摘 要
随着信息技术的快速发展,政务档案管理逐渐向数字化、信息化方向发展。传统的纸质档案管理方式存在诸多问题,如存储不便、查找困难、管理效率低下等。为了提高政务档案管理的效率和透明度,本文设计并实现了一套基于Django框架的政务电子档案管理系统。该系统采用现代化的技术手段来提升政府部门档案管理的自动化、标准化和信息化水平。
系统主要包括管理员和用户两个角色,每个角色拥有不同的功能模块。管理员功能模块包括:首页、用户管理(管理员、注册用户)、档案类型管理、档案信息管理、整改信息管理、归档信息管理、申请印章管理、发送印章管理。用户功能模块包括:首页、档案信息管理、整改信息管理、归档信息管理、申请印章管理、发送印章管理。系统通过Django框架实现,采用MySQL数据库存储数据,具备高效的数据处理和信息存储能力。
通过该系统,管理员可以高效地管理用户信息、档案类型及归档、整改信息等,保证政务档案的规范管理和及时更新。用户则可以根据自身需求查看和申请印章、管理整改和归档信息,提高了政务工作的效率和透明度。本文通过对系统的功能分析和设计,验证了该系统在实际应用中的可行性和优势,为政务档案管理提供了便捷、安全、高效的解决方案。
关键词:Django;政务档案管理;电子档案;用户管理;印章管理
Abstract
With the rapid development of information technology, the management of government archives is gradually moving towards digitization and informatization. The traditional paper-based archives management method has many problems, such as inconvenient storage, difficult search, and low management efficiency. In order to improve the efficiency and transparency of government archives management, this article designs and implements a government electronic archives management system based on the Django framework. The system adopts modern technological means to enhance the automation, standardization, and informatization level of government department archive management.
The system mainly consists of two roles: administrator and user, each with different functional modules. The administrator function module includes: homepage, user management (administrator, registered user), file type management, file information management, rectification information management, archive information management, seal application management, and seal sending management. The user function modules include: homepage, archive information management, rectification information management, archive information management, seal application management, and seal sending management. The system is implemented through the Django framework and uses MySQL database to store data, with efficient data processing and information storage capabilities.
Through this system, administrators can efficiently manage user information, file types, archiving, and rectification information, ensuring standardized management and timely updates of government archives. Users can view and apply for seals, manage rectification and archive information according to their own needs, which improves the efficiency and transparency of government work. This article verifies the feasibility and advantages of the system in practical applications through functional analysis and design, providing a convenient, secure, and efficient solution for government archives management.
key word: Django; Government archives management;electronic archives; user management;seal management
目 录
1 绪 论
随着信息技术的不断发展和社会信息化水平的不断提高,政府部门的管理工作也日益依赖于信息技术。在政务管理领域,传统的纸质档案管理方式存在诸多局限性,如档案存储空间大、查找困难、档案信息容易丢失等问题。因此,如何提高政务档案的管理效率、提升档案的安全性以及优化档案的存储和查询成为当前亟待解决的课题[1]。
电子档案管理系统的出现为解决这些问题提供了有效的技术支持。尤其是基于Web的电子档案管理系统,能够通过互联网实现对档案的远程访问和高效管理。Django作为一种高效、灵活且易于扩展的Web框架,广泛应用于政府级和政府级项目中。通过Django框架开发政务电子档案管理系统,不仅能够提升档案管理的效率,还能够实现档案管理的透明化、规范化和智能化[2]。
本研究的意义在于,通过设计和实现一个基于Django框架的政务电子档案管理系统,解决了传统档案管理中存在的诸多问题。系统的功能包括档案信息管理、档案类型管理、整改信息管理、印章管理等,能够满足政府部门在档案管理过程中的高效操作和安全要求。此外,系统具有较高的可扩展性,能够根据未来的需求进一步优化和升级,提供更加智能和便捷的档案管理服务[3]。因此,本文的研究不仅具有理论价值,也具有较强的实践意义,对于推动政务档案管理的数字化和信息化进程具有重要意义。
1.2 国内外现状研究
