513. 找树左下角的值
https://leetcode.cn/problems/find-bottom-left-tree-value/
难度中等363
给定一个二叉树的 根节点 root,请找出该二叉树的 最底层 最左边 节点的值。
假设二叉树中至少有一个节点。
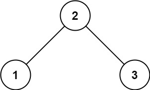
示例 1:

输入: root = [2,1,3] 输出: 1
示例 2:

输入: [1,2,3,4,null,5,6,null,null,7] 输出: 7
提示:
- 二叉树的节点个数的范围是
[1,104] -231 <= Node.val <= 231 - 1
通过次数130,867提交次数175,647
/**
* Definition for a binary tree node.
* public class TreeNode {
* int val;
* TreeNode left;
* TreeNode right;
* TreeNode() {}
* TreeNode(int val) { this.val = val; }
* TreeNode(int val, TreeNode left, TreeNode right) {
* this.val = val;
* this.left = left;
* this.right = right;
* }
* }
*/
class Solution {
public int findBottomLeftValue(TreeNode root) {
//层次遍历的最后一层的第一个
int ans=root.val;
Queue<TreeNode> queue = new LinkedList<TreeNode>();
if(root!=null) queue.offer(root);
while(!queue.isEmpty())
{
int size = queue.size();
for(int i=0;i<size;i++)
{
TreeNode node = queue.poll();
if(i==0) ans = node.val;
if(node.left!=null) queue.add(node.left);
if(node.right!=null) queue.add(node.right);
}
}
return ans;
}
}

667

被折叠的 条评论
为什么被折叠?



