链表基础理论
链表是一种通过指针串联在一起的线性结构,每一个节点由两部分组成,一个是数据域一个是指针域(存放指向下一个节点的指针),最后一个节点的指针域指向null(空指针)
链表的入口节点称为链表的头结点(head)
单链表
双链表
单链表中的指针域只能指向节点的下一个节点
双链表:每一个节点有两个指针域,一个指向下一个节点,一个指向上一个节点
双链表 既可以向前查询也可以向后查询

循环链表
链表首尾相连
循环链表可以用来解决约瑟夫环问题
链表的存储方式
链表通过指针域的指针链接在内存中各个节点
链表中的节点在内存中不是连续分布的 ,而是散乱分布在内存中的某地址上,分配机制取决于操作系统的内存管理
链表的定义
public class ListNode {
// 结点的值
int val;
// 下一个结点
ListNode next;
// 节点的构造函数(无参)
public ListNode() {
}
// 节点的构造函数(有一个参数)
public ListNode(int val) {
this.val = val;
}
// 节点的构造函数(有两个参数)
public ListNode(int val, ListNode next) {
this.val = val;
this.next = next;
}
}
链表的操作
删除节点
将要删除的节点的上一个节点的next指针 指向要删除的节点的下一个节点就可以了
在C++里最好手动释放这个节点
Java、Python,有自己的内存回收机制,不用自己手动释放

添加节点

链表的增添和删除都是O(1)操作,也不会影响到其他节点
但是要注意,要是删除第五个节点,需要从头节点查找到第四个节点通过next指针进行删除操作,查找的时间复杂度是O(n)、
性能分析

数组在定义的时候,长度就是固定的,如果想改动数组的长度,需要重新定义一个新的数组
链表的长度可以是不固定的,可以动态增删, 适合数据量不固定,频繁增删,较少查询的场景
链表理论基础建议:了解一下链表基础,以及链表和数组的区别
文章链接:https://programmercarl.com/%E9%93%BE%E8%A1%A8%E7%90%86%E8%AE%BA%E5%9F%BA%E7%A1%80.html
203.移除链表元素
题意:删除链表中等于给定值 val 的所有节点。
示例 1: 输入:head = [1,2,6,3,4,5,6], val = 6 输出:[1,2,3,4,5]
示例 2: 输入:head = [], val = 1 输出:[]
示例 3: 输入:head = [7,7,7,7], val = 7 输出:[]
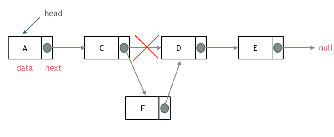
非头节点的移除操作,让节点next指针直接指向下下一个节点就可以
移除头结点和移除其他节点的操作是不一样的,因为链表的其他节点都是通过前一个节点来移除当前节点,而头结点没有前一个节点
将头结点向后移动一位就可以,这样就从链表中移除了一个头结点
直接使用原来的链表来进行删除操作
/**
* 方法1
* 时间复杂度 O(n)
* 空间复杂度 O(1)
* @param head
* @param val
* @return
*/
public ListNode removeElements(ListNode head, int val) {
while(head!=null && head.val==val) {
head = head.next;
}
ListNode curr = head;
while(curr!=null && curr.next !=null) {
if(curr.next.val == val){
curr.next = curr.next.next;
} else {
curr = curr.next;
}
}
return head;
}
/**
* 方法1
* 时间复杂度 O(n)
* 空间复杂度 O(1)
* @param head
* @param val
* @return
*/
public ListNode removeElements(ListNode head, int val) {
while (head != null && head.val == val) {
head = head.next;
}
// 已经为null,提前退出
if (head == null) {
return head;
}
// 已确定当前head.val != val
ListNode pre = head;
ListNode cur = head.next;
while (cur != null) {
if (cur.val == val) {
pre.next = cur.next;
} else {
pre = cur;
}
cur = cur.next;
}
return head;
}
给链表添加一个虚拟头结点为新的头结点,此时要移除这个旧头结点元素1
设置一个虚拟头结点在进行删除操作
/**
* 时间复杂度 O(n)
* 空间复杂度 O(1)
* @param head
* @param val
* @return
*/
public ListNode removeElements(ListNode head, int val) {
// 设置一个虚拟的头结点
ListNode dummy = new ListNode();
dummy.next = head;
ListNode cur = dummy;
while (cur.next != null) {
if (cur.next.val == val) {
cur.next = cur.next.next;
} else {
cur = cur.next;
}
}
return dummy.next;
}
203.移除链表元素建议: 本题最关键是要理解 虚拟头结点的使用技巧,这个对链表题目很重要。
题目链接/文章讲解/视频讲解::代码随想录
707.设计链表
在链表类中实现这些功能:
- get(index):获取链表中第 index 个节点的值。如果索引无效,则返回-1。
- addAtHead(val):在链表的第一个元素之前添加一个值为 val 的节点。插入后,新节点将成为链表的第一个节点。
- addAtTail(val):将值为 val 的节点追加到链表的最后一个元素。
- addAtIndex(index,val):在链表中的第 index 个节点之前添加值为 val 的节点。如果 index 等于链表的长度,则该节点将附加到链表的末尾。如果 index 大于链表长度,则不会插入节点。如果index小于0,则在头部插入节点。
- deleteAtIndex(index):如果索引 index 有效,则删除链表中的第 index 个节点。