随着中国政府对信息化建设的日益重视,政务档案管理正逐步从传统的纸质化向数字化、智能化转型。近年来,许多地方政府和相关部门通过信息化手段搭建了电子档案管理系统,以提升档案管理的效率和安全性。根据《中国电子政务发展报告(2020)》指出,政务信息化的加速使得电子档案管理系统在各级政府中得到广泛应用。然而,尽管取得了一定的进展,国内的电子档案管理仍然面临着许多挑战。首先,不同政府部门之间缺乏统一的标准和规范,导致系统间的互联互通性不足,影响了数据共享和协同办公的效率。其次,档案信息的安全性仍是一个关键问题,如何确保档案数据不被泄露、篡改或丢失是当前面临的重要课题[4]。此外,部分电子档案系统的操作复杂,且部分地区的系统还没有及时进行升级和维护,未能适应快速发展的技术要求。尽管如此,随着“智慧政务”建设的推进,国家出台了相关政策,鼓励地方政府加强电子档案管理系统的建设,未来发展潜力巨大。
在国外,政务电子档案管理的应用和发展相对较早,许多发达国家已建立了成熟的电子档案管理体系。例如,美国的“联邦档案局”通过制定严格的档案管理标准,实现了政府档案的全面数字化管理[5]。根据《美国档案和记录管理局2019年度报告》显示,联邦政府的档案管理系统已实现数字化存储和管理,数据可以便捷地进行查询和更新,极大提升了工作效率。欧盟也对电子档案管理提出了统一的技术要求和标准,旨在促进成员国之间的数据互通和合作。《欧盟档案数字化指令》要求成员国在2008年之前建立统一的档案数字化标准,并推动档案的标准化管理。在安全性方面,欧洲实施了GDPR(《通用数据保护条例》),对个人信息和档案数据的保护提出了严格要求,确保档案管理中的隐私得到保障[6]。此外,国外的政务档案管理系统已经广泛应用了区块链、大数据和人工智能技术,这些新兴技术的加入极大提升了系统的安全性、智能化水平和处理效率。随着技术的发展,国外政务档案管理体系不断优化,为我国的电子档案管理提供了有益的借鉴和参考。
1.3 主要研究内容
本研究的主要内容是构建基于Django框架的政务电子档案管理系统,旨在提高档案管理的效率、透明度和安全性。系统包括档案信息管理、档案类型管理、整改信息管理、印章管理、用户权限管理、系统安全管理等功能模块。档案信息管理提供档案录入、分类、存储和查询功能,档案类型管理帮助管理员对档案进行分类,整改信息管理记录和跟踪档案整改进度,印章管理则确保印章的流转和使用合规。系统通过完善的用户权限管理和安全管理,确保数据的安全性和隐私保护[7]。此外,系统基于Django框架,利用其高效的开发特性和ORM功能简化数据库操作,提高开发效率,并结合MySQL数据库和JavaScript技术实现了稳定运行和良好的用户体验。该系统为政府部门提供了一个高效、安全、透明的档案管理平台,推动政务档案管理的数字化和信息化进程。
2 相关技术介绍
在政务电子档案管理系统的开发中,Python语言被广泛应用。作为一种高级、通用、解释型编程语言,Python具有简洁、易读、易学的特点,特别适合快速开发和后期维护。在政务电子档案管理系统的开发过程中,Python语言展现了其灵活性和丰富的库支持,使得复杂的业务逻辑能够高效实现,同时保持系统的稳定性和可扩展性。
Python语言拥有大量的第三方库,可以方便地处理各种功能模块。例如,Django框架是一个用Python语言开发的高效Web开发框架,特别适用于政务电子档案管理系统。Django框架的MVC(模型-视图-控制器)设计模式能够帮助开发者快速构建清晰的架构,并通过其强大的管理后台,简化了系统的管理和维护过程。此外,Django自带的ORM(对象关系映射)功能,可以让开发者以面向对象的方式操作数据库,减少了直接操作数据库的复杂性[8]。Python的丰富库如NumPy、Pandas等,还能帮助处理与分析大数据,适用于档案数据的分类、统计与查询。同时,Python的Flask框架也为需要轻量级服务的模块提供了可行的解决方案,能够快速部署和开发小型功能模块。
Python语言的社区活跃度也是其一大优势,拥有众多开源资源和开发文档,这为开发者提供了充足的支持。遇到开发难题时,开发者可以通过社区获取解决方案,极大提升了开发效率。Python的持续更新和优化,也为政务电子档案管理系统的长期运行提供了稳定的技术保障。
Django是一个使用Python编写的开源Web框架,旨在帮助开发者快速构建高效、安全且可扩展的Web应用。它遵循“快速开发”和“干净、务实”的设计理念,简化了开发过程,特别适合构建大规模的数据库驱动网站。Django框架采用了MVC(模型-视图-控制器)架构,将数据模型、用户界面和业务逻辑有效分离,使得开发者能够专注于业务层面而非底层技术细节。在政务电子档案管理系统的开发中,Django作为后端技术的核心,提供了多项优势。首先,Django内置了一个强大的管理后台,开发人员可以无需从头开始设计管理界面,直接通过自动生成的后台进行数据管理。这对于政务档案管理系统非常重要,减少了开发时间和成本。其次,Django的ORM(对象关系映射)功能使得开发者可以通过面向对象的方式与数据库交互,简化了复杂数据库操作,避免了直接编写SQL语句,从而减少了出错的概率。
Django框架提供了丰富的开箱即用功能,如用户认证、权限管理、文件上传、数据验证等,这些功能可以直接集成到系统中,减少了重复性工作,提升了开发效率。在政务电子档案管理系统中,权限管理尤为关键,Django的内置权限系统能有效控制不同角色的访问权限,确保数据的安全性。Django还具备强大的安全功能,内置的防护措施能有效防止常见的Web攻击,包括SQL注入、跨站脚本(XSS)和跨站请求伪造(CSRF)。这些安全措施对于处理涉及敏感信息的政务档案管理系统至关重要,能够确保数据的保密性和完整性。
总之,Django框架通过提供完善的开发工具、清晰的代码结构和高效的功能支持,使得政务电子档案管理系统的开发变得更加便捷、安全且高效。Django的易用性、强大的功能和活跃的社区支持,帮助开发者高效地构建出符合需求、可靠的系统,极大提高了开发速度和系统的稳定性。
2.3 MVC模型
政务电子档案管理系统采用MVC模型(模型-视图-控制器)作为设计架构,该架构通过将应用程序划分为三部分:模型、视图和控制器,提升了系统的灵活性、可维护性和可扩展性。MVC架构的核心思想是将数据处理、用户界面展示和业务逻辑控制分离,这样的设计方法不仅清晰且高效,还能提高开发过程中的模块化程度,确保系统能够更容易进行修改、扩展和维护。在MVC模型中,模型(Model)负责处理应用程序的核心数据和业务逻辑。它与数据库的交互、数据存取和更新的操作都由模型层处理。模型不关心如何展示数据,只负责数据的正确性和一致性,保证了应用的核心逻辑与其他层的解耦。因此,当系统需要修改数据存储方式或逻辑时,可以不影响到视图层和控制器层,从而提高了代码的可维护性。视图(View)部分则负责展示数据给用户。视图仅仅负责如何显示数据,它通过控制器传递的数据来渲染用户界面,向用户呈现图形化界面。视图层和模型层解耦的设计使得在不改变数据处理逻辑的情况下,可以方便地更改用户界面的样式或布局,灵活性和可扩展性都得到了显著提高。
政务电子档案管理系统采用MVC模型作为设计架构,将应用程序分为模型、视图和控制器三部分。模型处理数据逻辑,视图展示数据,控制器处理用户输入和业务逻辑,实现数据、展示和控制的分离,提高可维护性和可扩展性。模型与视图解耦使系统易修改,控制器分离业务逻辑和用户交互,降低耦合度,提高灵活性和可靠性。MVC模型使系统更易维护和更新,为政务电子档案管理系统提供了良好的架构基础。
在B/S架构中,用户只需通过浏览器访问前端界面,无需安装任何复杂的软件或进行本地配置。浏览器作为客户端,通过HTTP协议与服务器端进行通信,服务器则负责处理所有的业务逻辑和数据存储。服务器端可以部署在集中化的计算机上,系统的更新和维护也只需要在服务器端进行,无需对每个客户端进行单独的更新,显著提高了系统维护的效率。这种方式减少了用户端的资源占用,使得客户端更加轻便,操作更加简便。
B/S架构的另一大优点是其跨平台和跨设备的特性。用户可以通过任何能够运行浏览器的设备进行访问,无论是Windows、Mac OS,还是Linux操作系统,都能实现无缝访问。而且,随着移动互联网的发展,用户不仅可以通过传统的PC端进行访问,还可以通过手机、平板等移动设备访问系统,满足了政务电子档案管理系统在多种平台上的访问需求。这种平台无关性使得系统具备了更强的灵活性和可扩展性,能够在不同设备间实现统一的用户体验。
