它可以将一些分布信息纳入模糊集,从而产生保守性较低的结果。为了便于计算,假设经济调度决策与不确定参数和描述风力发电分布特征的辅助随机变量亲和依赖,采用线性决策规则逼近的方法处理等待决策。
在全球积极应对气候变化和能源转型的大背景下,风力发电作为一种清洁、可再生的能源形式,在能源格局中的地位日益重要。国际能源署(IEA)的数据显示,近年来全球风电装机容量持续高速增长。以中国为例,截至2023年底,风电累计装机容量达到380GW,占全国发电总装机容量的14.3%,风电发电量占全国总发电量的7.7%。然而,风力发电具有显著的随机性和波动性,风速受气象条件影响较大,预测误差难以避免,这使得风力发电的出力呈现出高度的不确定性。这种不确定性对电力系统的运行和调度带来了严峻挑战,可能导致系统功率不平衡、电压不稳定、运行成本增加等问题。
1.2 研究意义
传统的电力系统优化方法,如确定性优化方法,通常基于固定的参数和假设条件进行建模和求解,在处理风电功率不确定性问题时缺乏鲁棒性。随机优化方法虽然考虑了风电功率的概率分布信息,但依赖于准确的概率分布假设,而在实际中,由于气象条件的复杂性和多变性,风电功率的概率分布往往难以精确获取。分布鲁棒优化方法结合了随机优化和鲁棒优化的思想,为解决风电功率不确定性问题提供了新的有效途径。它不再依赖于精确的概率分布假设,而是通过构建一个包含多种可能概率分布的不确定性集合,考虑在该集合中最不利概率分布下电力系统的最优运行策略,能够有效平衡优化结果的经济性和鲁棒性。
二、文献综述
2.1 风力发电不确定性研究现状
风电功率的不确定性主要源于风能本身的特性,如大气环流、地形地貌、季节变化等复杂气象条件的影响。学者们主要采用基于物理模型的方法和基于数据的分析方法来研究风电功率的不确定性。基于物理模型的方法通过建立风电机组的空气动力学模型和风速模型来分析风电功率的不确定性,但模型参数的确定较为复杂,且对实际运行环境的适应性有限。随着数据驱动技术的发展,基于数据的分析方法逐渐成为主流,如运用机器学习中的支持向量机算法、长短期记忆网络(LSTM)等建立风电功率预测模型,通过模型输出的概率分布来描述风电功率的不确定性,但依赖于大量高质量的数据,且模型的可解释性较差。
2.2 电力系统优化方法研究现状
传统的电力系统优化方法包括确定性优化方法和随机优化方法。确定性优化方法将风电功率视为已知的确定值或采用简单的预测值代替实际值,在风电功率出现较大波动时,制定的发电计划可能无法满足电力供需平衡,导致电网运行成本增加、可靠性下降。随机优化方法考虑了风电功率的概率分布信息,通过构建随机模型来描述风电功率的不确定性,但依赖于准确的概率分布数据,且计算量通常较大。鲁棒优化方法在确定性不确定集合内最小化所有可能实现的最坏情况总成本,但难以将分布信息适当地纳入模型中,最坏情况的实现有时对模型过于悲观。
2.3 分布鲁棒优化方法研究现状
分布鲁棒优化方法最早由Scarf于1958年提出,近年来取得了很多进展。该方法在一组具有统计特性的概率分布上最小化最坏情况下的期望成本,例如不确定变量的支持度和矩,而不是假设单一的候选分布,因此对概率数据的不完整性和不准确性具有鲁棒性。在电力系统领域,分布鲁棒优化方法已经得到了广泛应用,如用于电力系统经济调度、最优潮流等问题,有效提高了电力系统在不确定环境下的运行可靠性和经济性。
三、理论基础
3.1 分布鲁棒优化基本概念
分布鲁棒优化是一种处理不确定性的优化方法,它不再依赖于精确的概率分布假设,而是通过构建一个不确定性集合,该集合包含多种可能的概率分布。在优化过程中,考虑在该集合中最不利概率分布下目标函数的最优解,从而保证优化结果在最坏情况下仍具有一定的性能。
3.2 线性准则与不确定性集
线性准则,例如Wasserstein距离(也称为Earth Mover's Distance),提供了一种衡量概率分布之间“距离”的度量。基于线性距离的不确定性集可以有效地描述真实分布可能存在的偏差范围。Wasserstein距离具有良好的数学性质,并且可以通过对偶理论将DRO问题转化为一个具有良好性质的凸优化问题,从而便于求解。基于Wasserstein距离的不确定性集可以描述真实分布与参考分布之间的偏差范围,反映了预测误差的潜在影响。
3.3 机组组合问题描述
机组组合(Unit Commitment, UC)问题是电力系统运行和调度的核心问题之一。其目标是在满足电力系统各种运行约束(如负荷平衡、机组启停限制、备用要求、输电线路容量等)的前提下,确定各发电机组在未来一段时间内的启停状态和出力水平,以使总运行成本(包括燃料成本、启停成本、维护成本等)最小。传统的UC问题是一个混合整数线性规划(MILP)问题,具有较高的计算复杂度。
四、基于线性准则的分布鲁棒优化机组组合模型构建
4.1 模型假设
- 假设电力系统中包含常规发电机组和风力发电机组。
- 假设风力发电的出力具有不确定性,其真实分布属于一个由Wasserstein距离定义的不确定性集。
- 假设经济调度决策与不确定参数和描述风力发电分布特征的辅助随机变量亲和依赖。
4.2 符号定义

