- 博客(26)
- 收藏
- 关注
原创 HDU-2072单词数
#include <iostream>#include <cstdio>#include <algorithm>#include <cstring>#include <string>#include <set>#include <cctype>using namespace std;int read() { char ch; ch = getchar(); if (ch == '#') retur.
2021-01-30 00:05:16
167
原创 POJ - 1011 Sticks【DFS】
这道题是一个比较经典的DFS,但是我一开始不会。。。简单来说,思路是这样的:从小到大遍历所有可能的长度,假设当前遍历到长度为i,那么就要检验这个i是否是满足条件的解,如果是,因为是从小到大遍历,所以是最小的长度,如果不是,则继续遍历。那么什么才是满足条件的解呢,要求是所有的木棒正好能组合成整数个i长度的木棒。那么怎么判断呢,使用深度优先搜索,对于给定的n个木棒,搜索一种解法能让其组合成整数个i长度的木棒。其实,这个问题的关键还是看剪枝,主要从三个方面进行剪枝(说实话我做的时候真的怎么都想不到),
2021-01-20 17:51:38
479
原创 Codeforces-377A Maze(深度优先搜索)
Codeforces-377A Maze这道题是一道比较简单的思维题,只需要使用dfs或者bfs搜索哪些块不用删除,而剩下的块则必须删除,因此我想到的解法有两种,一种是使用DFS遍历,一种是使用BFS遍历,提交的时候使用的水BFS。具体代码如下,因为代码都比较直观,不再多做解释,请见谅。#include <iostream>#include <cstdio>#include <algorithm>#include <cstring>#inclu
2021-01-12 22:51:52
315
原创 C++之类部分探究
#include <iostream>#include <string>using namespace std;class vclass{public: string str = "pclass"; vclass() { cout << "create vlass" << endl; } virtual ~vclass() ...
2019-10-26 13:57:45
209
原创 C++之函数处理数组和const指针
一 const 保护数组#include <iostream>using namespace std;void modify(const int a[]){ a++; //a[0] += 10;}int main(){ return 0;}二、const与指针#include <iostream>]using namespace st...
2019-10-26 12:57:35
424
原创 C++循环链表之约瑟夫环
#include <cstdio>#include <iostream>#include <cstdlib>using namespace std;struct node{ int index; node * next;};typedef node * LNode;class CLL{ public: ...
2019-10-10 21:08:03
753
原创 Shell编程之基础语法
今天在菜鸟教程上学习了一下shell编程。。。#!/bin/bash#the variety of shell#declare a varietynum=123456#use the varietyecho $num#note the border of varietyecho this is a ${num}ber#this is a readonly variety#rov...
2019-10-04 19:23:57
214
原创 C++学习之用户自定义类的强制类型转换
在C++中我们使用C++的基本类型的时候有时候会需要强制类型转换,比如说void转换为int。但是如果使我们自定义类型的怎么办,在C++我们可以通过重载operator typename()来实现。下面是代码:#include <iostream>#include <cstdio>#include <algorithm>using namespace...