在安全性方面,B/S架构提供了多种有效的管理和保护措施。通过服务器端的统一控制,系统可以集中管理用户权限,确保不同角色的用户只能够访问和操作相应的档案信息。例如,系统可以限制管理员、普通用户和审核员等角色的权限,以保证数据的安全性和私密性。此外,数据传输过程中通过HTTPS加密,可以有效防止数据泄露和篡改,进一步提高了系统的安全性。
B/S架构还具有较好的扩展性。随着业务量的增长,服务器端可以通过增加硬件资源、优化负载均衡等方式进行扩展,满足高并发的访问需求。同时,系统可以根据需要进行模块化扩展,例如增加新的功能模块或对现有功能进行优化,这对于政务电子档案管理系统的长期发展非常重要。
政务电子档案管理系统的开发中,采用了MySQL数据库作为数据存储平台。MySQL是一种广泛使用的开源关系型数据库管理系统,以其高稳定性、卓越的性能和易用性受到开发者的青睐。MySQL使用SQL(结构化查询语言)进行数据操作,支持强大的数据存储、查询、更新和删除功能,特别适合存储和管理大量结构化数据,因此在政务档案管理领域中得到了广泛应用。
MySQL数据库的高性能特性使其非常适合用于政务电子档案管理系统中大规模数据的存储和管理。政务电子档案管理系统涉及大量档案信息、出入库记录以及其他重要数据的存储,MySQL能够快速、可靠地存取这些数据。MySQL的查询优化器、索引机制以及分区技术,使得即使在数据量庞大的情况下,也能保持高效的查询和响应速度。通过设计合理的表结构和索引,系统能够实现对档案信息的快速检索,提升系统的响应速度,确保在实际使用中能够快速检索、修改和更新数据。
MySQL的事务处理功能是其一大优势。在政务电子档案管理系统中,数据的安全性和一致性至关重要。MySQL支持ACID(原子性、一致性、隔离性、持久性)事务属性,确保了即使在系统出现故障时,数据也能够保持一致性。对于涉及多个操作的数据操作,MySQL能够保证数据处理的完整性,防止部分操作失败造成数据损坏或不一致的问题。
此外,MySQL还提供了丰富的安全特性。在政务电子档案管理系统中,不同角色的用户需要访问不同的数据。通过MySQL的权限控制机制,系统可以为每个用户设置不同的访问权限,确保只有授权用户才能访问敏感数据。这种细粒度的权限管理方式有助于确保数据的安全性,防止未授权访问和操作。
MySQL的可扩展性也是其在政务电子档案管理系统中应用的重要原因。随着数据量的增加,MySQL支持水平扩展和垂直扩展,可以通过增加服务器或优化数据库配置来提高系统的处理能力。同时,MySQL的备份和恢复功能也使得数据库的数据安全得到了保障,定期备份数据可以防止因系统故障或人为操作失误导致的数据丢失。
3 系统分析
系统分析是对系统开发的可行性进行研究,分析功能需求以确保系统满足用户期望。系统用例设计将明确定义系统与外部用户的交互场景,系统流程规划则细化系统内部功能流程,确保系统各模块协调工作。通过系统分析,可以建立清晰的系统框架,明确系统目标和功能,为系统开发和实施奠定基础。
3.1.1 技术可行性
采用Python语言、Django框架和MySQL数据库构建政务电子档案管理系统具有较高的可行性。Python作为流行的编程语言,具有强大的生态系统和丰富的库支持,适合快速开发和易维护。Django框架提供了快速开发和强大功能,可加快系统搭建速度,而MySQL作为稳定可靠的数据库,能够满足系统的数据存储和管理需求,保证数据安全和稳定性。
3.1.2经济可行性
在经济可行性方面,采用开源技术栈搭建系统有助于降低开发成本,减少了软件许可费用。同时,政务电子档案管理系统的建设和应用能够提高管理效率、优化资源配置,为政府带来长期效益和投资回报。
3.1.3社会可行性
在社会可行性方面,政务电子档案管理系统的应用可以提高管理流程的透明度和效率,提升用户体验,为政府提供更好的服务。同时,系统的使用还能提高政府管理的智能化水平,推动数字化转型,为政府发展和竞争力提供支持。
因此,从技术、经济和社会方面来看,构建政务电子档案管理系统具有较高的可行性,能够为政府带来多方面的益处。
政务电子档案管理系统通过不同角色的功能模块,实现对档案的全面管理。普通用户、和管理员各自的功能模块互相配合,共同构建了一个高效、透明的档案管理体系。通过详细分析这些功能模块,可以帮助政府更好地理解和实施档案管理系统,提高档案管理的效率和准确性。具体功能分析如下:
(1)普通用户功能模块:
档案信息管理:档案信息管理功能允许用户录入、查询、编辑和删除档案数据。用户可以根据注册用户、档案名称、档案类型、档案内容、法人姓名、身份证号码等多个条件进行检索。
整改信息管理:整改信息管理功能允许用户记录和跟踪档案的整改状态。每个档案的整改需求、整改负责人及整改完成情况可以在系统中更新和查看。用户可以跟踪整改进度,管理员可以审批并确认整改结果。
归档信息管理:归档信息管理功能允许用户将文件、资料等进行归档操作,确保归档后的资料便于长期存储和查询。用户可以批量归档文件,并为每个归档档案分配特定的编号和标签,便于后期检索。
申请印章管理:申请印章管理功能允许用户提交印章使用申请。用户通过系统填写盖章文件名称、使用目的和时间等信息,提交申请。管理员审核并决定是否批准印章申请,所有印章的使用情况都在系统内详细记录。
发送印章管理:发送印章管理功能允许用户记录印章的发放过程。用户可以记录印章的发放日期、接收人员和使用目的等信息。管理员可以查看已发放印章的详细记录。
(2)管理员功能模块:
用户管理(管理员、注册用户):管理员需要能够管理系统中的所有用户,包括管理员和普通注册用户。管理员可以添加、删除、修改用户信息。
档案类型管理:管理员负责管理系统中的档案类型。管理员可以创建、编辑、删除档案类型。
档案信息管理:管理员需要能够查看、编辑和删除所有档案信息。该功能允许管理员对档案数据进行全面管理,包括录入新的档案、更新已有档案、以及删除不再需要的档案。
整改信息管理:管理员负责管理所有需要整改的档案信息。管理员可以为档案分配整改任务、指定整改负责人、并跟踪整改进度。
归档信息管理:管理员负责管理所有归档的档案文件。管理员可以查看归档情况,批量归档文件并分配相关编号和标签。
申请印章管理:管理员负责审核和管理所有印章使用申请。用户提交的印章申请将由管理员进行审批,确保印章使用符合规定。
发送印章管理:管理员负责跟踪和管理所有已发放的印章。管理员可以查看印章的发放记录,包括印章使用者、发放日期及使用目的等信息。
非功能性分析旨在评估系统的非功能需求和性能要求。通过对性能、可靠性、安全性、可用性和扩展性等方面进行评估,确保平台能够满足用户和系统运行的要求。具体如下:
表2-1政务电子档案管理系统非功能需求表
| 需求类型 | 描述 |
| 性能 | 系统应具有高性能,能够快速响应用户请求,保持稳定的性能水平,支持高并发访问和大规模数据处理。 |
| 可靠性 | 系统应具有高可靠性,确保系统稳定运行,防止系统故障和数据丢失,提供数据备份和恢复机制。 |
| 安全性 | 系统应具有高安全性,保护用户隐私信息和数据安全,采用加密传输技术、访问控制和身份验证机制。 |
| 可用性 | 系统应具有高可用性,保证系统全天候运行,最大限度减少系统故障和维护时间,提供灾备和故障转移功能。 |
| 易用性 | 系统应具有良好的易用性,用户界面设计友好,操作简单直观,提供清晰的指导和帮助文档。 |
| 可维护性 | 系统应具有良好的可维护性,易于维护和升级,提供模块化和结构化代码,方便开发人员进行维护和修改。 |
| 可扩展性 | 系统应具有良好的可扩展性,支持新增功能和模块的集成,具备良好的架构设计和扩展性能。 |
系统用例分析是对系统中各个功能模块的用户需求和行为进行分析,以识别和描述不同的用户用例。通过系统用例分析,可以深入了解用户在平台上的操作流程和交互方式,为系统设计和开发提供指导,并确保平台能够满足用户的需求和期望。
(1)普通用户角色用例图如下图所示。

