💥💥💞💞欢迎来到本博客❤️❤️💥💥
🏆博主优势:🌞🌞🌞博客内容尽量做到思维缜密,逻辑清晰,为了方便读者。
⛳️座右铭:行百里者,半于九十。
💥1 概述

新版本的有源电力滤波器谐波抑制策略模型基于PI+重复控制。该模型采用Simulink进行仿真实现,利用无功补偿和PI+重复控制技术有效抑制了谐波,最终使总谐波畸变率(THD)降低至小于1%。此仿真模型提供了2015和2017两个版本,以方便在不同版本的Matlab上运行。
重复控制理论是建立在以内模原理为基础之上的,其本质上是一个反馈控制系统,因为重复控制器中有外部信号的数学模型,因此系统具有很小的稳态误差。从该原理可以看出:假如让某个反馈控制系统对指令信号能够有很好的跟踪性能,而且能够消除扰动因素的影响,其意思是说如果让系统可以的减小稳定误差,系统的反馈通道中一定含有扰动信号和指令信号的数学模型,即“内模”,该数学模型是对外部输入信号的一种数学描述。
如果我们想要实现控制系统对正弦指令的静差跟踪,那么我们可以在重复控制器里加入正弦函数的模型,即:

当输入的指令信号和干扰信号的角频率都为ωn时,若控制系统中含有上式所示内模,那么次系统就能够满足无稳态误差控制的要求。输入信号是由许多不同频率的信号组成,因此我们要想对不同谐波都实现无静差跟踪,那将意味着对每个不同频率的谐波都要设计一个内模,从工程价值上看,这是不可取的。
虽然指令信号中包含不同频率的信号,但都有一个共同的特点:每个基波周期中出现的波形都和以前一样。因此,真正建立在内模原理之上的重复控制需要改进,改进后的内模如下图所示。

其s域的表现形式如下:

离散化得到:

从而得到重复控制的等效内模见下图,可以把它分成两个部分:第一部分是具有积分性质的正反馈环节,它的作用是将输入信号进行每个周期地叠加;第二部分的作用是使信号的输出延迟一个基波周期。

一、PI控制与重复控制的协同机制
1. 互补性原理
- PI控制:
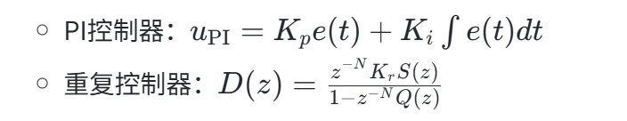
快速响应误差信号,比例环节(P)提升动态响应速度,积分环节(I)消除稳态误差。在有源滤波器中,主要用于直流侧电压稳定和补偿电流幅值跟踪。 - 重复控制:
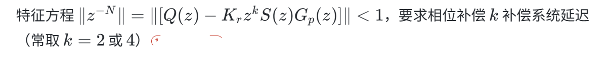
基于内模原理,通过延迟环节 z−Nz−N(N=fs/f1N=fs/f1,fsfs为采样频率,f1f1为基波频率)构建周期信号模型,实现对周期性谐波的无静差跟踪。其幅频特性在基波整数倍频率处增益极高,可精准抑制周期性谐波。 - 协同优势:
- 动态响应:PI控制快速响应负载突变(如指令电流跳变),重复控制滞后一个基波周期,PI先行抑制暂态误差。
- 稳态精度:重复控制通过周期累加消除PI无法完全滤除的周期性谐波残余,尤其对低次谐波(如3、5、7次)效果显著。

2. 控制结构
-
并联复合控制(主流方案):
误差信号同时输入PI和重复控制器,输出叠加后驱动逆变器。 -
-
-
Kr:增益系数(常取0.95–1.0)
-
Q(z):低通滤波器(如0.95)增强稳定性
-
S(z):相位补偿器(超前k拍校正延迟)
-
工作流程:
检测谐波误差 → PI快速调整电流幅值/相位 → 重复控制基于历史误差修正周期性偏差 → 合成信号驱动APF逆变器。
二、数学建模与参数整定
1. 坐标系变换与模型简化
- d-q-0坐标系建模:
将三相静止坐标系(a-b-c)转换为旋转坐标系(d-q-0),解耦高阶强耦合系统,简化控制器设计。- 电流内环模型:
Gp(z)为逆变器传递函数,复合控制器需满足 1+GPI(z)Gp(z)≠0以保证稳定性。
- 电流内环模型:
- 重复控制器稳定性条件:

2. 参数整定原则
| 参数 | 设计准则 | 典型值 |
|---|---|---|
| PI增益 Kp,KiKp,Ki | 开环带宽 > 最高谐波频率(如 Kp=30Kp=30 对应带宽1kHz) | Kp=30,Ki=0.5 |
| 重复增益 KrKr | 接近1以提升精度,但需兼顾稳定性(常取0.95) | 0.95 |
| Q(z)Q(z) | 低通滤波器,抑制高频噪声;取常数时需略小于1(如0.95)以避免振荡 | 0.95 |
| 相位补偿 kk | 补偿数字控制延迟,一般超前2–4拍 | k=4 |
| 周期延迟 NN | N=fs/f1(如 fs=10kHz,⇒N=200fs=10kHz,f1=50Hz⇒N=200) | 依采样率而定 |
优化方案:
- 采用BP神经网络在线自适应调整PI参数,根据误差实时优化 Kp,KiKp,Ki。
- 引入有源阻尼(如电容电流反馈)抑制LCL滤波器谐振。
三、仿真与实验验证
1. 性能对比(典型案例)
| 控制策略 | THD(空载) | THD(整流负载) | 动态响应时间 |
|---|---|---|---|
| 传统PI控制 | 3.12% | 4.03% | <5ms |
| PI+重复复合控制 | 1.87% | 1.97% | <10ms |
| 重复控制(单独) | 1.66% | 2.11% | >20ms |
数据来源:Simulink仿真及实验样机测试。
2. 关键仿真结果
- 谐波抑制效果:
复合控制使总谐波畸变率(THD)降至**<1%**,尤其在整流负载下显著优于单一控制。 - 动态响应:
- 负载突变时,PI控制10ms内响应,重复控制逐步消除稳态误差(图例见)。
- 鲁棒性:
在电网频率波动±2Hz时,自适应重复控制仍保持THD<2%。
四、工程难点与优化
1. 核心挑战
- 延迟问题:
重复控制需滞后一个基波周期(20ms@50Hz),导致暂态响应不足。 - 参数敏感性:
Q(z)和Kr微小变化可能引发振荡,需精确整定。 - 非周期性谐波:
重复控制对非周期信号(如间谐波)抑制能力有限。
2. 优化方案
| 问题 | 解决方案 |
|---|---|
| 延迟响应 | 并联PI控制先行补偿,或加入超前补偿环节 zkzk(如 k=4k=4) |
| 参数敏感 | 神经网络在线调参(如BPNN自适应调整 Kp,Ki,KrKp,Ki,Kr) |
| 非周期谐波 | 结合滑模变结构控制增强鲁棒性,或引入高阶重复控制器(HORC) |
| 谐振抑制 | 有源阻尼技术(如电容电流反馈)嵌入LCL滤波器 |
五、结论与展望
PI+重复控制通过动态与稳态性能互补,成为有源滤波器谐波抑制的主流方案:
- 技术成熟性:Simulink仿真与实验验证THD可降至1%以下,尤其在低次谐波抑制中优势显著。
- 未来方向:
- 智能参数整定:结合深度学习优化控制器参数。
- 多策略融合:与滑模控制、自适应陷波器结合以应对复杂工况。
- 硬件实现:基于DSP/FPGA的实时嵌入式系统设计。
研究证明,该策略在新能源并网、工业电力系统中具有广泛应用前景。
📚2 运行结果
2.1 仿真搭建

2.2 LCL滤波器

2.3 PI重复控制模块

2.4 THD展示模块

2.5运行波形图

上下曲线分别代表网侧电压和电流(三相)。

分别代表负载侧电压和电流

自上而下分别是:网侧电流、输出电流和负载侧电流。

通过运行图能够看出,受非线性负载的影响,输出电流出现畸变,在PI+重复控制启动后,网侧电流逐渐恢复,不再受非线性负载的影响,PI+重复控制作用明显。
🎉3 参考文献
文章中一些内容引自网络,会注明出处或引用为参考文献,难免有未尽之处,如有不妥,请随时联系删除。
[1]杨召彬.微电网中谐波抑制问题研究[D].辽宁工业大学[2024-04-03].DOI:CNKI:CDMD:2.1018.117500.
[2]王晓莹.有源电力滤波器模型预测控制策略研究[D].中国矿业大学[2024-04-03].
[3]于晶荣,粟梅,孙尧.有源电力滤波器的改进重复控制及其优化设计[J].电工技术学报, 2012, 27(2):235-242.
[4]于晶荣,粟梅,孙尧.有源电力滤波器的改进重复控制及其优化设计[J].电工技术学报, 2012, 027(002):235-242.

116

被折叠的 条评论
为什么被折叠?