设计链表的五个接口:
- 获取链表第index个节点的数值
- 在链表的最前面插入一个节点
- 在链表的最后面插入一个节点
- 在链表第index个节点前面插入一个节点
- 删除链表的第index个节点
//单链表
class MyLinkedList {
class ListNode {
int val;
ListNode next;
ListNode(int val) {
this.val=val;
}
}
//size存储链表元素的个数
private int size;
//注意这里记录的是虚拟头结点
private ListNode head;
//初始化链表
public MyLinkedList() {
this.size = 0;
this.head = new ListNode(0);
}
//获取第index个节点的数值,注意index是从0开始的,第0个节点就是虚拟头结点
public int get(int index) {
//如果index非法,返回-1
if (index < 0 || index >= size) {
return -1;
}
ListNode cur = head;
//第0个节点是虚拟头节点,所以查找第 index+1 个节点
for (int i = 0; i <= index; i++) {
cur = cur.next;
}
return cur.val;
}
public void addAtHead(int val) {
ListNode newNode = new ListNode(val);
newNode.next = head.next;
head.next = newNode;
size++;
// 在链表最前面插入一个节点,等价于在第0个元素前添加
// addAtIndex(0, val);
}
public void addAtTail(int val) {
ListNode newNode = new ListNode(val);
ListNode cur = head;
while (cur.next != null) {
cur = cur.next;
}
cur.next = newNode;
size++;
// 在链表的最后插入一个节点,等价于在(末尾+1)个元素前添加
// addAtIndex(size, val);
}
// 在第 index 个节点之前插入一个新节点,例如index为0,那么新插入的节点为链表的新头节点。
// 如果 index 等于链表的长度,则说明是新插入的节点为链表的尾结点
// 如果 index 大于链表的长度,则返回空
public void addAtIndex(int index, int val) {
if (index < 0 || index > size) {
return;
}
//找到要插入节点的前驱
ListNode pre = head;
for (int i = 0; i < index; i++) {
pre = pre.next;
}
ListNode newNode = new ListNode(val);
newNode.next = pre.next;
pre.next = newNode;
size++;
}
public void deleteAtIndex(int index) {
if (index < 0 || index >= size) {
return;
}
//因为有虚拟头节点,所以不用对index=0的情况进行特殊处理
ListNode pre = head;
for (int i = 0; i < index ; i++) {
pre = pre.next;
}
pre.next = pre.next.next;
size--;
}
}
//双链表
class MyLinkedList {
class ListNode{
int val;
ListNode next, prev;
ListNode(int val){
this.val = val;
}
}
//记录链表中元素的数量
private int size;
//记录链表的虚拟头结点和尾结点
private ListNode head, tail;
public MyLinkedList() {
//初始化操作
this.size = 0;
this.head = new ListNode(0);
this.tail = new ListNode(0);
//这一步非常关键,否则在加入头结点的操作中会出现null.next的错误!!!
this.head.next = tail;
this.tail.prev = head;
}
public int get(int index) {
//判断index是否有效
if(index < 0 || index >= size){
return -1;
}
ListNode cur = head;
//判断是哪一边遍历时间更短
if(index >= size / 2){
//tail开始
cur = tail;
for(int i = 0; i < size - index; i++){
cur = cur.prev;
}