图3-1 普通用户角色用例图
- 管理员角色用例图如下图所示。

图3-2 管理员角色用例图
本章重点在对系统进行了可行性、功能需求、系统用例以及系统流程分析,明确平台的功能要求。这些分析为系统的开发和测试提供了指导和标准,确保系统设计和实施符合用户需求。通过详细的分析,可以有效规划平台功能的实现方式,提供清晰的指引。同时,这些分析也有助于确保代码实现的质量和系统的稳定性,为系统的顺利上线和运行奠定基础。
4 系统总体设计
系统总体设计包括系统架构、数据库设计、用户界面设计等方面。通过三层架构模式,确保系统的可靠性和可扩展性。设计规范化的数据库结构,以存储和管理用户数据等信息。同时,注重用户界面的友好性和易用性,提供便捷的功能操作和良好的用户体验。总体设计的目标是实现一个稳定、安全、高效的系统,满足用户的需求。
在系统架构设计中,将确定系统的整体结构和组件之间的关系。这包括选择适当的架构风格,划分系统的层次结构,并定义各个模块的职责和交互方式。架构图如下图所示。

图4-1系统架构设计图
本电影院管理系统采用了三层架构:表现层、业务逻辑层和数据层。
表现层(Presentation Layer):负责与用户交互,展示系统数据并接收用户输入。主要功能包括页面设计、数据展示和用户输入验证,确保操作简便直观。
业务逻辑层(Business Logic Layer):处理核心业务逻辑,接收表现层请求并执行相应操作。包括档案信息管理、整改信息管理、归档信息管理、申请印章管理等。它独立于表现层和数据层,方便复用和维护。
数据层(Data Layer):负责与数据库交互,执行数据的增删改查操作。确保数据的存储、检索和持久性,并向业务逻辑层提供所需数据。
通过整体功能模块设计,我将根据需求分析的结果,将系统的功能划分为不同的模块。每个模块负责实现特定的功能,并与其他模块进行协作。将详细定义每个模块的输入、输出、处理逻辑和相互依赖关系。具体的功能模块图如图4-2所示。

图4-2 系统功能模块图
数据库设计是系统开发中至关重要的一环,它涉及到数据的组织、存储和管理。在数据库设计中,将根据系统的需求设计数据库的概念结构和逻辑结构,包括定义实体、属性、关系和约束等。
顶层数据流是指系统与外部实体之间的数据流动,描述了系统的整体数据流。在政务电子档案管理系统中,顶层数据流包括维护人员录入档案信息、普通用户查看档案信息、提交申请信息等。
系统的顶层数据流图如下图所示。

图4-3系统数据流图(顶层)
底层数据流程图是对顶层数据流程图的细化,系统的底层数据流图如下图所示。
图4-4系统数据流图(底层)
4.3.2 数据库概念结构设计
数据库概念结构设计主要涉及数据库的实体和实体之间的关系。通过实体-关系模型或者其他适当的模型,我将定义系统中涉及的各个实体以及它们之间的联系。下面我将罗列主要的实体属性图和系统E-R图。
- 普通用户实体属性如下图所示。

