摘 要
随着信息技术的快速发展,高校校园中的信息交流需求日益增加。传统的管理模式已经难以满足师生对于实时信息共享、互动讨论和校园活动组织的需求,尤其是在学术讨论、校园资讯和社交互动等方面,信息流通不畅和操作复杂成为有待解决的问题。现有的一些校园论坛系统在功能和管理上存在一定的局限性,缺乏灵活性和高效性,难以应对高并发访问、复杂的用户管理和信息内容审核等挑战。因此,设计一个高效、便捷且功能丰富的校园论坛管理系统成为提升校园信息流通与管理效率的迫切需求。
基于Spring Boot框架的大学校园论坛管理系统,通过不同角色的用户设置(如版主用户、普通用户和管理员),合理分配权限和功能模块,优化了管理流程。系统提供了包括校园论坛、校园公告、失物招领、私信管理、评论管理等核心功能,能够高效发布和管理信息。管理员可以对用户、失物招领、私信记录等进行全面管理,确保平台内容健康、有序。系统采用Spring Boot和MySQL技术,确保高性能和系统稳定性,支持高并发访问并方便后续扩展和维护。通过该系统的设计与实现,有望促进校园内信息交流,提升管理效率,并增强师生互动。
关键词:校园论坛 ;Spring Boot; Java语言;MySQL;
ABSTRACT
With the rapid development of information technology, the demand for information exchange on university campuses is increasing day by day. The traditional management model is no longer able to meet the needs of teachers and students for real-time information sharing, interactive discussions, and campus activity organization, especially in academic discussions, campus information, and social interactions. The problem of poor information flow and complex operations has become an urgent need to be solved. Some existing campus forum systems have certain limitations in terms of functionality and management, lacking flexibility and efficiency, making it difficult to cope with challenges such as high concurrency access, complex user management, and information content review. Therefore, designing an efficient, convenient, and feature rich campus forum management system has become an urgent need to improve the efficiency of campus information circulation and management.
The university campus forum management system based on the Spring Boot framework optimizes the management process by setting different roles of users (such as moderator users, regular users, and administrators), allocating permissions and functional modules reasonably. The system provides core functions including campus forum, campus announcement, lost and found, private message management, comment management, etc., which can efficiently publish and manage information. Administrators can comprehensively manage users, lost and found items, and private message records to ensure the health and orderliness of platform content. The system adopts Spring Boot and MySQL technology to ensure high performance and system stability, support high concurrency access, and facilitate subsequent expansion and maintenance. Through the design and implementation of this system, it is expected to promote information exchange on campus, improve management efficiency, and enhance teacher-student interaction.
