13 聚类
聚类算法是学习的第一个无监督学习算法,它所用到的数据是不带标签的。
13.1 无监督学习
什么是无监督学习?
在无监督学习中,所有的数据不带标签,而无监督学习要做的就是将这一系列无标签的数据输入到算法中,并找到一些隐含在数据中的结构。
如下图,都是一些没有标签的样本点,无监督学习算法将他们分为了两簇,分别使聚在一起的点作为了一类,所以也叫聚类算法(无监督学习算法的一种)。

聚类可以应用在市场分割、社交网络分析、组织计算机集群、了解银河系的构成等领域。
13.2 K-Means算法
K-Means(K均值)算法是现在最热门最为广泛运用的聚类算法,它也是一个迭代算法,它可以做两件事,一是簇分配,二是移动聚类中心。簇分配就是算法会遍历所有点,判断它与哪个聚类中心离得近,就将其分配给两个聚类中心之一。移动聚类中心就是,分配完所有点后,将聚类中心移动到簇内所有点的均值处。
用图像来说明K-Means算法,假设有一个无标签的数据集,需要将它分成两个簇,执行K-Means算法的操作如下:

- 随机生成两点(聚类中心),图中的红色和蓝色的×
- 内循环
簇分配
移动聚类中心



文字说明K-Means算法
- 输入:K(想要分成K簇)、训练集(无标签的x,n维向量)
- 随机初始化K个聚类中心μ1,μ2,…,μk,然后对每个训练样本簇分配(用c^(i)表示样本点离哪个聚类中心近);接着移动聚类中心,对每个聚类中心求它所在簇的所有点值的均值。(如果一个簇内除了聚类中心,没有样本点,常见的作法就是移除这个聚类中心或者重新随机初始化)

K-Means算法还可以解决分离不佳的簇的问题,比如下图,根据身高体重定制三种大小的T恤,虽然数据集并不明显的聚类,但是K-Means算法还是可以将其分为几个簇。

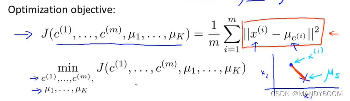
13.3 优化目标
在之前学的所有算法都有一个优化目标函数或者最小化的代价函数。K-Means均值函数也有。
在引入优化目标前,要知道三个变量:、
、
。
表示样本点i所属离得最近得聚类中心得序号,
表示第k个聚类中心所在位置的均值。比如
,
。
那么代价函数(也叫失真代价函数)与优化目标如下:

K-均值迭代算法中,第一个循环(分簇)是用于减小𝑐(𝑖)引起的代价,而第二个循环(调整聚类中心)则是用于减小𝜇𝑖引起的代价。迭代的过程一定会是每一次迭代都在减小代价函数,不然便是出现了错误。
13.4 随机初始化以及避开局部最优
随机初始化聚类中心:
- 首先设置K个簇,此处得K<m(训练样本)
- 随机挑选K个训练样本,让对应的μ等于所选的训练样本

由于聚类中心是随机初始化的,所以K-Means算法最后得出的结果也可能是不一样的,可能会落在局部最优 。比如下图的下面两幅图像。

解决这种问题,可以尝试多次随机初始化。
具体操作(加入要初始化100次,并运行100次K-Means算法),那就要执行下面得循环100次:初始化、运行算法得到、
一系列聚类结果、利用这些结果计算代价函数。完成100次循环后,在一百种分簇得方式中选择代价函数值最小的 一组。上述这种方法适用于K比较小得情况,如果K很大,需要循环成百上千,那么多次随机初始化这种方法就不会有太大改善。

13.5 如何选取聚类数量(K值)
最常见的办法:观察可视化图像手动选择K值。因为是无监督学习,所以正确答案不是固定的。但是也有一些其他方法。
第一种方法:肘部法则:改变K值,计算代价函数,画出图像,选择‘肘部’,拐弯处的K作为聚类数量。

但是在实际问题中,画出来的肘部图可能没有上图这么清晰得拐点,就像下图一样,所以肘部法则并不能很好的解决任何问题 。

第二种方法:看K选多少能更好地应用于后续目的 。比如制作T恤得尺寸大小,看K为多少更能满足顾客需求。

本文详细介绍了无监督学习中的聚类算法,重点讲解了K-Means算法的工作原理,包括簇分配与聚类中心更新的过程。同时探讨了算法的优化目标、随机初始化的重要性以及如何确定最佳的聚类数量。
439

被折叠的 条评论
为什么被折叠?



