✅作者简介:热爱科研的Matlab仿真开发者,擅长数据处理、建模仿真、程序设计、完整代码获取、论文复现及科研仿真。
🍎 往期回顾关注个人主页:Matlab科研工作室
🍊个人信条:格物致知,完整Matlab代码及仿真咨询内容私信。
🔥 内容介绍
悬链机器人是一类以柔性缆绳为核心传动或支撑部件的特种机器人,广泛应用于桥梁检测、物流运输、高空作业等场景。其核心特征是通过缆绳的张力变化与长度调节实现运动姿态控制,但传统悬链机器人常依赖固定基座或轨道约束,灵活性与作业范围受限。
四旋翼飞行器具有垂直起降、hover(悬停)稳定、运动机动性强的优势,若采用两个四旋翼飞行器作为移动动力单元,通过柔性缆绳连接形成 “双旋翼 - 缆绳” 耦合系统,可突破固定基座限制,模拟悬链机器人的 “缆绳张力调节 - 姿态控制 - 负载搬运” 动态特性,同时扩展作业空间(如跨峡谷、高空无依托场景)。
本研究的核心价值在于:
- 突破传统悬链机器人的空间约束:利用四旋翼的机动性,实现无固定基座的悬链动态模拟,适用于复杂或危险环境作业;
- 建立 “刚性旋翼 - 柔性缆绳” 耦合控制理论:解决柔性缆绳的弹性形变、张力波动与四旋翼姿态稳定性的耦合问题;
- 为多旋翼 - 缆绳协同系统提供设计范式:可推广至物流运输、应急救援等场景(如双旋翼协同通过缆绳吊运物资)。
二、系统建模:双四旋翼 - 缆绳耦合动力学分析
要实现悬链机器人动态模拟,需先建立 “四旋翼个体动力学 - 缆绳柔性动力学 - 系统耦合作用” 的完整模型,明确各部件间的力与运动传递关系。




四、控制策略设计:分层控制与动态补偿
针对 “双旋翼 - 缆绳” 系统的强耦合、非线性特性,设计三层控制架构:底层姿态控制(四旋翼个体稳定)、中层张力控制(缆绳动态调节)、顶层协同控制(系统整体轨迹跟踪),同时引入动态补偿机制应对干扰。



