💥💥💞💞欢迎来到本博客❤️❤️💥💥
🏆博主优势:🌞🌞🌞博客内容尽量做到思维缜密,逻辑清晰,为了方便读者。
⛳️座右铭:行百里者,半于九十。
💥1 概述
全局寻优粒子群算法MPPT仿真模型(光伏阵列多峰值特性曲线)研究
摘要:本文聚焦于光伏阵列在复杂环境下呈现多峰值特性曲线时的最大功率点跟踪(MPPT)问题,提出基于全局寻优粒子群算法的MPPT仿真模型。通过理论分析、模型构建与仿真验证,证明该模型能有效应对多峰值特性曲线,准确找到全局最大功率点,提高光伏系统的能量利用效率,为光伏系统的高效运行提供理论支持与技术方案。
关键词:全局寻优粒子群算法;MPPT;光伏阵列;多峰值特性曲线;仿真模型
一、引言
随着全球能源需求的增长与能源结构的转型,太阳能作为一种清洁、可再生的能源,其开发利用受到广泛关注。光伏发电系统作为太阳能利用的主要形式,其发电效率的提升至关重要。最大功率点跟踪(Maximum Power Point Tracking, MPPT)技术是提高光伏系统发电效率的关键环节,它能够使光伏阵列在不同环境条件下始终工作在最大功率点,实现最大功率输出。
然而,在实际应用中,光伏阵列往往会受到局部阴影、组件老化、积尘覆盖等因素的影响,导致其输出特性曲线呈现出多峰值特性。传统的MPPT方法,如扰动观测法、电导增量法等,通常只能找到局部最大功率点,难以在多峰值特性曲线上准确跟踪到全局最大功率点,从而降低了光伏系统的发电效率。因此,研究适用于光伏阵列多峰值特性曲线的全局寻优MPPT算法具有重要的现实意义。
粒子群优化算法(Particle Swarm Optimization, PSO)是一种基于群体智能的全局优化算法,具有收敛速度快、算法简单、易于实现等优点,被广泛应用于函数优化、神经网络训练、控制系统优化等领域。将PSO算法应用于光伏系统的MPPT控制中,有望解决多峰值特性曲线下的全局最大功率点跟踪问题。本文旨在构建基于全局寻优粒子群算法的MPPT仿真模型,并通过仿真实验验证其有效性和优越性。
全局寻优粒子群算法MPPT仿真模型是一种针对光伏阵列中产生的多峰值特性曲线的最大功率跟踪(Maximum Power Point Tracking,MPPT)问题而设计的仿真模型。光伏阵列的特性曲线通常在遮阴等复杂环境下呈现出多个峰值,传统的MPPT方法难以有效跟踪这些峰值,而该仿真模型采用全局寻优粒子群算法来优化跟踪过程。
在该仿真模型中,全局寻优粒子群算法被用作一种智能算法,能够在多峰值特性曲线中找到最大功率点。粒子群算法模拟了鸟群寻找食物的行为,通过不断迭代和优化粒子的位置和速度,以搜索全局最优解。
该仿真模型的实现过程涉及多个步骤。首先,需要建立光伏阵列的数学模型,包括阵列的电流电压特性曲线方程等,以描述光伏阵列的行为。其次,需要确定全局寻优粒子群算法的参数和适应度函数,以确保算法能够有效地搜索到最大功率点。然后,可以通过输入不同的环境条件和光照强度,运行仿真模型并观察算法跟踪到的最大功率点的稳定性和准确性。
此外,该仿真模型还具有全局寻优的特点,即能够找到整个特性曲线中的最大功率点,而不仅仅局限于单个峰值。这意味着即使光照条件发生变化,也能够快速、准确地调整光伏阵列的工作状态以实现最大功率输出。
综上,全局寻优粒子群算法MPPT仿真模型是一种智能算法驱动的仿真模型,专门针对光伏阵列中的多峰值特性曲线问题。通过使用全局寻优粒子群算法,它能够高效、准确地跟踪并寻找光伏阵列的最大功率点,提高光伏系统的能量利用效率。
二、光伏阵列多峰值特性曲线分析
