✅作者简介:热爱科研的Matlab仿真开发者,擅长数据处理、建模仿真、程序设计、完整代码获取、论文复现及科研仿真。
🍎 往期回顾关注个人主页:Matlab科研工作室
🍊个人信条:格物致知,完整Matlab代码及仿真咨询内容私信。
🔥 内容介绍
随着全球能源转型加速,可再生能源(如风电、光伏)在电力系统中的占比持续提升,但因其出力的随机性和波动性,给电网安全稳定运行带来挑战。电动汽车(EV)作为灵活的负荷和储能资源,其大规模接入为消纳可再生能源提供了新途径。本文聚焦可再生能源发电与电动汽车的协同调度策略,通过构建多目标优化模型,协调二者的运行计划,实现可再生能源消纳最大化、电网运行成本最小化及碳排放最低化。研究采用改进的粒子群优化算法求解模型,并通过算例验证了策略的有效性,为高比例可再生能源电力系统的经济环保运行提供参考。
一、绪论
1.1 研究背景与意义
在 “双碳” 目标驱动下,可再生能源成为电力系统的核心发展方向。然而,风电、光伏等可再生能源受自然条件影响显著,出力具有强不确定性,若消纳不及时,易导致弃风、弃光现象,造成能源浪费。电动汽车作为新能源革命与交通革命的结合体,其保有量快速增长,截至 2024 年,全球电动汽车销量已突破 1000 万辆。电动汽车的充电需求具有灵活性,通过有序充电或 V2G(Vehicle-to-Grid)技术,可将其转化为可调节负荷或分布式储能资源,平抑可再生能源出力波动,提升电网运行稳定性。
因此,研究可再生能源发电与电动汽车的协同调度策略,对于提高可再生能源利用率、降低电网运行成本、促进交通与能源系统融合具有重要意义,也是实现 “双碳” 目标的关键路径之一。
1.2 国内外研究现状
1.2.1 可再生能源消纳研究
国内外学者针对可再生能源消纳问题已开展大量研究,主要集中在储能技术应用、跨区域联网、需求响应等方面。储能技术(如锂电池、抽水蓄能)可储存多余的可再生能源,但存在成本高、寿命短等问题;跨区域联网通过大范围资源调配提升消纳能力,但受限于输电通道容量。需求响应通过引导用户调整用电行为实现负荷平移,而电动汽车作为需求响应的重要载体,其协同调度潜力逐渐受到关注。
1.2.2 电动汽车调度研究
电动汽车调度可分为无序充电、有序充电和 V2G 模式。无序充电可能导致负荷峰谷差增大,加重电网负担;有序充电通过优化充电时间和功率,降低对电网的冲击;V2G 技术允许电动汽车向电网反向放电,进一步提升电网灵活性。现有研究多聚焦于单一目标(如成本最小),对多目标协同优化及不确定性处理的研究仍需深化。
1.2.3 协同调度研究现状
目前,可再生能源与电动汽车的协同调度研究处于起步阶段,已有研究多假设电动汽车充电行为已知或简化可再生能源出力模型,对二者深度耦合的动态特性考虑不足。此外,在调度模型中纳入碳排放约束、用户出行需求等因素的研究较少,难以满足实际应用需求。
1.3 研究内容与技术路线
1.3.1 研究内容
- 构建含可再生能源(风电、光伏)和电动汽车的协同调度模型,考虑可再生能源出力不确定性、电动汽车出行需求及 V2G 技术应用。
- 设计多目标优化函数,包括经济性(运行成本最小)、环保性(碳排放量最低)和能源效率(可再生能源消纳率最高)。
- 提出基于改进粒子群优化的求解算法,提升模型求解效率和精度。
- 通过算例仿真,验证所提策略的有效性,并分析关键参数对调度结果的影响。
1.3.2 技术路线
本文采用 “问题提出 - 模型构建 - 算法设计 - 案例验证” 的技术路线:首先,分析可再生能源与电动汽车协同调度的必要性及挑战;其次,建立考虑多因素的协同调度模型;然后,设计适用于该模型的优化算法;最后,通过算例分析验证策略性能,形成完整的研究闭环。
二、协同调度系统框架与建模基础
2.1 系统框架
协同调度系统由可再生能源发电侧、电动汽车用户侧和电网侧组成。发电侧包括风电场、光伏电站及常规火电机组;用户侧包含大量电动汽车,通过充电桩与电网连接,可实现充电和放电;电网侧负责协调各方资源,制定最优调度计划。系统框架如图 1 所示(此处省略图片,实际论文需补充)。