图4-5 普通用户实体属性图
- 管理员实体属性如下图所示。

图4-6 管理员实体属性图
- 档案信息实体属性如下图所示。

图4-7 档案信息实体属性图
- 整改信息实体属性如下图所示。

图4-8 整改信息实体属性图
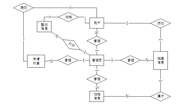
下面是整个政务电子档案管理系统中主要的数据库表总E-R实体关系图。
图4-9 系统总E-R关系图
数据库逻辑结构设计则是在概念结构的基础上,进行具体的数据库表设计。我们将定义每个表的结构、字段和约束,并建立表与表之间的关系。
表apply_for_a_seal (申请印章)
| 编号 | 名称 | 数据类型 | 长度 | 小数位 | 允许空值 | 主键 | 默认值 | 说明 |
| 1 | apply_for_a_seal_id | int | 10 | 0 | N | Y | 申请印章ID | |
| 2 | registered_user | int | 10 | 0 | Y | N | 0 | 注册用户 |
| 3 | file_names | varchar | 64 | 0 | Y | N | 档案名称 | |
| 4 | archive_type | varchar | 64 | 0 | Y | N | 档案类型 | |
| 5 | archive_content | varchar | 64 | 0 | Y | N | 档案内容 | |
| 6 | name_of_legal_representative | varchar | 64 | 0 | Y | N | 法人姓名 | |
| 7 | id_number | varchar | 255 | 0 | Y | N | 身份证号 | |
| 8 | business_license | varchar | 255 | 0 | Y | N | 营业执照 | |
| 9 | application_time | datetime | 19 | 0 | Y | N | 申请时间 | |
| 10 | application_content | text | 65535 | 0 | Y | N | 申请内容 | |
| 11 | examine_state | varchar | 16 | 0 | N | N | 未审核 | 审核状态 |
| 12 | examine_reply | varchar | 16 | 0 | Y | N | 审核回复 | |
| 13 | send_seal_limit_times | int | 10 | 0 | N | N | 0 | 发送印章限制次数 |
| 14 | create_time | datetime | 19 | 0 | N | N | CURRENT_TIMESTAMP | 创建时间 |
| 15 | update_time | timestamp | 19 | 0 | N | N | CURRENT_TIMESTAMP | 更新时间 |
| 16 | source_table | varchar | 255 | 0 | Y | N | 来源表 | |
| 17 | source_id | int | 10 | 0 | Y | N | 来源ID | |
| 18 | source_user_id | int | 10 | 0 | Y | N | 来源用户 |
表archived_information (归档信息)
| 编号 | 名称 | 数据类型 | 长度 | 小数位 | 允许空值 | 主键 | 默认值 | 说明 |
| 1 | archived_information_id | int | 10 | 0 | N | Y | 归档信息ID | |
| 2 | registered_user | int | 10 | 0 | Y | N | 0 | 注册用户 |
| 3 | file_names | varchar | 64 | 0 | Y | N | 档案名称 | |
| 4 | archive_number | varchar | 64 | 0 | Y | N | 档案编号 | |
| 5 | archive_type | varchar | 64 | 0 | Y | N | 档案类型 | |
| 6 | rectification_time | varchar | 64 | 0 | Y | N | 整改时间 | |
| 7 | rectification_content | varchar | 64 | 0 | Y | N | 整改内容 | |
| 8 | archive_time | datetime | 19 | 0 | Y | N | 归档时间 | |
| 9 | archive_remarks | text | 65535 | 0 | Y | N | 归档备注 | |
| 10 | create_time | datetime | 19 | 0 | N | N | CURRENT_TIMESTAMP | 创建时间 |
| 11 | update_time | timestamp | 19 | 0 | N | N | CURRENT_TIMESTAMP | 更新时间 |
| 12 | source_table | varchar | 255 | 0 | Y | N | 来源表 | |
| 13 | source_id | int | 10 | 0 | Y | N | 来源ID | |
| 14 | source_user_id | int | 10 | 0 | Y | N | 来源用户 |
表archive_information (档案信息)
| 编号 | 名称 | 数据类型 | 长度 | 小数位 | 允许空值 | 主键 | 默认值 | 说明 |
| 1 | archive_information_id | int | 10 | 0 | N | Y | 档案信息ID | |
| 2 | registered_user | int | 10 | 0 | Y | N | 0 | 注册用户 |
| 3 | file_names | varchar | 64 | 0 | Y | N | 档案名称 | |
| 4 | archive_type | varchar | 64 | 0 | Y | N | 档案类型 | |
| 5 | archive_number | varchar | 64 | 0 | Y | N | 档案编号 | |
| 6 | release_time | datetime | 19 | 0 | Y | N | 发布时间 | |
| 7 | storage_period | varchar | 64 | 0 | Y | N | 保管期限 | |
| 8 | administrative_counterpart | varchar | 64 | 0 | Y | N | 行政相对人 | |
| 9 | department_to_which_it_belongs | varchar | 64 | 0 | Y | N | 所属部门 | |
| 10 | recording_personnel | varchar | 64 | 0 | Y | N | 著录人员 | |
| 11 | archive_content | varchar | 255 | 0 | Y | N | 档案内容 | |
| 12 | flow_number | varchar | 64 | 0 | Y | N | 流水编号 | |
| 13 | archive_remarks | text | 65535 | 0 | Y | N | 档案备注 | |
| 14 | examine_state | varchar | 16 | 0 | N | N | 未审核 | 审核状态 |
| 15 | examine_reply | varchar | 16 | 0 | Y | N | 审核回复 | |
| 16 | rectification_information_limit_times | int | 10 | 0 | N | N | 0 | 整改限制次数 |
| 17 | apply_for_a_seal_limit_times | int | 10 | 0 | N | N | 0 | 申请印章限制次数 |
表archive_type (档案类型)
| 编号 | 名称 | 数据类型 | 长度 | 小数位 | 允许空值 | 主键 | 默认值 | 说明 |
| 1 | archive_type_id | int | 10 | 0 | N | Y | 档案类型ID | |
| 2 | archive_type | varchar | 64 | 0 | Y | N | 档案类型 | |
| 3 | create_time | datetime | 19 | 0 | N | N | CURRENT_TIMESTAMP | 创建时间 |
| 4 | update_time | timestamp | 19 | 0 | N | N | CURRENT_TIMESTAMP | 更新时间 |
表rectification_information (整改信息)
| 编号 | 名称 | 数据类型 | 长度 | 小数位 | 允许空值 | 主键 | 默认值 | 说明 |
| 1 | rectification_information_id | int | 10 | 0 | N | Y | 整改信息ID | |
| 2 | registered_user | int | 10 | 0 | Y | N | 0 | 注册用户 |
| 3 | file_names | varchar | 64 | 0 | Y | N | 档案名称 | |
| 4 | archive_type | varchar | 64 | 0 | Y | N | 档案类型 | |
| 5 | rectification_time | datetime | 19 | 0 | Y | N | 整改时间 | |
| 6 | rectification_content | text | 65535 | 0 | Y | N | 整改内容 | |
| 7 | archived_information_limit_times | int | 10 | 0 | N | N | 0 | 归档限制次数 |
表registered_user (注册用户)
| 编号 | 名称 | 数据类型 | 长度 | 小数位 | 允许空值 | 主键 | 默认值 | 说明 |
| 1 | registered_user_id | int | 10 | 0 | N | Y | 注册用户ID | |
| 2 | user_name | varchar | 64 | 0 | Y | N | 用户姓名 | |
| 3 | user_age | varchar | 64 | 0 | Y | N | 用户年龄 | |
| 4 | user_gender | varchar | 64 | 0 | Y | N | 用户性别 | |
| 5 | examine_state | varchar | 16 | 0 | N | N | 已通过 | 审核状态 |
| 6 | user_id | int | 10 | 0 | N | N | 0 | 用户ID |
| 7 | create_time | datetime | 19 | 0 | N | N | CURRENT_TIMESTAMP | 创建时间 |
| 8 | update_time | timestamp | 19 | 0 | N | N | CURRENT_TIMESTAMP | 更新时间 |
表send_seal (发送印章)
| 编号 | 名称 | 数据类型 | 长度 | 小数位 | 允许空值 | 主键 | 默认值 | 说明 |
| 1 | send_seal_id | int | 10 | 0 | N | Y | 发送印章ID | |
| 2 | registered_user | int | 10 | 0 | Y | N | 0 | 注册用户 |
| 3 | file_names | varchar | 64 | 0 | Y | N | 档案名称 | |
| 4 | archive_type | varchar | 64 | 0 | Y | N | 档案类型 | |
| 5 | archive_content | varchar | 64 | 0 | Y | N | 档案内容 | |
| 6 | send_seal | varchar | 255 | 0 | Y | N | 发送印章 | |
| 7 | sending_time | datetime | 19 | 0 | Y | N | 发送时间 | |
| 8 | remarks_information | text | 65535 | 0 | Y | N | 备注信息 | |
| 9 | create_time | datetime | 19 | 0 | N | N | CURRENT_TIMESTAMP | 创建时间 |
| 10 | update_time | timestamp | 19 | 0 | N | N | CURRENT_TIMESTAMP | 更新时间 |
| 11 | source_table | varchar | 255 | 0 | Y | N | 来源表 | |
| 12 | source_id | int | 10 | 0 | Y | N | 来源ID | |
| 13 | source_user_id | int | 10 | 0 | Y | N | 来源用户 |
数据库设计是系统开发中的关键步骤,通过识别实体、建立关系、设计表结构、选择主键和索引等方式,确保数据存储和管理的有效性和一致性。同时,考虑安全性和性能优化,采用合适的规范化和反规范化技术,以提高系统的响应速度和用户体验。综合以上因素,数据库设计为系统的稳定运行和高效管理提供了基础支持。
5 系统详细设计与实现
系统关键模块设计与实现是系统开发中的核心任务。通过分析需求,设计和实现关键模块,确保系统功能的完整性和稳定性。在设计过程中,需要考虑模块之间的交互和数据流动,合理选择技术和框架,并进行测试和优化,以确保关键模块的高效运行和用户满意度。
5.1.1 后台首页
在系统的首页,用户可以方便地查看和管理个人信息、档案状态以及相关的操作记录。用户可以通过首页快速访问各项功能,如档案查询、申请印章、查看整改进度等。主界面展示如下图所示。