2.1 光伏阵列的数学模型
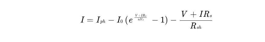
光伏电池是光伏阵列的基本单元,其输出特性可以用单二极管等效模型来描述。在标准测试条件(STC,即光照强度为1000W/m²,温度为25℃)下,光伏电池的输出电流I与输出电压V之间的关系可以表示为:

其中,Iph为光生电流,I0为二极管反向饱和电流,n为二极管理想因子,Vt为热电压,Rs为串联电阻,Rsh为并联电阻。
光伏阵列通常由多个光伏组件串联和并联组成,其输出特性是各个光伏组件输出特性的综合体现。在均匀光照条件下,光伏阵列的P - V特性曲线呈现单峰值特性;但在局部阴影条件下,由于不同组件所受光照强度不同,光伏阵列的P - V特性曲线会出现多个峰值。
2.2 多峰值特性曲线的形成原因
局部阴影是导致光伏阵列P - V特性曲线出现多峰值的主要原因。当光伏阵列中的部分组件被阴影遮挡时,被遮挡组件的输出电流会减小,而未被遮挡组件的输出电流基本不变。在串联电路中,电流处处相等,因此整个串联支路的电流会受到被遮挡组件的限制,导致该支路的输出功率下降。同时,由于不同串联支路的阴影情况不同,各支路的输出特性也会存在差异,从而在光伏阵列的P - V特性曲线上形成多个峰值。
2.3 多峰值特性曲线的分布特点
通过对光伏阵列多峰值特性曲线的统计分析发现,多峰功率 - 电压(P - U)特性曲线上相邻最大功率点(MPP)的电压间距较大,且大部分案例中全局MPP位于电压轴右半边;全局MPP两侧的局部MPP功率呈单调递减趋势的概率较大;负载线与电流 - 电压(I - U)特性曲线的交点与全局山峰有密切联系。这些分布特点为多峰值MPPT算法的设计提供了重要依据。
三、全局寻优粒子群算法原理
3.1 粒子群算法的基本概念
粒子群算法是一种模拟鸟群觅食行为的群体智能优化算法。在PSO算法中,每个潜在解都被看作是一个粒子,粒子在解空间中飞行,通过不断调整自己的位置和速度来搜索最优解。每个粒子具有两个属性:位置和速度。位置表示粒子在解空间中的位置,对应着问题的一个潜在解;速度表示粒子飞行的方向和距离,决定了粒子在解空间中的移动方式。
3.2 粒子的速度与位置更新公式
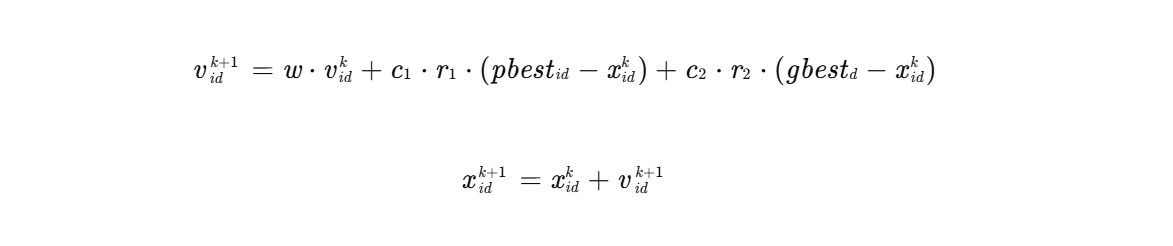
在标准PSO算法中,粒子的速度和位置更新公式如下:

其中,vidk表示粒子i在第k次迭代中第d维的速度;xidk表示粒子i在第k次迭代中第d维的位置;w为惯性权重,控制粒子的运动惯性,较大的惯性权重有利于全局搜索,较小的惯性权重有利于局部搜索;c1、c2为学习因子,分别代表个体学习和社会学习的权重,通常取值为[0, 2];r1、r2为[0, 1]区间内的随机数,用于增加搜索的随机性;pbestid表示粒子i在第d维的个体最优位置;gbestd表示整个种群在第d维的全局最优位置。
3.3 全局寻优的实现机制
PSO算法通过粒子之间的信息共享和协同合作来实现全局寻优。在每次迭代过程中,每个粒子根据个体最优位置和全局最优位置来更新自己的速度和位置。个体最优位置记录了粒子自身在搜索过程中找到的最优解,全局最优位置则是整个粒子群在搜索过程中找到的最优解。通过不断比较和更新个体最优位置和全局最优位置,粒子群逐渐向全局最优解靠近,最终找到问题的全局最优解。
四、基于全局寻优粒子群算法的MPPT仿真模型构建
4.1 仿真模型的整体架构