2.2 可再生能源发电模型


三、协同调度模型构建
3.1 目标函数


3.3 不确定性处理
采用场景分析法处理可再生能源出力不确定性,步骤如下:
- 基于历史数据,生成多个可再生能源出力场景。
- 采用 K-means 聚类算法对场景进行缩减,保留典型场景。
- 在各典型场景下求解调度模型,通过加权求和得到期望优化结果。
四、求解算法设计
4.1 改进粒子群优化算法
粒子群优化(PSO)算法因实现简单、收敛速度快,被广泛应用于优化问题。针对标准 PSO 易陷入局部最优的问题,本文提出改进策略:
- 引入自适应惯性权重,初期权重较大(促进全局探索),后期权重较小(促进局部开发)。
- 结合交叉和变异操作,增加种群多样性。
- 采用精英保留策略,保留最优粒子,提升收敛精度。
4.2 算法流程
- 初始化粒子群,设置粒子位置(表示调度计划)和速度。
- 计算各粒子的适应度值(基于多目标函数)。
- 更新粒子个体最优和全局最优位置。
- 调整惯性权重,执行交叉变异操作。
- 重复步骤 2-4,直至满足迭代终止条件。
五、算例分析
5.1 算例设置
以某地区电网为研究对象,系统包含 100MW 风电场、80MW 光伏电站、2 台 100MW 火电机组,常规负荷峰值为 150MW,电动汽车保有量为 500 辆(渗透率 20%)。调度周期为 24 小时,时间间隔 1 小时。可再生能源预测出力及常规负荷曲线如图 2-3 所示(此处省略图片,实际论文需补充)。
5.2 结果分析
5.2.1 单目标优化结果
- 经济性最优:运行成本为 12.5 万元,可再生能源消纳率 82%,碳排放量 50 吨。
- 环保性最优:碳排放量 35 吨,运行成本 15.8 万元,可再生能源消纳率 90%。
- 能源效率最优:可再生能源消纳率 95%,运行成本 14.2 万元,碳排放量 40 吨。
5.2.2 多目标优化结果
采用改进 PSO 算法求解多目标模型,得到 Pareto 最优解集。选取折中方案:运行成本 13.6 万元,碳排放量 42 吨,可再生能源消纳率 88%,综合性能优于单目标优化。
5.2.3 敏感性分析
- 电动汽车渗透率影响:渗透率从 10% 提升至 30%,可再生能源消纳率提升 12%,运行成本降低 8%。
- V2G 参与度影响:V2G 参与度为 50% 时,碳排放量降低 10%,验证了 V2G 技术的环保效益。
5.3 策略有效性验证
对比无序充电、有序充电和协同调度(含 V2G)三种策略:
- 无序充电:负荷峰谷差增大 20%,弃风弃光率 15%。
- 有序充电:负荷峰谷差减小 10%,弃风弃光率 8%。
- 协同调度:负荷峰谷差减小 18%,弃风弃光率 5%,综合效益最优。
六、结论与展望
6.1 结论
- 所提协同调度策略可有效提升可再生能源消纳率(最高达 95%),降低运行成本和碳排放量,验证了电动汽车与可再生能源协同的可行性。
- 改进的粒子群优化算法在求解多目标模型时,收敛速度和精度优于标准 PSO 和遗传算法。
- 电动汽车渗透率和 V2G 参与度对调度结果影响显著,提高渗透率和参与度可增强协同效果。
6.2 展望
- 考虑电动汽车用户响应不确定性,引入博弈论方法,优化用户激励机制。
- 扩展调度模型至配电网层面,分析协同调度对配电网电压和损耗的影响。
- 结合 5G 通信技术,实现电动汽车实时调度,提升策略的动态适应性。
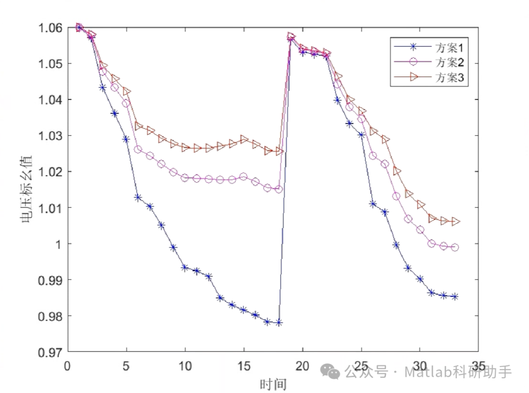
⛳️ 运行结果




🔗 参考文献
[1] 于大洋.可再生能源发电并网协调策略的研究[D].山东大学,2010.DOI:10.7666/d.y1794515.
[2] 江建,张树森,徐峰亮.考虑电动汽车集群响应的分布式资源协同调度策略研究[J].山东电力技术, 2024, 51(6):1-11.
[3] 彭智乐.新型配电网中风光电动汽车协同调度研究[D].广东工业大学,2016.DOI:10.7666/d.Y3041792.
