论文:https://arxiv.org/pdf/1905.04899v2.pdf
官方代码:https://github.com/clovaai/CutMix-PyTorch
1. 论文核心
简单来讲,就是从A图中随机截取一个矩形区域,用该矩形区域的像素替换掉B图中对应的矩形区域,从而形成一张新的组合图片。同时,把标签按照一定的比例(矩形区域所占整张图的面积)进行线性组合计算损失。
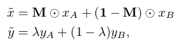
论文中的表达形式如下:
将图片和标签进行了线性组合。
2. 代码实现
def cutmix_criterion(criterion, pred, y_a, y_b, lam):
return lam * criterion(pred, y_a) + (1 - lam) * criterion(pred, y_b)
def cutmix_data(x, y, alpha=1.0, use_cuda=True):
'''Returns mixed inputs, pairs of targets, and lambda'''
assert alpha > 0
lam = np.random.beta(alpha, alpha)
batch_size = x.size()[0]
if use_cuda:
index = torch.randperm(batch_size).cuda()
else:
index = torch.randperm(batch_size)
y_a, y_b = y, y[index]
bbx1, bby1, bbx2, bby2 = rand_bbox(x.size(), lam)
x[:, :, bbx1:bbx2, bby1:bby2] = x[index, :, bbx1:bbx2, bby1:bby2]
# adjust lambda to exactly match pixel ratio
lam = 1 - ((bbx2 - bbx1) * (bby2 - bby1) / (x.size()[-1] * x.size()[-2]))
return x, y_a, y_b, lam
def rand_bbox(size, lam):
W = size[2]
H = size[3]
cut_rat = np.sqrt(1. - lam)
cut_w = np.int(W * cut_rat)
cut_h = np.int(H * cut_rat)
# uniform
cx = np.random.randint(W)
cy = np.random.randint(H)
bbx1 = np.clip(cx - cut_w // 2, 0, W)
bby1 = np.clip(cy - cut_h // 2, 0, H)
bbx2 = np.clip(cx + cut_w // 2, 0, W)
bby2 = np.clip(cy + cut_h // 2, 0, H)
return bbx1, bby1, bbx2, bby2
# 在train函数中做以下修改, 其他地方不做任何修改
for (inputs, targets) in tqdm(trainloader):
inputs, targets = inputs.to(device), targets.to(device)
r = np.random.rand(1)
if r < 0.5: # 做cutmix的概率为0.5
inputs, targets_a, targets_b, lam = cutmix_data(inputs, targets)
inputs, targets_a, targets_b = map(Variable, (inputs, targets_a, targets_b))
outputs = net(inputs)
loss = cutmix_criterion(criterion, outputs, targets_a.long(), targets_b.long(), lam)
else:
outputs = net(inputs)
loss = criterion(outputs, targets.long())
官方代码都写在train函数里,博主觉得函数过长,于是把核心功能cutmix封装成函数,看起来更简洁。
3. 作者实验
从作者的实验数据来看,CutMix的效果比Mixup和Cutout都好,并且在图像识别和目标检测任务上都涨点明显。
end
博主应用该trick正在训练模型,明天测试结果。
本文深入解析CutMix数据增强技巧,一种结合Cutout和Mixup优点的图像预处理方法,通过随机裁剪并拼接图像区域,提升模型泛化能力。实验证明,在图像识别和目标检测任务中效果显著。
334





