在对振动噪音进行谱分析时加窗是必要的,否则傅里叶变换后会出现频率泄露,简单来说就是信号中本来没有的频率成分出现了,原本存在的频率信号幅值也不准确了。如下图:

加窗就是为了缓解这个问题,默认使用汉宁窗来看一下效果:

从加窗的结果来看,频谱泄露少了,但幅值更不准确了。因为在加窗的时候汉宁窗把原始振动信号的能量“压制”了不少。(上图中右上角)
所以:振动谱分析需要加窗,但更不要忘了能量补偿。

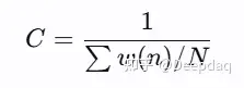
常见补偿方法:每种窗函数有不同的幅值损失,计算公式如下:

其中:C 为补偿系数;w(n) 是窗函数;N 是窗长。
常见的窗函数补偿系数:

DeepDaq 软件对上述功能的集成:
通过拖动窗口实时选择数据进行“FFT freestyle ” 并引入了窗函数和补偿。

感谢小伙伴的关注....
#################音视频NVH处理软件#####################
可进行多种格式的音频及视频NVH处理,具有colormap计算及小波变换功能。
需要请留言



2万+

被折叠的 条评论
为什么被折叠?