📣 部分代码
🎈 部分理论引用网络文献,若有侵权联系博主删除
👇 关注我领取海量matlab电子书和数学建模资料
🏆团队擅长辅导定制多种科研领域MATLAB仿真,助力科研梦:
🌈 各类智能优化算法改进及应用
生产调度、经济调度、装配线调度、充电优化、车间调度、发车优化、水库调度、三维装箱、物流选址、货位优化、公交排班优化、充电桩布局优化、车间布局优化、集装箱船配载优化、水泵组合优化、解医疗资源分配优化、设施布局优化、可视域基站和无人机选址优化、背包问题、 风电场布局、时隙分配优化、 最佳分布式发电单元分配、多阶段管道维修、 工厂-中心-需求点三级选址问题、 应急生活物质配送中心选址、 基站选址、 道路灯柱布置、 枢纽节点部署、 输电线路台风监测装置、 集装箱调度、 机组优化、 投资优化组合、云服务器组合优化、 天线线性阵列分布优化、CVRP问题、VRPPD问题、多中心VRP问题、多层网络的VRP问题、多中心多车型的VRP问题、 动态VRP问题、双层车辆路径规划(2E-VRP)、充电车辆路径规划(EVRP)、油电混合车辆路径规划、混合流水车间问题、 订单拆分调度问题、 公交车的调度排班优化问题、航班摆渡车辆调度问题、选址路径规划问题、港口调度、港口岸桥调度、停机位分配、机场航班调度、泄漏源定位
🌈 机器学习和深度学习时序、回归、分类、聚类和降维
2.1 bp时序、回归预测和分类
2.2 ENS声神经网络时序、回归预测和分类
2.3 SVM/CNN-SVM/LSSVM/RVM支持向量机系列时序、回归预测和分类
2.4 CNN|TCN|GCN卷积神经网络系列时序、回归预测和分类
2.5 ELM/KELM/RELM/DELM极限学习机系列时序、回归预测和分类
2.6 GRU/Bi-GRU/CNN-GRU/CNN-BiGRU门控神经网络时序、回归预测和分类
2.7 ELMAN递归神经网络时序、回归\预测和分类
2.8 LSTM/BiLSTM/CNN-LSTM/CNN-BiLSTM/长短记忆神经网络系列时序、回归预测和分类
2.9 RBF径向基神经网络时序、回归预测和分类
2.10 DBN深度置信网络时序、回归预测和分类
2.11 FNN模糊神经网络时序、回归预测
2.12 RF随机森林时序、回归预测和分类
2.13 BLS宽度学习时序、回归预测和分类
2.14 PNN脉冲神经网络分类
2.15 模糊小波神经网络预测和分类
2.16 时序、回归预测和分类
2.17 时序、回归预测预测和分类
2.18 XGBOOST集成学习时序、回归预测预测和分类
2.19 Transform各类组合时序、回归预测预测和分类
方向涵盖风电预测、光伏预测、电池寿命预测、辐射源识别、交通流预测、负荷预测、股价预测、PM2.5浓度预测、电池健康状态预测、用电量预测、水体光学参数反演、NLOS信号识别、地铁停车精准预测、变压器故障诊断
🌈图像处理方面
图像识别、图像分割、图像检测、图像隐藏、图像配准、图像拼接、图像融合、图像增强、图像压缩感知
🌈 路径规划方面
旅行商问题(TSP)、车辆路径问题(VRP、MVRP、CVRP、VRPTW等)、无人机三维路径规划、无人机协同、无人机编队、机器人路径规划、栅格地图路径规划、多式联运运输问题、 充电车辆路径规划(EVRP)、 双层车辆路径规划(2E-VRP)、 油电混合车辆路径规划、 船舶航迹规划、 全路径规划规划、 仓储巡逻
🌈 无人机应用方面
无人机路径规划、无人机控制、无人机编队、无人机协同、无人机任务分配、无人机安全通信轨迹在线优化、车辆协同无人机路径规划
🌈 通信方面
传感器部署优化、通信协议优化、路由优化、目标定位优化、Dv-Hop定位优化、Leach协议优化、WSN覆盖优化、组播优化、RSSI定位优化、水声通信、通信上传下载分配
🌈 信号处理方面
信号识别、信号加密、信号去噪、信号增强、雷达信号处理、信号水印嵌入提取、肌电信号、脑电信号、信号配时优化、心电信号、DOA估计、编码译码、变分模态分解、管道泄漏、滤波器、数字信号处理+传输+分析+去噪、数字信号调制、误码率、信号估计、DTMF、信号检测
🌈电力系统方面
微电网优化、无功优化、配电网重构、储能配置、有序充电、MPPT优化、家庭用电
🌈 元胞自动机方面
交通流 人群疏散 病毒扩散 晶体生长 金属腐蚀
🌈 雷达方面
卡尔曼滤波跟踪、航迹关联、航迹融合、SOC估计、阵列优化、NLOS识别
🌈 车间调度
零等待流水车间调度问题NWFSP 、 置换流水车间调度问题PFSP、 混合流水车间调度问题HFSP 、零空闲流水车间调度问题NIFSP、分布式置换流水车间调度问题 DPFSP、阻塞流水车间调度问题BFSP
👇
270

被折叠的 条评论
为什么被折叠?



