THINC 方法(Tangent of Hyperbola for Interface Capturing ,双曲正切界面捕捉法)是一种代数型 VOF(Volume of Fluid)方法 ,属于代数重构类界面捕捉算法 。其核心思想是利用双曲正切函数 来重构体积分数在单元内的连续分布,从而实现界面的平滑表示与可控耗散。
有限体积,间断有限元,单相流,多相流,都可以用到 THINC 方法。它的主要作用是让间断算的更加 sharp.

这里的 α ( x ) \alpha(x) α(x)就是 THINC 函数,可以使用如下的定义[1]
α
i
(
x
)
=
α
max
2
{
1
+
γ
tanh
[
β
(
x
−
x
i
−
1
/
2
x
i
+
1
/
2
−
x
i
−
1
/
2
−
x
~
i
)
]
}
+
α
min
\alpha_i(x) = \frac{\alpha_{\max}}{2} \left\{ 1 + \gamma \tanh \left[ \beta \left( \frac{x - x_{i-1/2}}{x_{i+1/2} - x_{i-1/2}} - \tilde{x}_i \right) \right] \right\} + \alpha_{\min}
αi(x)=2αmax{1+γtanh[β(xi+1/2−xi−1/2x−xi−1/2−x~i)]}+αmin式中:
x
~
i
\tilde{x}_i
x~i为双曲正切函数过渡层的中点,这个的值每次是不一样的,需要使用
∫
I
i
α
i
(
x
)
/
(
Δ
x
)
d
x
=
α
ˉ
i
\int_{I_i} \alpha_i(x)/(\Delta x) dx=\bar{\alpha}_i
∫Iiαi(x)/(Δx)dx=αˉi算出来;
β
\beta
β控制界面过渡层厚度,一般取 3.5,能保证界面控制在两个网格厚度;
γ
\gamma
γ与界面方向相关:
γ
=
{
1
,
if
α
i
+
1
/
2
<
α
i
−
1
/
2
−
1
,
otherwise
\gamma = \begin{cases} 1, & \text{if } \alpha_{i+1/2} < \alpha_{i-1/2} -1, & \text{otherwise} \end{cases}
γ={1,if αi+1/2<αi−1/2−1,otherwise
取
α
R
,
i
−
1
/
2
=
α
(
x
i
−
1
/
2
)
\alpha_{R,i-1/2} = \alpha(x_{i-1/2})
αR,i−1/2=α(xi−1/2)和
α
L
,
i
+
1
/
2
=
α
(
x
i
+
1
/
2
)
\alpha_{L,i+1/2} = \alpha(x_{i+1/2})
αL,i+1/2=α(xi+1/2)可求出左右界面的体积分数:
α
L
,
i
+
1
/
2
=
1
2
α
max
(
1
+
γ
tanh
β
+
C
1
+
C
tanh
β
)
+
α
min
α
R
,
i
−
1
/
2
=
1
2
α
max
(
1
+
γ
C
)
+
α
min
\begin{aligned} \alpha_{L,i+1/2} &= \frac{1}{2} \alpha_{\max} \left( 1 + \gamma \frac{\tanh \beta + C}{1 + C \tanh \beta} \right) + \alpha_{\min} \\ \alpha_{R,i-1/2} &= \frac{1}{2} \alpha_{\max} (1 + \gamma C) + \alpha_{\min} \end{aligned}
αL,i+1/2αR,i−1/2=21αmax(1+γ1+Ctanhβtanhβ+C)+αmin=21αmax(1+γC)+αmin
其中:
α min = min ( α i − 1 , α i + 1 ) α max = max ( α i − 1 , α i + 1 ) − α min B = exp [ γ β ( 2 α i − α min + ε α max + ε − 1 ) ] C = ( B cosh β − 1 ) / tanh β \begin{aligned} \alpha_{\min} &= \min(\alpha_{i-1}, \alpha_{i+1}) \\ \alpha_{\max} &= \max(\alpha_{i-1}, \alpha_{i+1}) - \alpha_{\min} \\ B &= \exp\left[\gamma\beta\left(2\frac{\alpha_i - \alpha_{\min} + \varepsilon}{\alpha_{\max} + \varepsilon} - 1\right)\right] \\ C &= \left(\frac{B}{\cosh\beta} - 1\right)/\tanh\beta \end{aligned} αminαmaxBC=min(αi−1,αi+1)=max(αi−1,αi+1)−αmin=exp[γβ(2αmax+εαi−αmin+ε−1)]=(coshβB−1)/tanhβ
其中:
B
,
C
B, C
B,C 是临时中间变量,
ε
\varepsilon
ε是一个小量,取
1.0
×
1
0
−
12
1.0 \times 10^{-12}
1.0×10−12。为保证体积分数单调性,需要满足:
if sign
[
(
α
i
+
1
−
α
i
)
(
α
i
−
α
i
−
1
)
]
=
−
1
\text{if } \text{ sign}[(\alpha_{i+1} - \alpha_i)(\alpha_i - \alpha_{i-1})] = -1
