太阳光模拟器(又称人造太阳、阳光模拟器)是一类可输出接近自然太阳光光谱与辐照特性的照明设备,其核心目的是在实验室条件下构建可控的室内测试环境,用于各类光敏工艺与材料的性能评估。该设备可测试太阳能电池、航空航天材料、塑料耐候性、光合作用机制、水处理及自由基反应等,广泛支撑光生物学、光氧化、光降解、光伏器件及光催化等领域的研究。
一、太阳光模拟器的分类标准
光伏测试用太阳光模拟器的性能要求由 IEC 60904-9、ASTM E927-19 及 JIS C 8912 三大标准规范,这些标准明确了模拟器输出光的五大控制维度:光谱匹配(量化光谱含量)、空间均匀性、时间稳定性,以及 IEC 60904-9:2020 新增的光谱覆盖率(SPC)与光谱偏差(SPD)。
太阳光模拟器等级主要依据前三个维度划分,每个维度均划分为 A、B、C 三级;IEC 60904-9:2020 新增 A + 级,仅适用于 300-1200nm 光谱范围的太阳光模拟器。ASTM E927-19 中,未达 A、B、C 级的归为 U 类(未分类)。等级表述需遵循规范:三维度均达 A 级的为 AAA 级;ASTM 要求明确三字母对应指标,IEC 则规定字母顺序固定为 “光谱匹配 - 空间均匀性 - 时间稳定性”。
二、太阳光模拟器的核心性能指标
1. 光谱匹配

地面 (AM1.5G) 和外层空间 (AM0) 阳光的参考光谱
通过对比太阳光模拟器与参考光谱(AM1.5G、AM1.5D 地面光谱及 AM0 外太空光谱)在多波长区间的积分辐照度计算,核心参数为光谱匹配比(RSM),即模拟器某波长区间辐照度占比与参考光谱对应占比的比值。
2. 空间不均匀性
太阳光模拟器的空间不均匀性通过以下等式计算,结果为百分比:

基于Is太阳能电池(或阵列 / 光检测器)的归一化短路电流数组计算。ASTM E927-19 规定:照明场需至少设 64 个测量点,单个测试位置面积(ATP)= 照明测试区域 ÷ 测量点数,探测器面积需为 0.5-1.0 倍 ATP。
3. 时间不稳定性
太阳光模拟器的辐照度时间不稳定性通过以下等式计算,结果为百分比:

基于数据采集期间的测量值序列(IT)计算。现有标准未对测量时间间隔及采样频率作强制规定,需结合测试需求确定。
4. 光谱覆盖范围(SPC)
SPC 计算如下,是指在给定波长下至少占参考辐照度 10% 的太阳模拟器发射百分比:

为 IEC 60904-9:2020 新增指标,暂不影响等级划分,但需按标准报告。
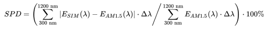
5. 光谱偏差(SPD)
SPD 的计算方法如下:

IEC 60904-9:2020 更新引入了光谱偏差 (SPD) 指标,是指太阳模拟器的发射光谱与参考光谱之间的总百分比偏差。
三、太阳光模拟器的主要类型
根据发射持续时间,太阳光模拟器可分为稳态与脉冲两类,也可按光源数量分为单灯与多灯型。
1. 稳态模拟器
稳态模拟器输出连续照明,强度范围从不足 1 个太阳(AM1.5G 光谱总积分辐照度 1000.4 W・m⁻²,280-4000nm 带宽)至数个太阳,适用于低强度、长时间的性能测试(如材料耐光老化)。为扩展光谱范围,其常组合电弧源与卤素灯,弥补单一光源在红外区域的光谱缺失。
2. 脉冲模拟器
脉冲模拟器采用闪光灯管作为光源,发射持续时间通常为几毫秒,强度可高达数千个太阳,核心优势是避免被测设备(如光伏组件)因长时间辐照积聚热量,影响测试准确性。但因灯体快速冷热循环,其强度与光谱存在瞬态波动,增加了测试重复性难度;而 LED 等固态光源技术可有效缓解这一问题,提升脉冲输出的稳定性。
四、太阳模拟器的构成