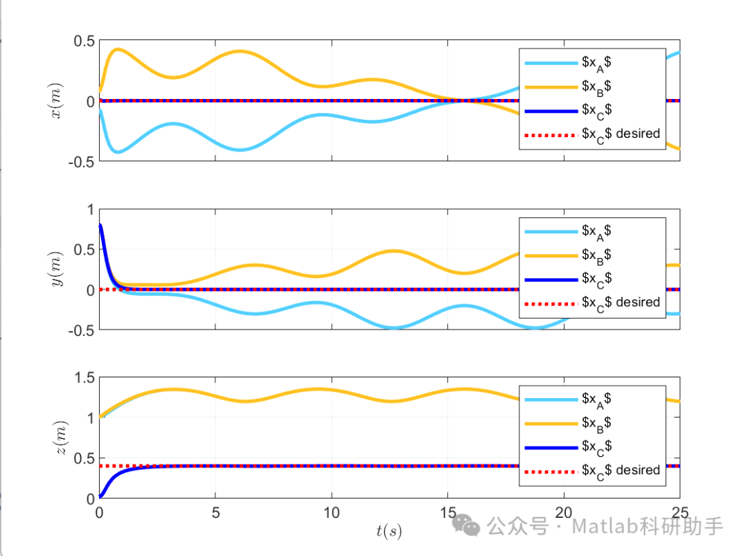
⛳️ 运行结果


🔗 参考文献
[1] 李颖.拖曳缆绳反悬链方程及在拖曳锚运动模型中的应用[D].天津大学,2010.DOI:10.7666/d.y1925227.
[2] 许浩.拖曳缆绳反悬链特性的实验研究[D].天津大学,2010.DOI:10.7666/d.y1925048.
[3] 熊俊.系泊及安装缆绳在海床中三维构形和输力规律的理论研究[D].天津大学,2019.
📣 部分代码
🎈 部分理论引用网络文献,若有侵权联系博主删除
👇 关注我领取海量matlab电子书和数学建模资料
🏆团队擅长辅导定制多种科研领域MATLAB仿真,助力科研梦:
🌈 各类智能优化算法改进及应用
生产调度、经济调度、装配线调度、充电优化、车间调度、发车优化、水库调度、三维装箱、物流选址、货位优化、公交排班优化、充电桩布局优化、车间布局优化、集装箱船配载优化、水泵组合优化、解医疗资源分配优化、设施布局优化、可视域基站和无人机选址优化、背包问题、 风电场布局、时隙分配优化、 最佳分布式发电单元分配、多阶段管道维修、 工厂-中心-需求点三级选址问题、 应急生活物质配送中心选址、 基站选址、 道路灯柱布置、 枢纽节点部署、 输电线路台风监测装置、 集装箱调度、 机组优化、 投资优化组合、云服务器组合优化、 天线线性阵列分布优化、CVRP问题、VRPPD问题、多中心VRP问题、多层网络的VRP问题、多中心多车型的VRP问题、 动态VRP问题、双层车辆路径规划(2E-VRP)、充电车辆路径规划(EVRP)、油电混合车辆路径规划、混合流水车间问题、 订单拆分调度问题、 公交车的调度排班优化问题、航班摆渡车辆调度问题、选址路径规划问题、港口调度、港口岸桥调度、停机位分配、机场航班调度、泄漏源定位
🌈 机器学习和深度学习时序、回归、分类、聚类和降维
2.1 bp时序、回归预测和分类
2.2 ENS声神经网络时序、回归预测和分类
2.3 SVM/CNN-SVM/LSSVM/RVM支持向量机系列时序、回归预测和分类
2.4 CNN|TCN|GCN卷积神经网络系列时序、回归预测和分类
2.5 ELM/KELM/RELM/DELM极限学习机系列时序、回归预测和分类
2.6 GRU/Bi-GRU/CNN-GRU/CNN-BiGRU门控神经网络时序、回归预测和分类
2.7 ELMAN递归神经网络时序、回归\预测和分类
2.8 LSTM/BiLSTM/CNN-LSTM/CNN-BiLSTM/长短记忆神经网络系列时序、回归预测和分类
2.9 RBF径向基神经网络时序、回归预测和分类
2.10 DBN深度置信网络时序、回归预测和分类
2.11 FNN模糊神经网络时序、回归预测
2.12 RF随机森林时序、回归预测和分类
2.13 BLS宽度学习时序、回归预测和分类
2.14 PNN脉冲神经网络分类
2.15 模糊小波神经网络预测和分类
2.16 时序、回归预测和分类
2.17 时序、回归预测预测和分类
2.18 XGBOOST集成学习时序、回归预测预测和分类
2.19 Transform各类组合时序、回归预测预测和分类
方向涵盖风电预测、光伏预测、电池寿命预测、辐射源识别、交通流预测、负荷预测、股价预测、PM2.5浓度预测、电池健康状态预测、用电量预测、水体光学参数反演、NLOS信号识别、地铁停车精准预测、变压器故障诊断
🌈图像处理方面
图像识别、图像分割、图像检测、图像隐藏、图像配准、图像拼接、图像融合、图像增强、图像压缩感知
🌈 路径规划方面
旅行商问题(TSP)、车辆路径问题(VRP、MVRP、CVRP、VRPTW等)、无人机三维路径规划、无人机协同、无人机编队、机器人路径规划、栅格地图路径规划、多式联运运输问题、 充电车辆路径规划(EVRP)、 双层车辆路径规划(2E-VRP)、 油电混合车辆路径规划、 船舶航迹规划、 全路径规划规划、 仓储巡逻
🌈 无人机应用方面
无人机路径规划、无人机控制、无人机编队、无人机协同、无人机任务分配、无人机安全通信轨迹在线优化、车辆协同无人机路径规划
🌈 通信方面
传感器部署优化、通信协议优化、路由优化、目标定位优化、Dv-Hop定位优化、Leach协议优化、WSN覆盖优化、组播优化、RSSI定位优化、水声通信、通信上传下载分配
🌈 信号处理方面
信号识别、信号加密、信号去噪、信号增强、雷达信号处理、信号水印嵌入提取、肌电信号、脑电信号、信号配时优化、心电信号、DOA估计、编码译码、变分模态分解、管道泄漏、滤波器、数字信号处理+传输+分析+去噪、数字信号调制、误码率、信号估计、DTMF、信号检测
🌈电力系统方面
微电网优化、无功优化、配电网重构、储能配置、有序充电、MPPT优化、家庭用电
🌈 元胞自动机方面
交通流 人群疏散 病毒扩散 晶体生长 金属腐蚀
🌈 雷达方面
卡尔曼滤波跟踪、航迹关联、航迹融合、SOC估计、阵列优化、NLOS识别
🌈 车间调度
零等待流水车间调度问题NWFSP 、 置换流水车间调度问题PFSP、 混合流水车间调度问题HFSP 、零空闲流水车间调度问题NIFSP、分布式置换流水车间调度问题 DPFSP、阻塞流水车间调度问题BFSP
👇
970

被折叠的 条评论
为什么被折叠?



