💥💥💞💞欢迎来到本博客❤️❤️💥💥
🏆博主优势:🌞🌞🌞博客内容尽量做到思维缜密,逻辑清晰,为了方便读者。
⛳️座右铭:行百里者,半于九十。
📋📋📋本文内容如下:🎁🎁🎁
⛳️赠与读者
👨💻做科研,涉及到一个深在的思想系统,需要科研者逻辑缜密,踏实认真,但是不能只是努力,很多时候借力比努力更重要,然后还要有仰望星空的创新点和启发点。建议读者按目录次序逐一浏览,免得骤然跌入幽暗的迷宫找不到来时的路,它不足为你揭示全部问题的答案,但若能解答你胸中升起的一朵朵疑云,也未尝不会酿成晚霞斑斓的别一番景致,万一它给你带来了一场精神世界的苦雨,那就借机洗刷一下原来存放在那儿的“躺平”上的尘埃吧。
或许,雨过云收,神驰的天地更清朗.......🔎🔎🔎
💥第一部分——内容介绍
PMSM基于ESO扩张观测器的无差拍预测电流控制DPCC+SVPWM调制+一拍延时补偿的仿真研究
摘要:本文聚焦于永磁同步电机(PMSM)控制领域,提出一种结合转速PI控制、基于ESO扩张观测器的无差拍预测电流控制(DPCC)、SVPWM调制以及一拍延时补偿的控制策略。通过理论分析与仿真研究,验证该策略在提升系统鲁棒性和抗干扰能力方面的有效性,且仿真结果贴近实际电机控制,具备移植到DSP的可行性。研究为PMSM高性能控制提供了新的思路和方法。
关键词:永磁同步电机;ESO扩张观测器;无差拍预测电流控制;SVPWM调制;一拍延时补偿
一、引言
永磁同步电机凭借其高效率、高功率密度和优良动态性能等优势,在新能源汽车、工业自动化等众多领域得到广泛应用。在电机控制系统中,精确且快速地控制电机电流和转速是实现高性能运行的关键。传统的控制方法,如PI控制,虽具有结构简单、易于实现等优点,但在面对参数变化和外部扰动时,其鲁棒性和抗干扰能力有限。
无差拍预测电流控制(DPCC)作为一种先进的电流控制策略,通过精确预测电机电流,能够在动态环境下快速响应负载变化,实现电流的快速跟踪控制,具有动态性能好、响应速度快等优点。然而,DPCC对电机参数的准确性依赖较高,当电机参数发生失配时,其控制性能会急剧下降。
扩张状态观测器(ESO)作为一种不依赖于精确系统模型、对参数变化不敏感的观测器,能够实时估计系统中的不确定因素和扰动,为控制系统提供有效的补偿信息。将ESO引入DPCC中,可提升系统对参数失配和外部扰动的鲁棒性。
SVPWM调制技术通过控制逆变器开关产生的基本电压矢量来合成目标电压矢量,相比传统的正弦脉宽调制(SPWM),具有更高的母线电压利用率、更少的谐波和更快的动态响应等优点,是实现矢量控制的关键技术之一。
此外,在实际的电机控制系统中,由于采样、计算等环节的存在,控制信号的输出会存在一拍延时,若不进行补偿,会影响系统的控制性能。因此,对一拍延时进行补偿是提高系统性能的重要环节。
本文旨在研究一种结合转速PI控制、基于ESO扩张观测器的DPCC、SVPWM调制以及一拍延时补偿的PMSM控制策略,通过仿真研究验证该策略的有效性和可行性。
二、控制策略原理