if sign[(αi+1−αi)(αi−αi−1)]=−1
则:
α
L
,
i
+
1
/
2
=
α
R
,
i
−
1
/
2
=
α
i
\alpha_{L,i+1/2} = \alpha_{R,i-1/2} = \alpha_i
αL,i+1/2=αR,i−1/2=αi
实际应用的时候,还应当结合BVD(boundary variation diminishing) 方法来用,这样可以确保程序的稳定[2]
其实以上内容基本都是简单的摘抄,接下来的内容比较关键。 x ~ i \tilde{x}_i x~i的计算需要使用限制条件 ∫ I i α i ( x ) / ( Δ x ) d x = α ˉ i \int_{I_i} \alpha_i(x)/(\Delta x) dx=\bar{\alpha}_i ∫Iiαi(x)/(Δx)dx=αˉi,但是这个 α i ( x ) \alpha_i(x) αi(x)里面带一个 tanh \tanh tanh所以没那么好积分。我算了好半天才搞清楚。
最终的计算结果为
x ~ i = 1 β arctanh ( 1 − exp ( 2 β θ α max ( α i − α min ) − log ( cosh β ) − β θ ) tanh β ) \tilde{x}_i= \frac{1}{\beta} \operatorname{arctanh} \Bigg( \frac{1 - \exp\Big(\frac{2\beta\theta}{\alpha_{\max}}(\alpha_i - \alpha_{\min}) - \log(\cosh\beta) - \beta\theta\Big)}{\tanh\beta} \Bigg) x~i=β1arctanh(tanhβ1−exp(αmax2βθ(αi−αmin)−log(coshβ)−βθ))
详细的推导过程在这里:


其对应的latex代码如下:
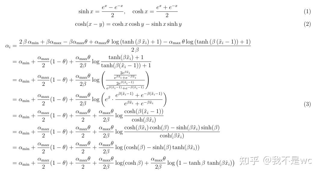
\begin{equation}
\sinh x = \frac{e^x-e^{-x}}{2},\quad \cosh x = \frac{e^x+e^{-x}}{2}
\end{equation}
\begin{equation}
\cosh(x-y) = \cosh x \cosh y - \sinh x \sinh y
\end{equation}
\begin{equation}
\begin{aligned}
\alpha_i &= \frac{2\,\beta \,\alpha_{\min}+\beta\alpha_{\max}-\beta\alpha_{\max}\theta+\alpha_{\max}\theta\,\log \left(\tanh \left(\beta \,\tilde{x}_i\right)+1\right)-\alpha_{\max}\,\theta\log \left(\tanh \left(\beta \,{\left(\tilde{x}_i-1\right)}\right)+1\right)}{2\,\beta }\\
&= \alpha_{\min} + \frac{\alpha_{\max}}{2}(1-\theta) + \frac{\alpha_{\max}\theta}{2\beta} \log \frac{\tanh(\beta \tilde{x}_i)+1}{\tanh(\beta (\tilde{x}_i-1))+1}\\
&= \alpha_{\min} + \frac{\alpha_{\max}}{2}(1-\theta) + \frac{\alpha_{\max}\theta}{2\beta} \log \left( \frac{\frac{2e^{\beta \tilde{x}_i}}{e^{\beta \tilde{x}_i}+e^{-\beta \tilde{x}_i}}}{\frac{2e^{\beta (\tilde{x}_i-1)}}{e^{\beta (\tilde{x}_i-1)}+e^{-\beta (\tilde{x}_i-1)}}}\right)\\
&= \alpha_{\min} + \frac{\alpha_{\max}}{2}(1-\theta) + \frac{\alpha_{\max}\theta}{2\beta} \log \left( e^{\beta}\cdot\frac{e^{\beta (\tilde{x}_i-1)} + e^{-\beta (\tilde{x}_i-1)}}{e^{\beta \tilde{x}_i} + e^{-\beta \tilde{x}_i}}\right)\\
&= \alpha_{\min} + \frac{\alpha_{\max}}{2}(1-\theta) + \frac{\alpha_{\max}\theta}{2} + \frac{\alpha_{\max}\theta}{2\beta} \log \frac{\cosh(\beta(\tilde{x}_i-1))}{\cosh(\beta \tilde{x}_i)}\\
&= \alpha_{\min} + \frac{\alpha_{\max}}{2}(1-\theta) + \frac{\alpha_{\max}\theta}{2} + \frac{\alpha_{\max}\theta}{2\beta} \log \frac{\cosh(\beta\tilde{x}_i)\cosh(\beta)-\sinh(\beta\tilde{x}_i)\sinh(\beta)}{\cosh(\beta \tilde{x}_i)}\\