- 参数:
4.3 目标函数
模型的目标是在最坏分布下最小化预期总成本,包括发电成本、启动成本和失负荷惩罚成本。目标函数可以表示为:

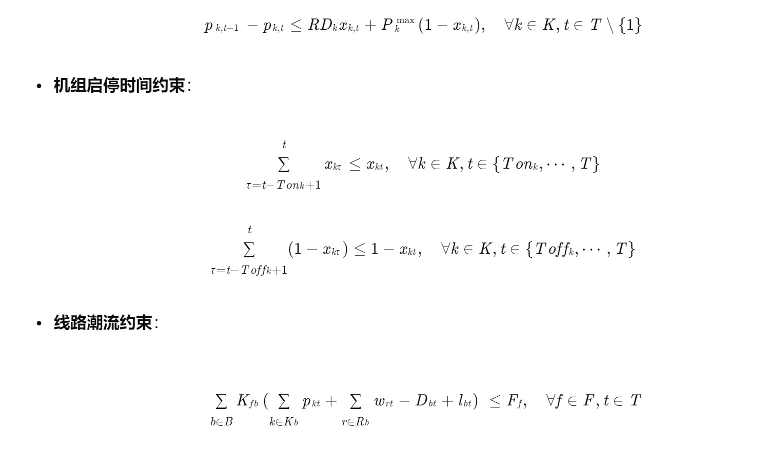
4.4 约束条件
-
负荷平衡约束:


- 不确定性集约束:基于Wasserstein距离定义的不确定性集对风电预测误差 vrt 的分布进行约束。
五、模型求解方法
5.1 对偶理论转化
基于Wasserstein距离的不确定性集的一个显著优势是,其内部最大化问题通常可以通过对偶理论转化为一个易于处理的优化问题。将原问题中的内部最大化问题转化为对偶问题,可以得到一个凸优化问题,从而便于求解。
5.2 分解算法
由于第一阶段决策变量是整数变量,整个问题仍然是一个混合整数优化问题。常用的求解技术包括Benders分解算法。将问题分解为第一阶段主问题(确定性)和第二阶段子问题(考虑不确定性)。子问题通过求解对偶问题生成Benders割,添加到主问题中进行迭代,直到满足收敛条件。
六、案例分析
6.1 案例数据准备
选择一个具有代表性的电力系统案例,采集实时监测和记录的风电出力数据、电力负荷数据等。对数据进行清洗、整理和转换,确保数据质量和可用性。选择具有不同特征的风电出力数据,以确保分析结果的准确性和可靠性。
6.2 实施步骤
- 建立电力系统模型,定义优化目标为最小化总运行成本,确定上述约束条件。
- 应用基于线性准则的分布鲁棒优化机组组合模型进行求解,采用Benders分解算法进行迭代计算。
- 记录不同场景下的优化结果,包括机组启停状态、出力水平、总运行成本等。
6.3 优化结果分析
- 对比不同方案下的系统总成本,分析基于线性准则的分布鲁棒优化模型相比传统确定性优化和随机规划方法的优势。
- 评估风电出力不确定性对系统的影响,分析优化算法在不同风电出力场景下的收敛性和鲁棒性。
- 总结优化结果与实际应用的适用性和局限性,提出针对性的改进建议,如调整不确定性集大小参数、优化求解算法参数等。
七、结论与展望
7.1 研究结论
本文提出的基于线性准则的考虑风力发电不确定性的分布鲁棒优化机组组合模型,能够有效应对风力发电的不确定性。通过构建基于Wasserstein距离的不确定性集,在最坏分布下寻求最优调度策略,提高了电力系统的鲁棒性和经济性。案例分析结果表明,该方法相比传统确定性优化和随机规划方法具有显著优势,能够在保证系统可靠性的同时降低运行成本。
7.2 研究不足与展望
本研究仍存在一些不足之处,例如如何选择合适的参考分布和不确定性集大小参数仍需要进一步研究;在实际应用中,还需要考虑更多的实际约束条件。未来的研究方向可以包括进一步优化不确定性集的构建方法,提高模型的计算效率;结合更多的实际数据和案例进行验证和改进;将该方法应用于更复杂的电力系统场景,如综合能源系统等。


🎉3 参考文献
部分理论来源于网络,如有侵权请联系删除。

871

被折叠的 条评论
为什么被折叠?