2.1 转速PI控制原理
转速PI控制是一种经典的反馈控制方法,通过将电机的实际转速与给定转速进行比较,得到转速误差信号,然后对误差信号进行比例(P)和积分(I)运算,得到控制电压或电流的参考值,从而实现对电机转速的精确控制。其控制规律表达式为:

其中,u(t)为控制器的输出,e(t)为转速误差,Kp为比例系数,Ki为积分系数。比例环节能够快速响应转速误差,减小系统的上升时间;积分环节则能够消除系统的稳态误差,提高系统的控制精度。
2.2 基于ESO扩张观测器的DPCC原理
2.2.1 DPCC基本原理
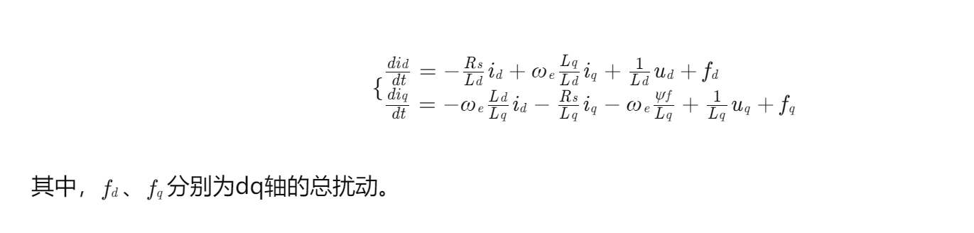
DPCC是基于电机的离散参数模型,通过实时估算电流未来时刻值来给出控制器参考电压指令的一种控制方法。以PMSM在同步旋转坐标系下的dq轴电压方程为例:

将上述方程离散化后,可得到电流预测模型。假设在当前控制周期k时刻,已知电机的状态信息(如电流、转速等),根据电流预测模型可以计算出下一控制周期k+1时刻的电流预测值。为了使k+1时刻的电流实际值能够跟随给定值,可通过反解得到当前控制周期k时刻应施加的电压参考值。
2.2.2 ESO扩张观测器原理
ESO是将系统中的不确定因素和扰动,包括参数变化、外部干扰等,扩张为一个新的状态变量进行实时估计的一种观测器。对于PMSM系统,可将参数失配和外部扰动等效为一个总的扰动项,将系统状态方程扩展为包含该扰动项的形式。
以dq轴电流状态方程为例,将其扩展为:

ESO通过设计合适的观测器增益,对系统的状态变量(id、iq)和扰动变量(fd、fq)进行实时估计。将估计得到的扰动值补偿到DPCC的电压参考值计算中,从而减小参数失配和外部扰动对系统性能的影响。
2.3 SVPWM调制原理
SVPWM调制技术是基于空间矢量的概念,将三相逆变器的八个基本电压矢量(六个非零矢量和两个零矢量)进行合成,以产生接近理想圆形旋转磁场的目标电压矢量。其基本原理是将三相电压在复平面上表示为空间矢量,通过判断目标电压矢量所在的扇区,选择合适的基本电压矢量进行合成,并计算各基本电压矢量的作用时间。
SVPWM调制具有以下优点:
- 母线电压利用率高:相比SPWM,SVPWM能够将直流母线电压利用率提高约15.47%,从而在相同的直流母线电压下,输出更高的交流电压。
- 谐波含量少:SVPWM调制产生的电压波形更接近正弦波,谐波含量较低,能够有效减少电机运行时的电流谐波和转矩脉动,提高电机的运行平稳性。
- 动态响应快:SVPWM调制能够快速响应控制信号的变化,实现电压矢量的快速切换,从而提高系统的动态响应速度。
2.4 一拍延时补偿原理
在实际的电机控制系统中,由于采样、计算等环节的存在,控制信号从采样到输出会存在一定的时间延迟,通常为一拍延时。若不进行补偿,当前控制周期计算得到的电压参考值将在下一控制周期才能作用于电机,这会导致电流预测值与实际值之间存在偏差,影响系统的控制性能。