2019-10-02 15:54:00
1644
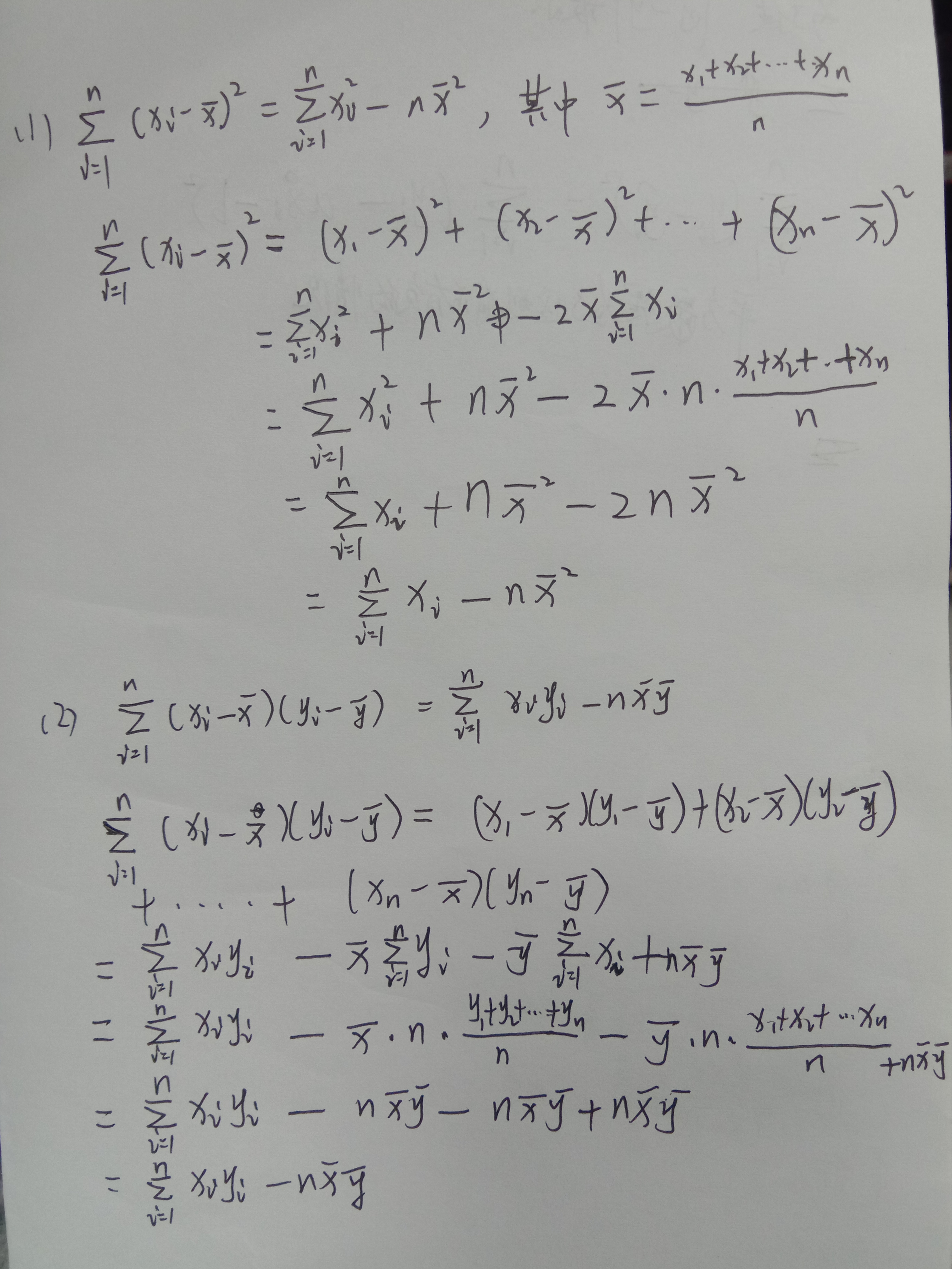
原创 最小二乘法推导以及理解
我在网上发现了两种推导方式,于是自己跟着推导了一遍。。。。。(一)(高数式推导): [参考博客](https://blog.youkuaiyun.com/MarsJohn/article/details/54911788) 这里先引入两个提前推得出的结论: .system('pip install numpy')#或者os.system('pip install numpy') try: import numpy ok = True; except: continue以上两者的最直...
2019-09-07 19:31:14
1608
原创 数据结构之KMP算法实现
最近学习KMP算法,就自己实现了一下试试,因为没有完整的测试过,所以也不知道是不是完全正确,但是本地输入的几个测试样例都过了。。。。。#include <iostream>#include <cstdio>#include <string>using namespace std;void get_next(string input,int next...
2019-09-07 13:57:11
540
原创 数据结构——稀疏矩阵之快速转置算法实现
#include <iostream>#include <cstdio>#include <vector>#include <algorithm>using namespace std;template<typename D>class SMatrix{ public: struct DD//二维矩...
2019-09-06 17:51:08
1576
原创 数据结构之队列
#include <iostream>#include <cstdio>#include <stdlib.h>using namespace std;namespace Queue{ template<typename Q> class queue{ typedef Q * ptr; pu...