基于全局寻优粒子群算法的MPPT仿真模型主要由光伏阵列模型、DC - DC转换器模型、MPPT控制器模型和负载模型组成。光伏阵列模型用于模拟光伏阵列在不同光照和温度条件下的输出特性;DC - DC转换器模型用于调节光伏阵列的输出电压和电流,实现最大功率跟踪;MPPT控制器模型采用全局寻优粒子群算法,根据光伏阵列的输出特性实时调整DC - DC转换器的控制参数,使光伏阵列工作在最大功率点;负载模型用于模拟光伏系统的实际负载情况。
4.2 光伏阵列模型的建立
根据光伏阵列的数学模型,在仿真环境中建立光伏阵列模型。考虑局部阴影对光伏阵列的影响,通过设置不同的光照强度来模拟不同的阴影状态。例如,对于一个由多个光伏组件串联和并联组成的光伏阵列,可以分别设置每个组件的光照强度,以模拟实际工程中可能出现的局部阴影情况。
4.3 MPPT控制器的设计
MPPT控制器是整个仿真模型的核心部分,其设计质量直接影响着最大功率跟踪的效果。在基于全局寻优粒子群算法的MPPT控制器中,将DC - DC转换器的占空比作为粒子,通过PSO算法来优化占空比的值,使光伏阵列的输出功率达到最大。具体设计步骤如下:
- 初始化粒子群:确定粒子群的规模、初始位置和初始速度。粒子群的规模可以根据光伏阵列的串联支路数进行合理设置,初始位置可以随机分布在可能的最大功率点附近,初始速度可以设置为一个较小的随机值。
- 计算适应度函数:适应度函数用于评价每个粒子的优劣程度,在MPPT问题中,通常选择光伏阵列的输出功率作为适应度函数。通过采样光伏阵列的输出电压和电流,计算每个粒子对应的输出功率,并将其作为适应度值。
- 更新个体最优位置和全局最优位置:比较每个粒子的当前适应度值与其个体最优适应度值,如果当前适应度值更大,则更新个体最优位置;比较所有粒子的当前适应度值,找出其中的最大值,并将其对应的粒子位置更新为全局最优位置。
- 更新粒子的速度和位置:根据速度和位置更新公式,更新每个粒子的速度和位置。在更新过程中,需要对粒子的速度和位置进行限制,以确保它们在合理的范围内变化。
- 判断停止条件:设置停止条件,如达到最大迭代次数或解的变化小于某个阈值等。当满足停止条件时,停止迭代,输出全局最优解,即最大功率点对应的占空比。
4.4 DC - DC转换器模型的选择
DC - DC转换器是实现最大功率跟踪的关键环节,其作用是将光伏阵列的输出电压和电流转换为适合负载的电压和电流,并通过调节占空比来实现最大功率跟踪。常见的DC - DC转换器有Boost转换器、Buck转换器和Buck - Boost转换器等。在光伏系统的MPPT控制中,通常采用Boost转换器,因为它可以实现升压功能,使光伏阵列的输出电压能够升高到适合负载的电压水平。
五、仿真实验与结果分析
5.1 仿真实验设置
为了验证基于全局寻优粒子群算法的MPPT仿真模型的有效性和优越性,设计了一系列仿真实验。实验中,采用一个由多个光伏组件组成的光伏阵列,模拟不同的局部阴影状态,设置不同的光照强度组合。同时,将基于全局寻优粒子群算法的MPPT模型与传统MPPT方法(如扰动观测法)进行对比实验。
5.2 仿真结果分析
5.2.1 不同阴影状态下的跟踪效果
在不同阴影状态下,对基于全局寻优粒子群算法的MPPT模型进行仿真实验,观察其跟踪最大功率点的效果。实验结果表明,该模型能够准确跟踪到全局最大功率点,不受局部峰值的影响。例如,在一种复杂的阴影状态下,光伏阵列的P - V特性曲线出现了多个峰值,传统的MPPT方法可能会陷入局部峰值点,而基于全局寻优粒子群算法的MPPT模型能够快速、准确地找到全局最大功率点,使光伏阵列的输出功率达到最大。