图5-1 后台首页界面图
前台首页关键代码如下:
WSGI_APPLICATION = "app.wsgi.application"
DATABASES = {
"default": {
"ENGINE": "django.db.backends.mysql",
"NAME": "project93355",
"USER": "root",
"PASSWORD": "root",
"HOST": "127.0.0.1",
"PORT": "3306",
}
}
用户注册功能允许新用户创建账户,系统会收集基本信息如用户名、密码、邮箱和角色。注册过程包括填写表单、验证邮箱、设置初始密码和分配角色。其界面展示如下图所示。

图5-2 用户注册界面图
用户注册的关键代码如下:
def Register(self, ctx):
print("===================注册=====================")
userService = service_select("user")
body = ctx.body
if "username" not in body and body["username"] == '':
return ctx.response(json.dumps({
"error": {
"code": 70000,
"message": "用户名不能为空",
}
}, ensure_ascii=False))
if "user_group" not in body and body["user_group"] == '':
return ctx.response(json.dumps({
"error": {
"code": 70000,
"message": "用户组不能为空",
}
}, ensure_ascii=False))
if "password" not in body and body["password"] == '':
return ctx.response(json.dumps({
"error": {
"code": 70000,
"message": "密码不能为空",
}
}, ensure_ascii=False))
post_param = body
post_param['nickname'] = body["nickname"] or ""
post_param['password'] = md5hash(body["password"])
obj = userService.Get_obj({"username": post_param['username']}, {"like": False})
if obj:
return ctx.response(json.dumps({
"error": {
"code": 70000,
"message": "用户名已存在",
}
}, ensure_ascii=False))
ret = {
"error": {
"code": 70000,
"message": "注册失败",
}
}
bl = userService.Add(post_param)
if bl:
ret = {
"result": {
"bl": True,
"message": "注册成功"
}
}
return ctx.response(json.dumps(ret, ensure_ascii=False))
用户登录功能允许已注册用户访问系统。用户通过输入用户名和密码进行身份验证,系统对凭据进行比对,成功后进入个人后台首页。其界面如下图所示。

图5-3登录界面图
def Login(self, ctx):
print("===================登录=====================")
ret = {
"error": {
"code": 70000,
"message": "账户不存在",
}
}
body = ctx.body
password = md5hash(body["password"]) or ""
obj = service_select("user").Get_obj(
{"username": body["username"]}, {"like": False}
)
if obj:
user_group = service_select("user_group").Get_obj({'name': obj['user_group']}, {"like": False})
if user_group and user_group['source_table'] != '':
user_obj = service_select(user_group['source_table']).Get_obj({"user_id": obj['user_id']}, {"like": False})
if user_obj['examine_state'] == '未通过':
ret = {
"error": {
"code": 70000,
"message": "账户未通过审核",
}
}
return ret
if user_obj['examine_state'] == '未审核':
ret = {
"error": {
"code": 70000,
"message": "账户未审核",
}
}
return ret
if obj["state"] == 1:
if obj["password"] == password:
timeout = timezone.now()
timestamp = int(time.mktime(timeout.timetuple())) * 1000
token = md5hash(str(obj["user_id"]) + "_" + str(timestamp))
ctx.request.session[token] = obj["user_id"]
service_select("access_token").Add(
{"token": token, "user_id": obj["user_id"]}
5.1.4 档案信息管理
档案信息管理功能允许用户录入、查询、编辑和删除档案数据。用户可以根据注册用户、档案名称、档案类型、档案内容、法人姓名、身份证号码等多个条件进行检索。其界面如下图所示。