太阳光模拟器的基本组件
- 光源(灯)和电源
- 光学器件和滤光片,以改变光束并获得所需的特性
- 控制元件
五、太阳光模拟器的光源类型
1. 氩弧灯
氩弧灯是 1972 年用于早期太阳模拟研究的光源,色温度 6500K,与太阳黑体温度匹配度高,光谱范围覆盖 275-1525nm。其发光原理为高压氩气在电极间放电,需通过石英管内壁的水涡流冷却电弧边缘。但该灯存在寿命短(通常数百小时)、运行可靠性差的缺陷,目前已较少用于主流设备。
2. 碳弧灯
碳弧灯光谱特性接近 AM0,曾用于 NASA 首台太空模拟器,适用于外太空材料的光环境测试,且紫外线发射强度较高。但其整体辐照强度弱于氙弧灯,同时存在寿命短、运行过程中强度波动大及高强度蓝光(与太阳光谱不匹配)的问题,限制了其应用范围。
3. 发光二极管(LED)

LED 太阳模拟器的模拟光谱输出
2000 年起,LED 逐渐成为光伏模拟器的主流光源,其通过电子 - 空穴对复合发光,具有成本低、结构紧凑、功耗低的优势。由于单颗 LED 带宽较窄(10-100nm),需组合多类型 LED 以覆盖太阳光谱,因此光谱匹配度直接取决于 LED 的数量与波长选择。
4. 金属卤化物弧光灯
金属卤化物弧光灯属高强度放电(HID)灯,通过电弧激发高压汞与金属卤化物蒸汽发光,原用于影视照明(需高时间稳定性与日光色匹配),后因相同特性拓展至太阳模拟。其优势为单灯成本较低,故常用于大面积太阳光模拟器(如光伏组件批量测试);缺点是功耗高、电子驱动器成本高、寿命较短(约 1000-2000 小时)。
5. 石英钨卤素灯
石英钨卤素灯属白炽灯,通过卤素(溴或碘)环绕加热钨丝发光,光谱与黑体辐射匹配度高,但色温较低(最高 3400K),导致紫外线发射少而红外发射多。其优势是强度高、成本极低,适用于光谱敏感性低的场景(如聚光太阳能集热器测试)。
6. 超连续激光
超连续激光是一类高功率宽带光源,光谱覆盖可见光至红外区域,具有强度高、光束易聚焦的特点。但核心局限是照明区域极小(通常为毫米级),其高强度允许在太阳能聚光器应用中测试光伏组件。
7. 氙弧灯

氙弧灯太阳模拟器示例示意图
氙弧灯是目前稳态与脉冲太阳光模拟器中常用的光源,属于高强度放电 (HID)灯,通过高压氙气电离放电发光。其优点包括:未经过滤的光谱与太阳光匹配度高,强度高且功率变化时光谱平衡无明显偏移,降低了对电源稳定性的要求;单灯可产生准直高强度光束,适用于聚光测试场景。缺点是:光谱存在较多尖锐原子跃迁峰,红外发射较强,需通过玻璃滤光片修正。
综上,本文围绕太阳光模拟器从分类标准、核心性能指标、设备类型、基本构成及主流光源类型,系统梳理了其技术要点与应用逻辑,为不同应用场景下的设备选型提供了全面参考。随着光源技术的持续迭代,太阳光模拟器在光谱精准度、运行稳定性与场景适配性上将进一步升级。未来,太阳光模拟器将继续为光伏器件研发、材料耐候性评估、光生物学研究等领域提供更可靠的室内模拟光环境,助力相关科研与产业创新发展。
Luminbox3A AAA 级太阳光模拟器
紫创测控Luminbox 3A AAA 太阳光模拟器采用先进光束准直技术与高均匀光斑设计,精准复现AM1.5G太阳光谱,辐照输出稳定,为实验室提供高效可靠的光照测试解决方案。

AAA级性能:光谱匹配度符合IEC60904-9标准 AAA级,可达实验室校准精度;
长效稳定:优化光源设计大幅降低维护频率,减少校准与停机时间,提升实验效率;
应用场景:可选配光学滤镜,灵活模拟室内外日光环境,满足多元测试需求。
作为光源校准领域的创新者,紫创测控Luminbox 3A AAA 级太阳光模拟器采用光束准直技术,已应用于光伏实验室、航空航天等高端场景。未来,紫创测控Luminbox 将构建多物理场协同校准平台,通过机器学习优化流程,缩短校准周期,确保光谱匹配度等核心指标维持在IEC 60904-9 标准的AAA级水平。
3万+

被折叠的 条评论
为什么被折叠?



