💥💥💥💥💥💥💥💥💞💞💞💞💞💞💞💞💞Matlab武动乾坤博客之家💞💞💞💞💞💞💞💞💞💥💥💥💥💥💥💥💥
🚀🚀🚀🚀🚀🚀🚀🚀🚀🚀🚤🚤🚤🚤🚤🚤🚤🚤🚤🚤🚤🚤🚤🚤🚤🚤🚤🚤🚤🚤🚀🚀🚀🚀🚀🚀🚀🚀🚀🚀

🔊博主简介:985研究生,Matlab领域科研开发者;
🚅座右铭:行百里者,半于九十。
🏆代码获取方式:
优快云 Matlab武动乾坤—代码获取方式
更多Matlab优化求解仿真内容点击👇
①Matlab优化求解(进阶版)
⛳️关注优快云 Matlab武动乾坤,更多资源等你来!!
⛄一、非线性权重的自适应鲸鱼算法
随着现实生活中待优化问题的复杂度增加,种群优化算法得到迅速发展。目前,各种鲸鱼优化算法被提出,但是在不断提高精度的同时,却增加了算法的复杂性。针对鲸鱼优化算法(WOA)收敛速度慢、求解精度低的问题,在优化算法性能的基础上保留鲸鱼优化算法结构简单的特点,提出了基于非线性权重的自适应鲸鱼优化算法(NWAWOA)。通过非线性权重S1和S2对鲸鱼优化算法三个阶段的位置更新公式采用两种不同的加权策略,在平衡算法全局搜索与局部开发能力的同时,加快收敛速度、提高求解精度。在10个经典测试函数上的实验表明,改进的算法与经典粒子群算法(PSO)、WOA、WOAWC算法、EWOA算法相比具有较好的收敛速度、求解精度和稳定性,同时算法结构简单,易于学习。
1 自适应权重
鲸鱼优化算法与其他群体智能算法一样,平衡全局搜索和局部开发能力十分重要。权重对鲸鱼优化算法有重要作用,权重较大时,收敛速度较快,算法搜索的范围较大;权重较小时,搜索更加细致,不易错过最优解。
在鲸鱼优化算法中引入非线性权重S1和S2(如图1所示),分别对当前最优位置和包围步长进行自适应调整,具体计算公式如下:

其中,γ为S1和S2的变化范围取值,取γ=0.5;λ为S1和S2的取值步长,取λ=1。

图1 自适应权重S1和S2
将权重S1和S2引入到式(2)和式(5)中,如下所示:

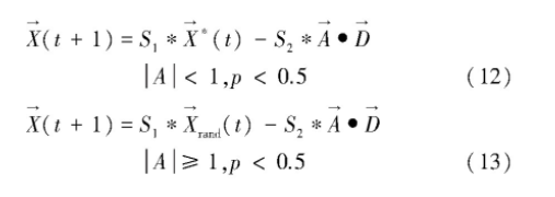
笔者认为将权重S1引入到位置上,不符合智能优化的初衷,改进公式如下:

螺旋式位置更新公式即:

由图1可以看出,S1随迭代次数增加呈非线性递增,使种群能充分向最优位置移动;而S2随迭代次数增加呈非线性递减,在后期有较小步长而加快收敛速度。在平衡全局搜索和局部开发能力的同时,提高求解精度、加快收敛速度。
2 算法流程
改进的鲸鱼优化算法,对三个阶段的位置更新公式采取了不同的加权策略:在包围捕食和搜寻食物阶段,即p<0.5,非线性减小的权重S2仅对距离数据加权;在泡网攻击阶段的螺旋式更新位置,即p≥0.5,非线性增加的权重S1不仅对距离数据加权而且对位置加权。鲸鱼算法流程如图2所示。