一拍延时补偿的基本原理是在当前控制周期k时刻,根据当前时刻的电流采样值和上一控制周期k−1时刻施加的电压值,利用电流预测模型预测出当前时刻的电流值。然后,根据预测得到的当前时刻电流值和给定电流值,计算出下一控制周期k+1时刻应施加的电压参考值。这样,在当前控制周期结束时,将计算得到的电压参考值输出给逆变器,从而消除一拍延时对系统性能的影响。
三、仿真模型搭建
3.1 仿真平台选择
本文采用Matlab/Simulink平台进行仿真研究。Simulink作为一种图形化的仿真环境,具有强大的建模和仿真功能,能够方便地实现各种控制算法和电机模型的搭建,并且提供了丰富的模块库和工具箱,便于进行系统级的仿真和分析。
3.2 电机模型建立
在Simulink中,可直接调用预制的PMSM模块,该模块已封装了完整的电磁动力学方程,并支持参数化配置定子电阻、dq轴电感、极对数、永磁磁链等关键物理量。根据实际电机的参数,对PMSM模块进行参数设置,以准确模拟电机的运行特性。
3.3 控制算法模块实现
3.3.1 转速PI控制模块
根据转速PI控制的原理,在Simulink中搭建转速PI控制器模块。将电机的实际转速反馈值与给定转速值进行比较,得到转速误差信号,然后通过比例和积分运算,得到转速环的输出,作为电流环的给定值。
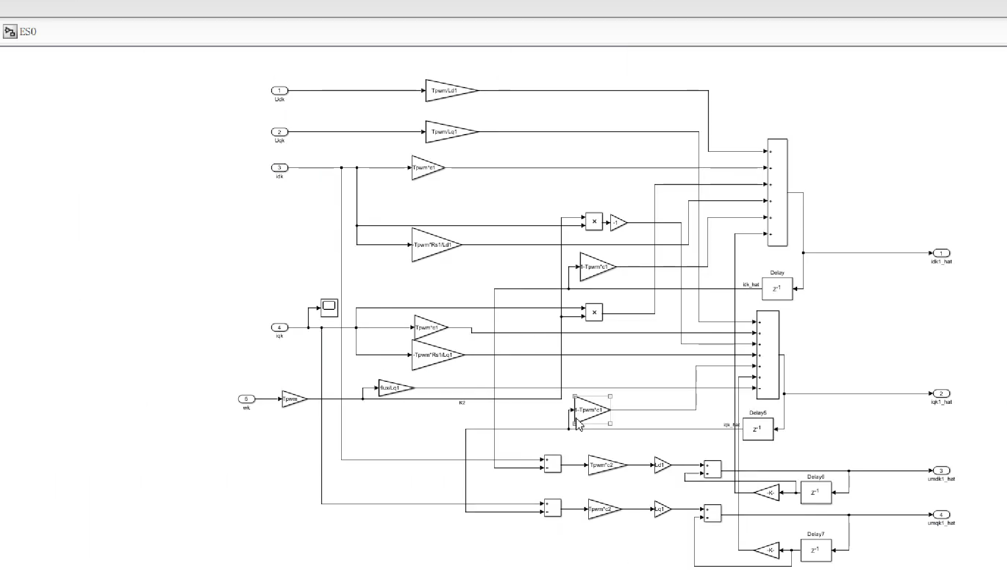
3.3.2 基于ESO扩张观测器的DPCC模块
- 电流预测模块:根据PMSM的dq轴电压方程和离散化方法,搭建电流预测模型。在当前控制周期内,根据上一控制周期的电流采样值、电压值以及当前时刻的转速等信息,预测出当前时刻的电流值。
- ESO观测器模块:设计ESO观测器,对dq轴电流和扰动进行实时估计。根据电流预测模型和ESO的设计方法,确定观测器的增益参数,通过观测器模块输出估计的电流值和扰动值。
- 电压补偿模块:将ESO观测器估计得到的扰动值补偿到电流预测模型中,根据补偿后的电流预测值和给定电流值,计算出电压参考值。
3.3.3 SVPWM调制模块
利用Simulink中的SVPWM模块,将DPCC模块输出的电压参考值转换为逆变器开关的触发信号。根据目标电压矢量所在的扇区,选择合适的基本电压矢量进行合成,并计算各基本电压矢量的作用时间,生成相应的PWM信号,驱动逆变器工作。
3.3.4 一拍延时补偿模块
在当前控制周期内,根据当前时刻的电流采样值和上一控制周期施加的电压值,利用电流预测模型预测出当前时刻的电流值。然后,根据预测得到的当前时刻电流值和给定电流值,计算出下一控制周期应施加的电压参考值,实现一拍延时补偿。
3.4 仿真参数设置
根据实际电机的参数和仿真要求,设置仿真参数,包括电机参数(如定子电阻、dq轴电感、极对数、永磁磁链等)、控制参数(如转速PI控制器的比例系数和积分系数、ESO观测器的增益参数等)、仿真步长、开关周期、转速采样周期等。
四、仿真结果与分析
4.1 空载启动仿真
