如果你关注近期顶刊发表趋势,会发现“机器学习(ML)+ SHAP解释”的热度正疯狂飙升,甚至成为一区TOP期刊的“标配”思路!无论是搭配GBD、NHANES、CHARLS,还是MIMIC这类重症数据库,这套方法都在疯狂输出高质量论文。

今天我们就来深度解析一篇2025年9月1日刚上线的范文佳作——发表在肝病学顶级期刊《Clinical and Molecular Hepatology》(IF:16.9/Q1)上的研究,看作者如何用这个组合拳攻克临床难题!

研究概要
标题: Predicting mortality in ICU patients with acute-on-chronic liver failure and two or more organ failures: a machine learning approach
(患有急性慢性肝功能衰竭和两个或多个器官衰竭的 ICU 患者的预测机器学习模型)
- 期刊: Clinical and Molecular Hepatology
- 影响因子: 16.9 / Q1
- 发表时间: 2025年9月1日
- 数据库: MIMIC-IV
- 核心方法: 机器学习模型开发与验证 + SHAP值解释
---
临床背景与痛点
慢加急性肝衰竭(ACLF)是肝硬化患者的一种危重并发症,死亡率极高。当患者出现两个或以上器官衰竭(OF)时,病情更是凶险无比。
现有的临床痛点在于:尽管机器学习在ICU预后预测中应用日益广泛,但尚未有专门针对“伴有2+个器官衰竭的ACLF患者”这一特定高危人群的预测模型。传统评分系统可能无法精准捕捉这个群体的复杂情况。
因此,研究团队的目标非常明确:为这类最危重的患者,量身定制一个高精度的死亡率预测工具,并找出驱动预测结果的关键因素。
---
研究思路与方法:一套可复用的“黄金模板”
这项研究的设计清晰、严谨,非常适合我们学习和借鉴:
1. 数据来源: 研究采用了国际公认的MIMIC-IV重症监护数据库。这类大型公共数据库因其数据详实、易于获取,已成为临床预测模型研究的重要基础。
2. 患者定义: 研究同时采用EASL-CLIF和NACSELD两个主流标准来定义ACLF和器官衰竭,使研究结果更具普遍性和说服力。
3. 模型构建:
- 目标: 预测30天死亡率。
- 方法: 开发了多种机器学习模型,并进行了严格的验证和校准。这种方法在临床预测模型中越来越常见。
4. 核心创新——可解释性:
- 研究没有停留在“黑箱”预测,而是引入了SHAP(Shapley Additive exPlanations)值来解释模型。这意味着模型不仅能预测风险,还能清晰展示是哪些特征(如某个实验室指标、某种并发症)推高了死亡风险,以及影响的程度有多大。这正是临床医生所看重的。
- 可解释性对于医疗AI模型至关重要,甚至已成为行业标准倡导的一部分。
5. 实用性升华:
- 研究者从大量特征中筛选出前12个最重要的预测因子,用少量变量构建了“精简版”模型,性能不降反升,极大提升了临床应用的便利性。
- 终极操作: 他们直接将模型做成了一个在线预测网站!医生输入患者关键指标,就能立刻得到预测结果和可视化解释。这大大提升了研究的转化价值。