5.2.2 与传统MPPT方法的对比
将基于全局寻优粒子群算法的MPPT模型与传统MPPT方法(如扰动观测法)进行对比实验,比较它们的跟踪速度、稳态精度和输出功率等指标。实验结果显示,基于全局寻优粒子群算法的MPPT模型在跟踪速度和稳态精度方面均优于传统MPPT方法。在跟踪速度方面,PSO算法能够快速收敛到全局最优解,而传统MPPT方法可能需要较长的时间才能找到最大功率点;在稳态精度方面,PSO算法能够更准确地跟踪最大功率点,减少功率波动,提高光伏系统的稳定性。
5.2.3 动态环境下的适应性分析
为了验证模型在动态环境下的适应性,模拟光照强度和温度的动态变化,观察模型的跟踪效果。实验结果表明,基于全局寻优粒子群算法的MPPT模型能够实时响应环境变化,快速调整光伏阵列的工作状态,始终保持最大功率输出。这说明该模型具有较强的适应性和鲁棒性,能够在实际应用中应对复杂多变的环境条件。
六、结论与展望
6.1 研究结论
本文针对光伏阵列在复杂环境下呈现多峰值特性曲线时的最大功率点跟踪问题,提出了基于全局寻优粒子群算法的MPPT仿真模型。通过理论分析、模型构建与仿真验证,得出以下结论:
- 局部阴影是导致光伏阵列P - V特性曲线出现多峰值的主要原因,多峰值特性曲线的分布特点为MPPT算法的设计提供了重要依据。
- 全局寻优粒子群算法具有收敛速度快、全局搜索能力强等优点,能够有效解决多峰值特性曲线下的全局最大功率点跟踪问题。
- 基于全局寻优粒子群算法的MPPT仿真模型能够准确跟踪到全局最大功率点,不受局部峰值的影响,在跟踪速度、稳态精度和动态适应性等方面均优于传统MPPT方法,能够显著提高光伏系统的能量利用效率。
6.2 研究展望
虽然本文提出的基于全局寻优粒子群算法的MPPT仿真模型在理论和仿真实验中取得了良好的效果,但在实际应用中仍存在一些问题和挑战,需要进一步研究和改进:
- 算法参数优化:PSO算法的性能受到惯性权重、学习因子等参数的影响较大,如何根据不同的光伏阵列和环境条件自动调整这些参数,以提高算法的适应性和鲁棒性,是未来研究的一个重要方向。
- 硬件实现:将基于全局寻优粒子群算法的MPPT模型应用于实际光伏系统中,需要考虑硬件实现的可行性和成本问题。如何设计高效、低成本的硬件电路来实现PSO算法,是推动该技术实际应用的关键。
- 多算法融合:不同的MPPT算法具有各自的优缺点,将全局寻优粒子群算法与其他MPPT算法(如模糊控制算法、神经网络算法等)进行融合,充分发挥各种算法的优势,有望进一步提高最大功率跟踪的效果。
综上所述,基于全局寻优粒子群算法的MPPT技术具有广阔的应用前景和研究价值,未来需要进一步深入研究和完善,以推动光伏发电技术的高效发展。
📚2 运行结果





版本:2018b
🎉3 参考文献
文章中一些内容引自网络,会注明出处或引用为参考文献,难免有未尽之处,如有不妥,请随时联系删除。
[1]娄贺伟,李光林,蔡鹏宇,等.改进粒子群算法在光伏阵列多峰值MPPT中的应用[J].自动化与仪器仪表, 2015(3):3.DOI:10.14016/j.cnki.1001-9227.2015.03.193.
[2]娄贺伟李光林蔡鹏宇李凯.改进粒子群算法在光伏阵列多峰值MPPT中的应用[J].分布式能源, 2015(3):193-195.
[3]王琳阚加荣.改进粒子群算法在光伏多峰值MPPT中的应用[J].盐城工学院学报:自然科学版, 2022, 35(3):67-71.
5762

被折叠的 条评论
为什么被折叠?