图5-4档案信息界面图
关键代码如下:
def Add(self, ctx):
body = ctx.body
unique = self.config.get("unique")
obj = None
if unique:
qy = {}
for i in range(len(unique)):
key = unique[i]
qy[key] = body.get(key)
obj = self.service.Get_obj(qy)
if not obj:
error = self.Add_before(ctx)
if error["code"]:
return {"error": error}
error = self.Events("add_before", ctx, None)
if error["code"]:
return {"error": error}
result = self.service.Add(body, self.config)
if self.service.error:
return {"error": self.service.error}
res = self.Add_after(ctx, result)
if res:
result = res
res = self.Events("add_after", ctx, result)
if res:
result = res
return {"result": result}
else:
return {"error": {"code": 10000, "message": "已存在"}}
5.1.5 整改信息管理
整改信息管理功能允许用户记录和跟踪档案的整改状态。每个档案的注册用户、档案名称、档案类型、发布时间、档案份数、整改时间可以在系统中更新和查看。用户可以跟踪整改进度,管理员可以审批并确认整改结果。其界面如下图所示。

图5-5申请印章界面图
关键代码如下:
def Get_obj(self, ctx):
query = dict(ctx.query)
config_plus = {}
if "field" in query:
field = query.pop("field")
config_plus["field"] = field
obj = self.service.Get_obj(query, obj_update(self.config, config_plus))
if self.service.error:
return {"error": self.service.error}
if obj:
self.interact_obj(ctx, obj)
return {"result": {"obj": obj}}
5.1.6 申请印章
申请印章管理功能允许用户提交印章使用申请。用户通过系统填写盖章文件名称、使用目的和时间等信息,提交申请。管理员审核并决定是否批准印章申请,所有印章的使用情况都在系统内详细记录。其界面如下图所示。

图5-6申请印章界面图
关键代码如下:
def Get_obj(self, ctx):
query = dict(ctx.query)
config_plus = {}
if "field" in query:
field = query.pop("field")
config_plus["field"] = field
obj = self.service.Get_obj(query, obj_update(self.config, config_plus))
if self.service.error:
return {"error": self.service.error}
if obj:
self.interact_obj(ctx, obj)
return {"result": {"obj": obj}}
5.2.1 用户管理
管理员管理用户信息、权限和行为。用户管理包括用户注册、登录、身份验证、权限控制、用户信息修改等操作。管理员可以查看和编辑用户信息,重置密码。其界面如下图所示。

图5-7管理员系统用户界面图
系统用户的关键代码如下:
def Add(self, ctx):
body = ctx.body
unique = self.config.get("unique")
obj = None
if unique:
qy = {}
for i in range(len(unique)):
key = unique[i]
qy[key] = body.get(key)
obj = self.service.Get_obj(qy)
if not obj:
error = self.Add_before(ctx)
if error["code"]:
return {"error": error}
error = self.Events("add_before", ctx, None)
if error["code"]:
return {"error": error}
result = self.service.Add(body, self.config)
if self.service.error:
return {"error": self.service.error}
res = self.Add_after(ctx, result)
if res:
result = res
res = self.Events("add_after", ctx, result)
if res:
result = res
return {"result": result}
else:
return {"error": {"code": 10000, "message": "已存在"}}
5.2.3 档案信息管理
管理员需要能够查看、编辑和删除所有档案信息。该功能允许管理员对档案数据进行全面管理,包括录入新的档案、更新已有档案、以及删除不再需要的档案。其界面如下图所示。