---
主要结果与结论
- 高死亡率: 两个队列(NACSELD和EASL-CLIF)的30天死亡率均接近50%,凸显了研究这一人群的必要性。
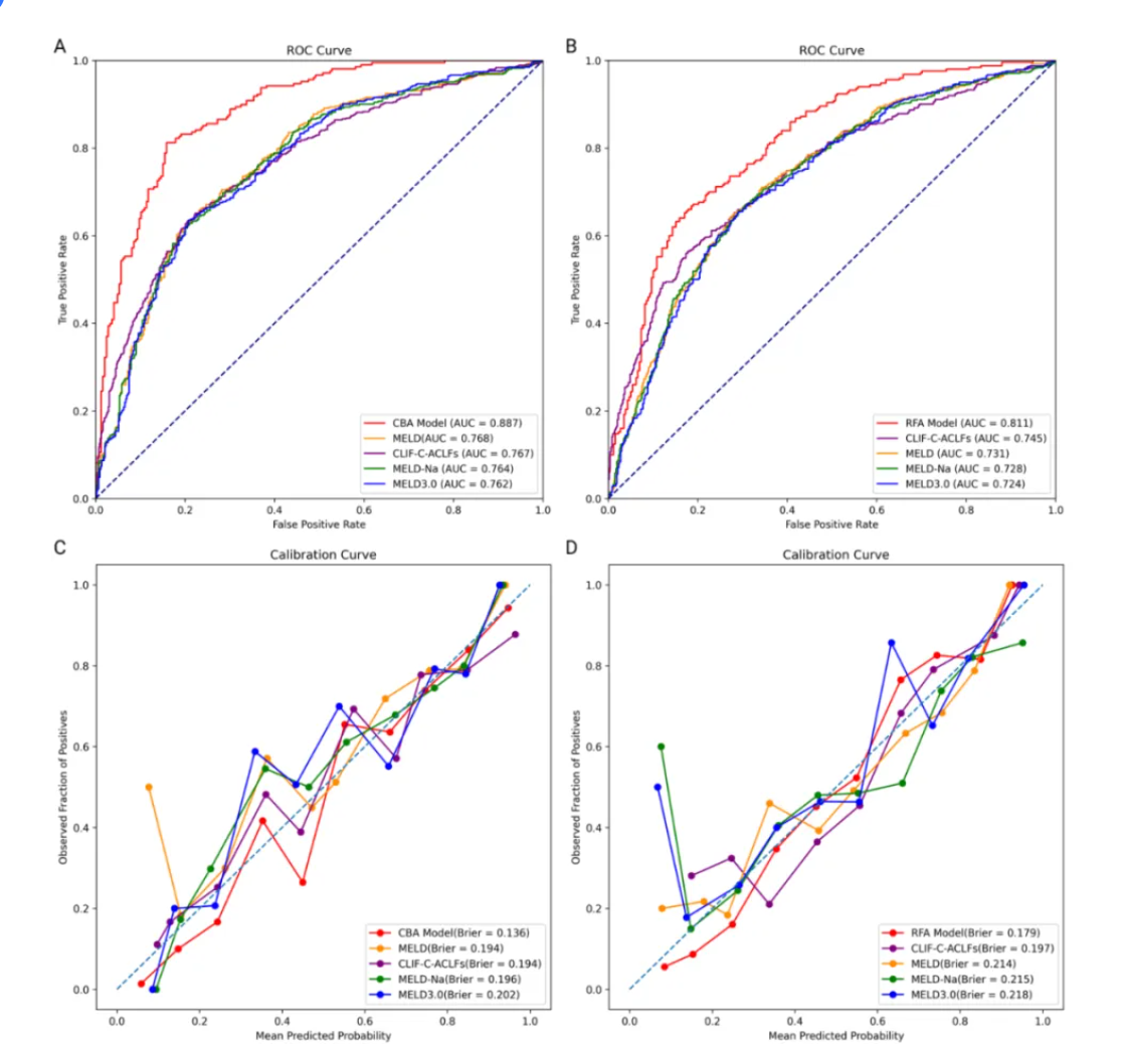
- 模型性能优异: 最终选定的ML模型(如CatBoost)的预测性能(AUC值)显著优于传统的逻辑回归模型。
- 关键发现: 通过SHAP分析,成功识别出了驱动死亡风险的关键预后因素,为临床干预提供了明确的方向。
- 模型校准良好: 预测概率与实际风险高度匹配,说明模型非常可靠。
---
我们可以学到什么?
1. 精准的临床问题 > 复杂的算法: 不要一味追求最前沿的算法。从一个未被满足的、具体的临床需求出发(本文就是针对特定高危人群),价值更大。
2. “机器学习+SHAP解释”是黄金标准: 单纯发一个模型预测已经不够了。可解释性是让审稿人和临床医生信服的关键。SHAP是目前最主流、最强大的解释工具,一定要掌握。
3. 数据库选择是成功的一半: MIMIC、NHANES等高质量公共数据库是完美的“练兵场”和“创新源”。熟练掌握一个数据库的挖掘方法至关重要。
4. 注重实用性与转化: 如果能将你的模型“产品化”,哪怕只是一个简单的在线工具,都会为你的文章增添巨大亮点,体现研究的终极价值。
---
“机器学习+SHAP”还有哪些应用场景?
这种模式的应用范围远不止肝病或ICU。搜索结果显示,它在众多领域都展现出强大潜力:
- 预测手术中血流动力学不稳定: 在嗜铬细胞瘤患者中,利用炎症和凝血指标构建ML模型预测术中风险,RF模型表现最佳,SHAP指出WLR是最关键因素。
- 预测心衰合并急性肾损伤患者的死亡率: 基于MIMIC-IV数据库,XGBoost模型性能优异(AUC=0.93),SHAP分析识别出年龄和格拉斯哥昏迷评分是关键预测因素。
- 预测口腔癌术中低体温风险: 随机森林(RF)模型表现最好,SHAP分析发现手术时长>441分钟、基线体温≤36.5°C是重要预测因子。
- 甚至超越医学领域: 在体育科学中,有研究利用SHAP和机器学习解析CBA篮球联赛的制胜关键,发现有效命中率(eFG%)是最重要的因素。
---
这项研究为我们提供了一个完美的范本:“聚焦明确临床问题(特定ACLF人群) + 利用成熟数据库(MIMIC-IV) + 应用机器学习建模(CatBoost等) + 使用SHAP进行可解释性分析 + 最终成果可视化、工具化”。
这套组合拳打下来,发高分文章自然是水到渠成。如果你也正在筹划自己的课题,不妨试试从这个思路中汲取灵感。
声明:本文仅作为科研思路分享与解读,原文版权归原作者及期刊所有。请尊重原创,详细内容请参考正式发表的论文。图源:https://e-cmh.org/journal/view.php?doi=10.3350/cmh.2025.0573
1908

被折叠的 条评论
为什么被折叠?



