引言
概念
数组是数据呈线性排列的一种数据结构,它用一组连续的内存空间,来存储一组相同数据类型的数据,表示一组相同类型的数据的集合,具有固定的长度,并且在内存中占据连续的空间。
数组是基本上所有语言都会有的一种数据类型,是我们在开发过程中经常会接触到的,所以我们很有必要了解数组的相关特性
数组的定义和使用需要通过方括号 []。
Java 中,数组是一种引用类型。
Java 中,数组是用来存储固定大小的同类型元素。
区别于C/C++数组
存储结构区别:
C数组:数组空间是一次性给定的,优先访问低地址,自底向上而放元素。
在内存中是连续存储的,并且所有数组都是连续的,都可作为一维数组看待。
同时,C数组是可以动态申请内存空间的,也就是可以动态扩容的,而Java数组是不行的,当然Java也提供了ArrayList动态数组类
如下图,一个二维数组就可以看成一个一维数组,只是里面存放的元素为一维数组。所以C中的数组是呈线性结构

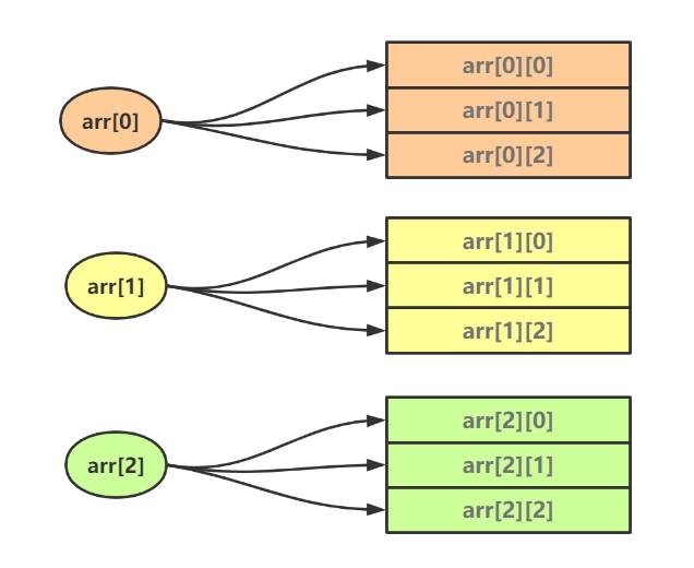
Java中的数组就不一样,在Java中,数组都是引用实体变量,呈树形结构,每一个叶子节点之间毫无关系,只有引用关系,每一个引用变量只引用一个实体。
Java数组是会做边界检查的,所以当你越界访问时,会抛出 RuntimeException,而在C或C++是不做边界检查的
如图,上面的例子是这样表示的。在堆内存中,各个一维数组的元素是连续的,但各个一维数组之间不是连续存放的。

数组是对象吗?
C语言是面向过程的语言,在这里不讨论
C++中的数组不是对象,只是一个数据的集合,而Java中的数组是对象,这一点在后面会讲到和验证
区别于容器
Java 中,容器是用来保存多个对象的东西.严格来说是保存对象的引用.因为对象实际的数据是放在另外的地方的.放在容器中的只是指向那块内存区域的一个标识
Java 中,既然有了强大的容器,是不是就不需要数组了?答案是不
诚然,大多数情况下,应该选择容器存储数据。
数组和容器的区别有:效率、类型识别 、以及存放基本类型的能力
1、Java 中,数组是一种效率最高的存储和随机访问对象引用序列的方式。数组的效率要高于容器(如 ArrayList)
2、类型识别方面,Java容器List、Set和Map在处理对象的时候就好像这些对象都没有自己的类型一样,容器将它所含的元素都看根类Object类型,这样我们只需创建一种容器,就能把所有的类型的对象全部放进去。但是当取出数据时,需要我们自己进行类型转换,这个问题在Java引入泛型进行类型检查后,与容器类一起使用就可以解决类型转换的问题
3、数组可以持有值类型,而容器则不能(必须用到包装类)
数组特性
随机访问
非随机访问:就是存取第N个数据时,必须先访问前(N-1)个数据 (链表)
随机访问:就是存取第N个数据时,不需要访问前(N-1)个数据,直接就可以对第N个数据操作(数组)
数组是如何做到随机访问的?
事实上,数组的数据是按顺序存储在内存的连续空间内的,从上面的图我们看出来,即便Java二维数组是呈树形结构,但是各个一维数组的元素是连续的,通过arr[0],arr[1]等数组对象指向一维数组,所以每个数据的内存地址(在内存上的位置)都可以通过数组下标算出,我们也就可以借此直接访问目标数据,也就是随机访问
Java数组与内存
上面这么说还是有点懵懵懂懂的,可以画图解看看Java 数组在内存中的存储是怎么样的?
数组对象(类比看作指针)存储在栈中,数组元素存储在堆中
一维数组:
二维数组:

精彩点评:一维数组在堆上连续的内存空间直接存储值,二维数组在连续的地址上存储一维数组的引用地址,一维数组与一维数组并不一定靠在一起,但是这些一维数组内部的值是在连续地址上的。更高维的数组继续以此类推,只有最后一维数组在连续地址上保存值,其他纬度均在连续地址上保存下一维度的引用地址。同维度的实例不一定靠在一起。
解惑
数组下标为什么是从0开始?
前面说到数组访问数据时使用的是随机访问(通过下标可计算出内存地址),从数组存储的内存模型上来看,“下标”最确切的定义应该是“偏移(offset)”。如果用 a 来表示数组的首地址,a[0] 就是偏移为 0 的位置,也就是首地址,a[k] 就表示偏移 k 个 type_size 的位置,所以计算 a[k] 的内存地址只需要用这个公式:
a[k]_address = base_address + k * type_size
但是,如果数组从 1 开始计数,那我们计算数组元素 a[k] 的内存地址就会变为:
a[k]_address = base_address + (k-1)*type_size
对比两个公式,可以发现,从 0 开始编号,每次随机访问数组元素都少了一次减法运算,对于 CPU 来说,就是少了一次减法指令, 提高了访问的效率
数组的本质
Java中的数组是对象吗?
Java和C++都是面向对象的语言。在使用这些语言的时候,我们可以直接使用标准的类库,也可以使用组合和继承等面向对象的特性构建自己的类,并且根据自己构建的类创建对象。那么,我们是不是应该考虑这样一个问题:在面向对象的语言中,数组是对象吗?
判断数组是不是对象,那么首先明确什么是对象,也就是对象的定义。在较高的层面上,对象是根据某个类创建出来的一个实例,表示某类事物中一个具体的个体。对象具有各种属性,并且具有一些特定的行为。而在较低的层面上,站在计算机的角度,对象就是内存中的一个内存块,在这个内存块封装了一些数据,也就是类中定义的各个属性,所以,对象是用来封装数据的。以下为一个Person对象在内存中的表示:

注意:
1、红色矩形表示一个引用(地址)或一个基本类型的数据,绿色矩形表示一个对象,多个红色矩形组合在一块,可组成一个对象。
2、name在对象中只表示一个引用, 也就是一个地址值,它指向一个真实存在的字符串对象。在这里严格区分了引用和对象。
那么在Java中,数组满足以上的条件吗?在较高的层面上,数组不是某类事物中的一个具体的个体,而是多个个体的集合。那么它应该不是对象。而在计算机的角度,数组也是一个内存块,也封装了一些数据,这样的话也可以称之为对象。以下是一个数组在内存中的表示:

这样的话, 数组既可以是对象, 也可以不是对象。至于到底是不是把数组当做对象,全凭Java的设计者决定。数组到底是不是对象, 通过代码验证:
int[] arr = new int[4];
int len = arr.length; //数组中保存一个字段, 表示数组的长度
//以下方法说明数组可以调用方法,Java数组是对象.这些方法是Object中的方法,所以可以肯定,数组的最顶层父类也是Object
arr.clone();
arr.toString();
从上面的代码来看,在数组arr上, 可以访问它的属性,也可以调用一些方法。这基本上可以认定,Java中的数组也是对象,它具有java中其他对象的一些基本特点:封装了一些数据,可以访问属性,也可以调用方法。所以答案是肯定的,数组是对象。
同时权威的Java Language Specification是这么说的:
In the Java programming language, arrays are objects (§4.3.1), are dynamically created, and may be assigned to variables of type Object (§4.3.2). All methods of class Object may be invoked on an array.
这里我就不给大家翻译了,看不懂的有道翻译一下
补充:Java Language Specification 里关于Array还有这么一段:
Every array has an associated Class object, shared with all other arrays with the same component type. [ This] acts as if: the direct superclass of an array type is Object [ and] every array type implements the interfaces Cloneable and java. io. Serializable.
数组对象不是从某个类实例化来的,而是由JVM直接创建的。实际上也没有Array这个类(有是有,但只是java.lang.reflect包里的一个反射类)。但每个数组都对应一个Class对象。通过RTTI(Run-Time Type Information)可以直接检查Array的运行时类型,以及它的签名,它的基类,还有其他很多事。在C++中,数组虽然封装了数据,但数组名只是一个指针,指向数组中的首个元素,既没有属性,也没有方法可以调用。如下代码所示:
int main(){
int a[] = {1, 2, 3, 4};
int* pa = a;
//无法访问属性,也不能调用方法。
return 0;
}
所以C++中的数组不是对象,只是一个数据的集合,而不能当做对象来使用。
Java中数组的类型
Java是一种强类型的语言。既然是对象, 那么就必须属于一个类型,比如根据Person类创建一个对象,这个对象的类型就是Person。那么数组的类型是什么呢?看下面的代码:
int[] arrI = {1, 2, 3, 4};
System.out.println(arrI.getClass().getName());
String[] arrS = new String[2];
System.out.println(arrS.getClass().getName());
String[][] arrsS = new String[2][3];
System.out.println(arrsS.getClass().getName());
OutPut:
[I
[Ljava.lang.String;
[[Ljava.lang.String;
arrI的类型为[ I ,arrS的类型是[Ljava.lang.String; , arrsS的类型是[[Ljava.lang.String;
所以,数组也是有类型的。只是这个类型显得比较奇怪。你可以说arrI的类型是int[],这也无可厚非。但是我们没有自己创建这个类,也没有在Java的标准库中找到这个类。也就是说不管是我们自己的代码,还是在JDK中,都没有如下定义:
public class int[] {
// ...
}
这只能有一个解释,那就是这个数组对象并不是从某个类实例化来的,而是由JVM直接创建的,同时这个直接创建的对象的父类就是Object,所以可以调用Object中的所有方法,包括你用到的toString()。
我们可以把数组类型和8种基本数据类型一样, 当做Java的内建类型,这种类型的命名规则是这样的:
每一维度用一个[表示;开头两个[,就代表是二维数组。
[后面是数组中元素的类型(包括基本数据类型和引用数据类型)
在Java语言层面上,arrS是数组,也是一个对象,那么它的类型应该是String[],这样说是合理的。但是在JVM中,他的类型为[java.lang.String。顺便说一句普通的类在JVM里的类型为 包名+类名,也就是全限定名。同一个类型在Java语言中和在虚拟机中的表示可能是不一样的。
Java中数组的继承关系
上面已经验证了,数组是对象,也就是说可以以操作对象的方式来操作数组。并且数组在虚拟机中有它特别的类型。既然是对象,遵循Java语言中的规则 -- Object是上帝, 也就是说所有类的顶层父类都是Object。数组的顶层父类也必须是Object,这就说明数组对象可以向上直接转型到Object,也可以向下强制类型转换,也可以使用instanceof关键字做类型判定。 这一切都和普通对象一样。如下代码所示:
//1 在test1()中已经测试得到以下结论: 数组也是对象, 数组的顶层父类是Object, 所以可以向上转型
int[] a = new int[8];
Object obj = a ; //数组的父类也是Object,可以将a向上转型到Object
//2 那么能向下转型吗?
int[] b = (int[])obj; //可以进行向下转型
//3 能使用instanceof关键字判定吗?
if(obj instanceof int[]){ //可以用instanceof关键字进行类型判定
System.out.println("obj的真实类型是int[]");
}
数组的奥秘
本文深入探讨数组的本质,解析其在Java中的实现方式,包括数组的随机访问特性、内存布局及为何下标从0开始。同时,对比Java与C/C++中数组的差异,以及数组与容器的区别。
5万+

被折叠的 条评论
为什么被折叠?