2019-09-04 20:38:28
171
原创 数据结构之栈
#include <iostream>#include <cstdlib>using namespace std;namespace Stack{ template<typename N> class stack { typedef N* S; private : S sk;...
2019-09-04 10:56:58
162
原创 数据结构之线性表
#ifndef _LIST_H_#define _LIST_H_#include <iostream>#include <cstdio>namespace Linear{ class FNode{ public : //virtual operator <() = 0; virtual voi...
2019-09-03 12:34:37
219
原创 C++ 复习之文件输入输出(简短)
#include <iostream>#include <algorithm>#include <fstream>#include <string>using namespace std;int main(){ ifstream fin;//输入 fin.open("002.cpp"); string line...
2019-09-02 23:28:33
225
原创 C++复习之循环和常规输入输出
#include <iostream>#include <vector>#include <string>using namespace std;int main(){ vector<int> v; v.clear(); for (int i=1;i<=8;i++) v.push_back(i); ...
2019-08-31 17:21:11
343
原创 c++ 复习之string的使用
字符串:#include <iostream>#include <cstdio>#include <string>int main(){ using namespace std; string str1 = "this is a string"; string str2("string"); cout <<...
2019-08-31 17:01:07
175
原创 Numpy学习之线性代数(持续更新)
依照Numpy官方中文文档:https://www.numpy.org.cn/reference/routines/linalg.html矩阵和矢量产品:dot(a, b[, out]) 两个数组的点积。linalg.multi_dot(arrays) 在单个函数调用中计算两个或多个数组的点积,同时自动选择最快的求值顺序。>>> a = np.random.random(...
2019-08-31 16:34:21
273
原创 Numpy进阶之Less基础
花式索引和索引技巧:>>> a = np.arange(12)**2>>> aarray([ 0, 1, 4, 9, 16, 25, 36, 49, 64, 81, 100, 121], dtype=int32)>>> i = np.array([1,1,3,5,8])>>> a...
2019-08-31 15:50:11
1734
原创 Numpy数组之深拷贝
我是跟着numpy官方中文文档敲的代码,官方中文文档网址为:https://www.numpy.org.cn/user_guide/quickstart_tutorial/deep_copy.htmlcopy 方法生成数组及其数据的完整拷贝。>>> d = a.copy()>>> darray([[ 0, 1, 2, 3], [ 4,...
2019-08-31 14:21:20
3036
原创 Numpy数组之浅拷贝
我是跟着numpy官方中文文档敲的代码,官方文档地址为https://www.numpy.org.cn/user_guide/quickstart_tutorial/copies_and_views.htmlnumpy数组在进行操作时,究竟何时会复制数据,何时不会,这是一个问题。这边文章通过以下三种情况来解释一下。完全不复制:简单赋值不会创建数组对象或其数据的拷贝。>>>...
2019-08-31 14:15:47
347
原创 Numpy进阶之形状操作
我是跟着numpy中文官方文档敲的代码,原文地址:https://www.numpy.org.cn/user_guide/quickstart_tutorial/shape_manipulation.html下面就开始了:改变数组形状:>>> a = np.floor(10 * np.random.random((3,4)))>>> aarray([[...
2019-08-31 14:03:47
1494
原创 Numpy库学习之基础篇
我是根据官方中文文档,跟着敲的代码,原文地址为https://www.numpy.org.cn/article/basics/an_introduction_to_scientific_python_numpy.html首先,导入库import numpy as np生成ndarray:首先,np.array()可以传递任何序列,不仅仅是listnp.linspace(start, s...
2019-08-30 23:34:10
731
原创 NumCpp的安装
最近想用一下Numpy库的c++版,但是安装比较复杂,不过还好最终安装完成了我使用的IDE是VSC++2017;下面是步骤第一步,阅读官方文档,我下载的版本需要下载Boost1.7或Boost1.68,所以我就去官网下载了Boost;第二步,下载Boost;第三步,运行新出现的b2.exe和bjam.exe;第四步,安装Boost:在解压完的文件夹里找到bootstrap.bat并运行...
2019-08-30 22:03:14
2584
1
空空如也
空空如也
TA创建的收藏夹 TA关注的收藏夹
TA关注的人
RSS订阅