图2 NWAWOA算法流程
⛄二、部分源代码
clear all
clc
SearchAgents_no=30; % Number of search agents 种群数量
Function_name=‘F4’; % Name of the test function that can be from F1 to F23 (Table 1,2,3 in the paper) 设定适应度函数
Max_iteration=500; % Maximum numbef of iterations 设定最大迭代次数
% Load details of the selected benchmark function
[lb,ub,dim,fobj]=Get_Functions_details(Function_name); %设定边界以及优化函数
%原始鲸鱼算法
[Best_score,Best_pos,WOA_cg_curve]=WOA(SearchAgents_no,Max_iteration,lb,ub,dim,fobj); %开始优化
%改进鲸鱼算法
[Best_score1,Best_pos1,WOA_cg_curve1]=NWAWOA(SearchAgents_no,Max_iteration,lb,ub,dim,fobj); %开始优化
figure(‘Position’,[269 240 660 290])
%Draw search space
subplot(1,2,1);
func_plot(Function_name);
title(‘Parameter space’)
xlabel(‘x_1’);
ylabel(‘x_2’);
zlabel([Function_name,‘( x_1 , x_2 )’])
%Draw objective space
subplot(1,2,2);
semilogy(WOA_cg_curve,‘Color’,‘g’,‘linewidth’,1.5)
hold on
semilogy(WOA_cg_curve1,‘Color’,‘r’,‘linewidth’,1.5);
title(‘Objective space’)
xlabel(‘Iteration’);
ylabel(‘Best score obtained so far’);
legend(‘WOA’,‘NWAWOA’);
axis tight
grid on
box on
display(['The best solution obtained by WOA is : ', num2str(Best_pos)]);
display(['The best optimal value of the objective funciton found by WOA is : ', num2str(Best_score)]);
display(['The best solution obtained by NWAWOA is : ', num2str(Best_pos1)]);
display(['The best optimal value of the objective funciton found by NWAWOA is : ', num2str(Best_score1)]);
⛄三、运行结果

⛄四、matlab版本及参考文献
1 matlab版本
2014a
2 参考文献
[1]赵传武,黄宝柱,阎跃观,代文晨,张建.一种非线性权重的自适应鲸鱼优化算法[J].计算机技术与发展,2020,30(10):7-13.
3 备注
简介此部分摘自互联网,仅供参考,若侵权,联系删除
🍅 仿真咨询
1 各类智能优化算法改进及应用
生产调度、经济调度、装配线调度、充电优化、车间调度、发车优化、水库调度、三维装箱、物流选址、货位优化、公交排班优化、充电桩布局优化、车间布局优化、集装箱船配载优化、水泵组合优化、解医疗资源分配优化、设施布局优化、可视域基站和无人机选址优化
2 机器学习和深度学习方面
卷积神经网络(CNN)、LSTM、支持向量机(SVM)、最小二乘支持向量机(LSSVM)、极限学习机(ELM)、核极限学习机(KELM)、BP、RBF、宽度学习、DBN、RF、RBF、DELM、XGBOOST、TCN实现风电预测、光伏预测、电池寿命预测、辐射源识别、交通流预测、负荷预测、股价预测、PM2.5浓度预测、电池健康状态预测、水体光学参数反演、NLOS信号识别、地铁停车精准预测、变压器故障诊断
3 图像处理方面
图像识别、图像分割、图像检测、图像隐藏、图像配准、图像拼接、图像融合、图像增强、图像压缩感知
4 路径规划方面
旅行商问题(TSP)、车辆路径问题(VRP、MVRP、CVRP、VRPTW等)、无人机三维路径规划、无人机协同、无人机编队、机器人路径规划、栅格地图路径规划、多式联运运输问题、车辆协同无人机路径规划、天线线性阵列分布优化、车间布局优化
5 无人机应用方面
无人机路径规划、无人机控制、无人机编队、无人机协同、无人机任务分配
6 无线传感器定位及布局方面
传感器部署优化、通信协议优化、路由优化、目标定位优化、Dv-Hop定位优化、Leach协议优化、WSN覆盖优化、组播优化、RSSI定位优化
7 信号处理方面
信号识别、信号加密、信号去噪、信号增强、雷达信号处理、信号水印嵌入提取、肌电信号、脑电信号、信号配时优化
8 电力系统方面
微电网优化、无功优化、配电网重构、储能配置
9 元胞自动机方面
交通流 人群疏散 病毒扩散 晶体生长
10 雷达方面
卡尔曼滤波跟踪、航迹关联、航迹融合
本文介绍了一种改进的非线性权重自适应鲸鱼优化算法(NWAWOA),旨在解决鲸鱼优化算法(WOA)的收敛速度慢和精度低问题。通过自适应权重策略,算法在保持简单结构的同时提高了搜索效率和求解效果。实验结果显示,NWAWOA在经典测试函数上优于其他算法。
1038

被折叠的 条评论
为什么被折叠?