&= \alpha_{\min} + \frac{\alpha_{\max}}{2}(1-\theta) + \frac{\alpha_{\max}\theta}{2} + \frac{\alpha_{\max}\theta}{2\beta} \log \left( \cosh(\beta) - \sinh(\beta)\tanh(\beta\tilde{x}_i) \right)\\
&= \alpha_{\min} + \frac{\alpha_{\max}}{2}(1-\theta) + \frac{\alpha_{\max}\theta}{2} + \frac{\alpha_{\max}\theta}{2\beta} \log(\cosh\beta) + \frac{\alpha_{\max}\theta}{2\beta} \log\big(1-\tanh\beta\,\tanh(\beta\tilde{x}_i)\big)\\
\end{aligned}
\end{equation}
\begin{equation}
A = \alpha_i - \alpha_{\min} - \frac{\alpha_{\max}}{2} - \frac{\alpha_{\max}\theta}{2\beta}\log(\cosh\beta)
\end{equation}
\begin{equation}
\begin{aligned}
\log\big(1-\tanh\beta\tanh(\beta\tilde{x}_i)\big) = \frac{2\beta}{\alpha_{\max}\theta} A
&\quad\Longrightarrow\quad
1 - \tanh\beta \tanh(\beta \tilde{x}_i) = \exp\Big(\frac{2\beta}{\alpha_{\max}\theta} A\Big)\\
&\quad\Longrightarrow\quad \tanh(\beta \tilde{x}_i) = \frac{1 - \exp\Big(\frac{2\beta}{\alpha_{\max}\theta} A\Big)}{\tanh\beta}
\end{aligned}
\end{equation}
\begin{equation}
\begin{aligned}
\tilde{x}_i &= \frac{1}{\beta} \operatorname{arctanh} \left( \frac{1 - \exp\Big(\frac{2\beta}{\alpha_{\max}\theta} A\Big)}{\tanh\beta} \right) \\
&= \frac{1}{\beta} \operatorname{arctanh} \Bigg( \frac{1 - \exp\Big(\frac{2\beta}{\alpha_{\max}\theta}\Big(\alpha_i - \alpha_{\min} - \frac{\alpha_{\max}}{2} - \frac{\alpha_{\max}\theta}{2\beta} \log(\cosh\beta)\Big)\Big)}{\tanh\beta} \Bigg) \\
&= \frac{1}{\beta} \operatorname{arctanh} \Bigg( \frac{1 - \exp\Big(\frac{2\beta}{\alpha_{\max}\theta}(\alpha_i - \alpha_{\min}) - \log(\cosh\beta) - \frac{\beta}{\theta}\Big)}{\tanh\beta} \Bigg)\\
&= \frac{1}{\beta} \operatorname{arctanh} \Bigg( \frac{1 - \exp\Big(\frac{2\beta\theta}{\alpha_{\max}}(\alpha_i - \alpha_{\min}) - \log(\cosh\beta) - \beta\theta\Big)}{\tanh\beta} \Bigg)
\end{aligned}
\end{equation}
为了验证我的计算结果是否正确,又编写了如下的matlab程序。(因为过于复杂,matlab不会处理这个符号运算,所以使用数值的方法计算。不放心的话可以多试几组数)
clear
syms x
uavem = 10;
uave = 8;
uavep = 6;
xa = -1 ;
xb = 1;
beta = 1.5;
Umin = min(uavem,uavep);
Umax = max(uavem,uavep)-Umin;
theta = sign(uavep-uavem);
% 计算的 \tilde{x}_i
x_tilde_i = 1/beta*atanh( (1-exp(2*beta/Umax*theta*(uave-Umin)-log(cosh(beta))-beta*theta)) / (tanh(beta)) );
% thinc 函数
T = Umin + Umax/2*(1+theta*tanh(beta*((x-xa)/(xb-xa)-x_tilde_i)));
% 积分结果 int_T 应该等于 uave
int_T = simplify((subs(int(T,x),x,xb)-subs(int(T,x),x,xa))/(xb-xa));
double(simplify(int_T))
1583

被折叠的 条评论
为什么被折叠?



