什么是多元线性回归方程
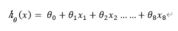
多元线性回归是在线性回归基础上具有两个及两个以上自变量的多元线性回归(multivariable linear regression)。如果我们预测房子价格时,则其自变量面积,厚层高度,层数等便为x1,x2,x3…等,我本次采用的数据似乎是一种生物的数据,具体出处忘了,若是原博主看见可以提醒我添加引用。
数据集的链接:https://pan.baidu.com/s/1Z_1jiGmwSumow0_PupiBXg
提取码:q2ag
前8项为自变量,最后一项为数据结果。
故结果的函数为



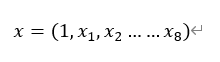
将x转变为

故

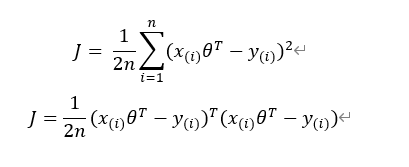
公式推导
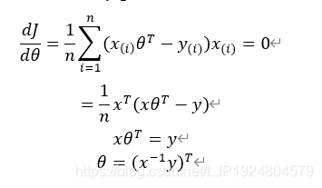
已知

做过线性回归都知道,这时需要构造一个代价函数cost J

令J最小有两种方法标准方程以及梯度下降
标准方程



这个标准法我也只是了解了一下,似乎对于数据太多时存在缺陷,接下来了解一下梯度下降法
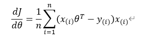
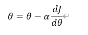
梯度下降就没那么多计算:

通过递归不断改变系数。
代码展示
%拟合率达到74%
function main()
sum = xlsread('data.xlsx');%读取数据
n = size(sum,2);
z = rand(1,n);%系数
disp(z);
sum1 = sum(1

本文深入探讨了多元线性回归的原理与应用,通过实际案例展示了如何使用梯度下降法进行参数优化,达到74%的拟合率,并讨论了数据集划分策略对模型效果的影响。
最低0.47元/天 解锁文章
1113

被折叠的 条评论
为什么被折叠?