设置电机空载启动,给定转速为1200r/min。仿真结果表明,采用本文提出的控制策略,电机能够快速启动并达到给定转速,启动过程中转速超调小,电流波动较小。与传统PI控制相比,本文控制策略下的电机启动过程更加平稳,动态响应更快。
4.2 负载突变仿真
在电机运行过程中,分别在0.5s时突加5N·m负载,在0.35s时突减5N·m负载。仿真结果显示,当负载突变时,电机转速能够快速恢复稳定,转矩响应迅速,能够及时跟踪负载的变化。与传统控制方法相比,本文控制策略在负载突变时具有更好的抗干扰能力,系统的鲁棒性更强。
4.3 参数失配仿真
为了验证本文控制策略对参数失配的鲁棒性,在仿真中故意设置电机参数与实际参数不匹配,如将定子电阻设置为实际电阻的200%,电感设置为实际电感的50%,永磁体磁链设置为实际磁链的50%。仿真结果表明,即使在参数失配的情况下,本文提出的基于ESO扩张观测器的DPCC控制策略仍能够保持良好的控制性能,电流跟踪精度高,电机转速稳定,而传统DPCC控制策略在参数失配时性能急剧下降,出现电流波动大、转速不稳定等问题。
4.4 与其他控制策略对比
将本文提出的控制策略与传统PI控制、未引入ESO的DPCC控制进行对比。仿真结果表明,本文控制策略在动态性能、稳态精度和鲁棒性等方面均优于传统PI控制和未引入ESO的DPCC控制。在动态响应方面,本文控制策略能够更快地跟踪转速和电流的变化;在稳态精度方面,本文控制策略下的电流谐波更小,转速波动更小;在鲁棒性方面,本文控制策略对参数失配和外部扰动具有更强的抑制能力。
五、结论
本文提出了一种结合转速PI控制、基于ESO扩张观测器的DPCC、SVPWM调制以及一拍延时补偿的PMSM控制策略。通过理论分析和仿真研究,得出以下结论:
- 该控制策略能够有效提升系统的鲁棒性和抗干扰能力,在参数失配和外部扰动的情况下,仍能保持良好的控制性能,实现电机电流和转速的精确控制。
- SVPWM调制技术的应用提高了系统的母线电压利用率,减少了电流谐波和转矩脉动,改善了电机的运行平稳性。
- 一拍延时补偿有效消除了控制信号输出延迟对系统性能的影响,提高了系统的动态响应速度。
- 仿真结果贴近实际电机控制,验证了该控制策略的可行性和有效性,且该控制策略具备移植到DSP的潜力,为PMSM高性能控制的实际应用提供了参考。
未来的研究可以进一步优化ESO观测器的参数设计方法,提高观测器的估计精度和动态响应速度;同时,可以研究将该控制策略应用于更复杂的工况和不同类型的PMSM中,拓展其应用范围。
📚第二部分——运行结果









🎉第三部分——参考文献
文章中一些内容引自网络,会注明出处或引用为参考文献,难免有未尽之处,如有不妥,请随时联系删除。(文章内容仅供参考,具体效果以运行结果为准)
🌈第四部分——本文完整资源下载
资料获取,更多粉丝福利,MATLAB|Simulink|Python|数据|文档等完整资源获取

1201

被折叠的 条评论
为什么被折叠?