图5-8档案信息管理界面图
关键代码如下:
def Add(self, ctx):
body = ctx.body
unique = self.config.get("unique")
obj = None
if unique:
qy = {}
for i in range(len(unique)):
key = unique[i]
qy[key] = body.get(key)
obj = self.service.Get_obj(qy)
if not obj:
error = self.Add_before(ctx)
if error["code"]:
return {"error": error}
error = self.Events("add_before", ctx, None)
if error["code"]:
6 系统测试
政务电子档案管理系统测试的主要目的是确保系统功能正常、性能稳定、安全可靠。测试旨在验证系统各项功能是否按照需求规格书要求正常工作,检查系统的易用性和用户体验,确保用户能够顺利完成各项操作。此外,系统测试还旨在评估系统的性能指标,包括响应时间、并发能力等,以保证系统在高负载情况下仍能正常运行。另外,安全测试也是重要的一部分,确保系统能够有效防范各类安全威胁和攻击。通过全面的系统测试,可以保障政务电子档案管理系统的稳定性、可靠性和安全性。
系统测试旨在检验系统功能是否正常工作。通过功能测试用例的执行,可以有效评估系统功能的正确性、完整性和稳定性,帮助发现和解决潜在的功能缺陷,确保系统能够按照预期功能正常运行。功能测试用例包括用户注册、用户登录、档案信息、申请印章、发送印章等。
表6-1 注册功能测试用例
| 测试用例编号 | 功能模块 | 测试用例描述 | 预期结果 |
| TC001 | 用户注册 | 输入有效的用户名、密码、邮箱和角色信息 | 注册成功,用户账户创建并收到验证邮件 |
| TC002 | 用户注册 | 输入已有用户名 | 注册失败,提示用户名已存在 |
表6-2 用户登录功能测试用例
| 测试用例编号 | 功能模块 | 测试用例描述 | 预期结果 |
| TC003 | 用户登录 | 输入正确的用户名和密码 | 登录成功,进入用户后台首页 |
| TC004 | 用户登录 | 输入错误的用户名或密码 | 登录失败,提示用户名或密码错误 |
| TC005 | 用户登录 | 输入注册邮箱,使用忘记密码功能 | 提示发送重置密码链接到邮箱 |
表6-3 档案信息功能测试用例
| 测试用例编号 | 功能模块 | 测试用例描述 | 预期结果 |
| TC006 | 档案信息 | 用户填写完整的档案信息录入 | 档案信息成功,生成唯一档案ID |
| TC007 | 档案信息 | 用户录入档案时缺少必要信息 | 档案信息失败,提示补充必要信息 |
表6-4 申请印章功能测试用例
| 测试用例编号 | 功能模块 | 测试用例描述 | 预期结果 |
| TC008 | 申请印章 | 用户选择所需印章并填写申请信息 | 申请提交成功,生成申请记录并通知管理员审核 |
| TC009 | 申请印章 | 用户提交申请时缺少必要申请信息 | 申请提交失败,提示补充申请信息 |
表6-5 发送印章功能测试用例
| 测试用例编号 | 功能模块 | 测试用例描述 | 预期结果 |
| TC010 | 发送印章 | 管理员查看申请详情并批准申请印章 | 审核成功,申请状态更新为已批准 |
| TC011 | 发送印章 | 管理员查看申请详情并拒绝申请印章 | 审核成功,申请状态更新为已拒绝 |
6.3 测试结果
在本次测试中,我们对用户注册、用户登录、档案信息、申请印章和发送印章等功能进行了详细测试。测试结果显示,用户注册功能在输入有效信息时能够成功创建账户并发送验证邮件,而在输入已有用户名时则提示用户名已存在。用户登录功能在输入正确凭据时能成功登录,在输入错误凭据时会提示错误信息。档案信息功能在填写完整信息时能够成功录入档案,而在缺少必要信息时则提示补充信息。申请印章功能能够生成申请记录并通知管理员审核。发送印章功能能正确更新申请状态,确保档案管理流程的正常运作。总体而言,所有测试用例均达到预期效果,系统功能表现稳定。
结 论
在本研究中,成功构建了一个基于Django框架的政务电子档案管理系统,系统实现了档案信息管理、申请印章、整改信息管理等丰富功能。该系统充分利用了Python语言的灵活性、Django框架的高效开发特性和MySQL数据库的稳定性,为政府档案管理提供了可靠的技术支持。通过系统的设计和实现,不仅提高了档案管理的效率,也增强了用户体验,为档案管理和数据运营提供了便捷、高效的解决方案。
在系统的设计与开发过程中,虽然取得了一定的成果,但仍有部分改进空间。未来需要进一步优化用户体验和界面设计,提升系统的易用性和美观性,以增强用户对系统的吸引力和满意度。同时,异常情况和错误处理的完善也是需要关注的重点,确保系统的稳定性和安全性。在未来的改进中,可以考虑增加更多的数据分析和报告功能,以帮助管理员更好地了解档案管理的整体情况,并提高决策的科学性和准确性。此外,加强系统的扩展性和可维护性,能够更好地适应未来档案管理和功能拓展的需求。
总体来说,本次研究成功搭建了一套功能丰富的政务电子档案管理系统,取得了预期成果。未来,我将继续优化系统功能和用户体验,提升系统的性能和稳定性,为政务电子档案管理系统的长期发展和用户需求提供更好的服务和支持。
参考文献
- 袁晓文.基于Python的财务大数据素养提升探索和实践研究[J].现代商贸工业,2025,(06):173-176.DOI:10.19311/j.cnki.1672-3198.2025.06.056.
- 刘艺.数字化档案管理系统的设计与实现[J].中国战略新兴产业,2025,(06):44-46.
- 李佳.基于大数据与人工智能的档案管理系统研究[J].兰台世界,2025,(02):108-111.DOI:10.16565/j.cnki.1006-7744.2025.02.27.
- 张香玉,李江涛,马保建.Python程序设计课程的教学改革与探索[J].现代商贸工业,2025,(03):255-257.DOI:10.19311/j.cnki.1672-3198.2025.03.084.
- 徐步丹.高校人事档案管理信息系统的设计与实现[J].产业与科技论坛,2025,24(01):38-41.
- 苏日塔拉图.电子档案管理系统的优化与性能提升研究[J].国际公关,2024,(23):143-145.DOI:10.16645/j.cnki.cn11-5281/c.2024.23.018.
- 王丽芹.事业单位会计档案电子化的现状研究[J].财讯,2024,(23):171-173.
- 吴青霞.数字化视域下档案管理探究[J].参花,2024,(34):140-142.
- 李莹.文书档案在现代环境中的存储与管理方法[J].机电兵船档案,2024,(06):98-100.
- 刘思.基于信息化视角的企业档案管理探究[J].办公室业务,2024,(23):39-41.
- 兰琳琳.基于MySQL-Django-Vue的在线考试系统[J].电脑知识与技术,2024,20(33):51-54.DOI:10.14004/j.cnki.ckt.2024.1702.
- 陈玲.基于Django的名著人物展示系统的设计与实现[J].中国信息界,2024,(07):188-190.
- 谭彦.基于Django的农产品电子商城系统设计与实现[J].现代信息科技,2024,8(10):92-95.DOI:10.19850/j.cnki.2096-4706.2024.10.019.
- Song Z ,Liu Z,Liang J, et al.A Remote Wireless Meter Reading System Website Based on Django Development[J].Industry Science and Engineering,2024,1(5):
- Arghya S .Django in Production:Expert tips, strategies, and essential frameworks for writing scalable and maintainable code in Django[M].Packt Publishing Limited:2024-04-05. DOI:10.0000/9781804611289.
致 谢
首先,我要感谢我的论文指导老师。在论文完成的整个过程中,指导老师始终给予我无微不至的关爱与指导。在论文写作的过程中,导师那耐心细致的指导,以及提出的具有建设性的意见,都给予了我极大的帮助,让我受益匪浅。导师严谨的治学态度、敬业精神以及高水平的教学能力,都给我树立了追求卓越的典范,这对我以后的人生道路和学业成就都产生了极大的积极影响。
此外,我还要感谢我班的同学们,他们既是我的同窗好友,又是我的良师益友。正是由于你们的支持和关怀,使得我在大学期间的学习和生活都变得异常充实。感谢那些在大学期间给予我帮助的所有老师和同学们,是你们给予了我在学业道路上的前进动力。
当然,我也不能忘记我的父母,是他们用无私的爱抚养我成人。你们的养育之恩我将永生难忘,将来我一定会用我的成绩回报你们。在成长的道路上,我会不断努力,不负众望,用实际行动来回报你们对我的期望。
总之,在这篇论文中,我要感谢所有给予我帮助的人,包括指导老师、同学们、家人和朋友们。是你们的支持与关爱,让我在学术和个人生活中取得了优异的成绩。我会珍惜这份感恩之情,将这份力量用于学习和未来的生活中,不断追求卓越,成为一个更加优秀的人。
请关注点赞+私信博主,免费领取项目源码
935

被折叠的 条评论
为什么被折叠?