}else{
for(int i = 0; i <= index; i++){
cur = cur.next;
}
}
return cur.val;
}
public void addAtHead(int val) {
//等价于在第0个元素前添加
addAtIndex(0, val);
}
public void addAtTail(int val) {
//等价于在最后一个元素(null)前添加
addAtIndex(size, val);
}
public void addAtIndex(int index, int val) {
//判断index是否有效
if(index < 0 || index > size){
return;
}
//找到前驱
ListNode pre = head;
for(int i = 0; i < index; i++){
pre = pre.next;
}
//新建结点
ListNode newNode = new ListNode(val);
newNode.next = pre.next;
pre.next.prev = newNode;
newNode.prev = pre;
pre.next = newNode;
size++;
}
public void deleteAtIndex(int index) {
//判断index是否有效
if(index < 0 || index >= size){
return;
}
//删除操作
ListNode pre = head;
for(int i = 0; i < index; i++){
pre = pre.next;
}
pre.next.next.prev = pre;
pre.next = pre.next.next;
size--;
}
}
/**
* Your MyLinkedList object will be instantiated and called as such:
* MyLinkedList obj = new MyLinkedList();
* int param_1 = obj.get(index);
* obj.addAtHead(val);
* obj.addAtTail(val);
* obj.addAtIndex(index,val);
* obj.deleteAtIndex(index);
*/
707.设计链表建议: 这是一道考察 链表综合操作的题目,不算容易,可以练一练 使用虚拟头结点
题目链接/文章讲解/视频讲解:代码随想录
206.反转链表
题意:反转一个单链表。
示例: 输入: 1->2->3->4->5->NULL 输出: 5->4->3->2->1->NULL
改变链表的next指针的指向,直接将链表反转 ,而不用重新定义一个新的链表
双指针法
首先定义一个cur指针,指向头结点,再定义一个pre指针,初始化为null
然后就要开始反转了,首先要把 cur->next 节点用tmp指针保存一下,也就是保存一下这个节点
接下来要改变 cur->next 的指向,将cur->next 指向pre ,此时已经反转了第一个节点了
循环走如下代码逻辑,继续移动pre和cur指针
最后,cur 指针已经指向了null,循环结束,链表也反转完毕了。 此时我们return pre指针就可以了,pre指针就指向了新的头结点
// 双指针
class Solution {
public ListNode reverseList(ListNode head) {
ListNode prev = null;
ListNode cur = head;
ListNode temp = null;
while (cur != null) {
temp = cur.next;// 保存下一个节点
cur.next = prev;
prev = cur;
cur = temp;
}
return prev;
}
递归法
同样是当cur为空的时候循环结束,不断将cur指向pre的过程
双指针法中初始化 cur = head,pre = NULL,在递归法中可以从如下代码看出初始化的逻辑也是一样的,只不过写法变了
// 递归
class Solution {
public ListNode reverseList(ListNode head) {
return reverse(null, head);
}
private ListNode reverse(ListNode prev, ListNode cur) {
if (cur == null) {
return prev;
}
ListNode temp = null;
temp = cur.next;// 先保存下一个节点
cur.next = prev;// 反转
// 更新prev、cur位置
// prev = cur;
// cur = temp;
return reverse(cur, temp);
}
}
206.反转链表建议先看我的视频讲解,视频讲解中对 反转链表需要注意的点讲的很清晰了,看完之后大家的疑惑基本都解决了。
题目链接/文章讲解/视频讲解:代码随想录
1627

被折叠的 条评论
为什么被折叠?