Keywords: campus forum; Spring Boot; Java language; MySQL;
目 录
1绪论
1.1课题研究背景及意义
随着互联网技术的迅猛发展,数字化、信息化逐渐渗透到社会各个领域,特别是在教育行业。高校作为培养人才的重要基地,其信息化建设和校园服务的现代化水平直接影响到学生的学习、生活质量和管理效率。在这种背景下,校园论坛应运而生,成为校园管理与服务的重要组成部分。
传统的校园论坛服务大多依赖于线下处理,存在信息传递不及时、服务效率低、管理成本高等问题。而随着校园内外信息交流的需求不断增加,单一的传统服务方式已无法满足现代高校对信息化管理的需求。因此,建设一个集成信息发布、社交互动、活动管理等多功能的综合服务平台显得尤为重要。基于此,本课题旨在设计并实现一个以Spring Boot框架为基础的大学校园论坛系统,结合Java技术和MySQL数据库,采用前后端分离的架构,旨在提高大学校园服务管理效率,优化用户体验。
本课题的研究意义主要体现在以下几个方面:首先,通过构建一个集成化的校园服务平台,能够大幅提高校园服务的管理效率,减少传统手工处理的工作量,降低管理成本。其次,系统能够为学生、社团及管理员提供个性化的服务,提升用户体验,促进学生与校园之间的互动与信息流通。最后,系统的实施为高校信息化管理提供了一种可行的解决方案,并为未来智能化、精细化校园管理提供了有益的借鉴。
总体而言,本课题不仅满足了高校信息化建设的需求,还为实现校园管理的智能化和服务的精细化提供了有力支持。
1.2国内外发展现状分析
随着互联网技术的不断发展,校园信息化管理逐渐成为高校发展的重要方向。国内外对于校园综合服务平台的研究和应用已有一定进展,许多高校开始建设基于互联网和信息技术的综合服务系统,以提升校园管理效率和学生体验。
在国内,随着教育信息化进程的加快,许多高校已经建立了基于Web和移动互联网的校园综合服务平台。这些平台通常集成了教学管理、学生活动、社交互动、学术资源、校园通知等多种功能。国内的代表性平台如“智慧校园”系统,能够为学生提供在线选课、成绩查询、资源共享等服务。同时,像“掌上校园”等移动应用也提供了便捷的校园服务,学生可以随时获取校内通知、参与社团活动、进行二手交易等。此外,部分高校还通过大数据、云计算等技术进一步优化校园服务平台,提升信息处理的效率与精度。
在国外,许多高校的校园信息化管理也达到了较高的水平。例如,美国的部分高校开发了名为“Campus Solutions”的平台,涵盖了课程管理、学术交流、课外活动等内容,致力于为学生、教师和管理人员提供统一的服务体验。英国、加拿大等国的高校也有类似的系统,这些平台不仅优化了教学管理,也促进了学生与学校之间的互动与沟通。
总体来看,国内外高校在校园综合服务平台的建设中取得了显著进展,但仍存在一些挑战,例如平台功能的整合性不足、信息安全性问题以及用户体验的优化等。因此,如何通过更先进的技术,如人工智能、物联网等,实现校园服务的智能化、个性化,仍然是未来发展的重要方向。
1.3论文组织结构
本论文共分为七个主要章节,具体结构如下:
1. 绪论:介绍研究背景与意义,回顾国内外研究现状,并概述论文的组织结构。
2. 相关技术介绍:详细介绍与本研究相关的技术,包括Java语言、B/S框架、SpringBoot框架、Vue技术和MySQL数据库。
3. 需求分析:对系统的功能需求和非功能需求进行分析,明确用户和管理员的需求,并进行可行性分析,包括技术、操作和经济可行性。
4. 系统设计:涵盖系统架构设计、总体流程设计和功能设计,并进行数据库的概念设计与表设计。
5. 系统实现:具体描述各个功能模块的实现过程,展示系统如何根据需求进行开发。
6. 系统测试:阐述测试的目的、方法和内容,分析测试结果并得出结论,以验证系统的稳定性和功能完整性。
7. 总结:总结研究的主要成果和贡献,指出存在的不足及未来的研究方向。
2相关技术简介
2.1Java语言
Java语言是一种广泛使用的高级编程语言,具有平台无关性、面向对象特性和丰富的标准库[1]。Java通过Java虚拟机(JVM)实现跨平台运行,开发者可以编写一次代码,在任何支持JVM的环境中执行。Java的面向对象特性使得代码复用和模块化变得更加容易,促进了软件的维护和扩展。Java支持多线程编程,允许开发者在同一程序中同时执行多个任务,提升了应用程序的性能。
Java语言的语法结构简洁且易于理解,吸引了大量开发者[2]。Java的标准库包含数据结构、输入输出处理、网络编程等众多功能模块。这使得开发者在构建应用程序时能够高效利用已有工具,减少重复劳动。Java广泛应用于企业级应用、移动应用、Web开发和大数据处理等领域。
2.2 B/S框架
B/S(Browser/Server)架构是一种基于浏览器和服务器的系统架构模式,用户通过浏览器与服务器进行交互。B/S架构简化了客户端的部署和管理,用户无需在本地安装复杂的软件,只需使用标准浏览器即可访问应用程序。服务器端负责处理业务逻辑和数据存储,客户端则主要负责展示用户界面和数据交互[3]。B/S架构的设计使得系统更新和维护集中在服务器端,降低了维护成本。
B/S架构通常采用Web技术进行实现,包括HTML、CSS和JavaScript等。用户在浏览器中发起请求,服务器响应并返回数据。数据传输通常通过HTTP或HTTPS协议进行,B/S架构的灵活性使其适用于在线购物、信息管理系统和社交网络等各类应用场景[4]。由于其易于扩展性,B/S架构可以方便地支持大规模用户访问,适应不断变化的业务需求。
2.3 SpringBoot框架
SpringBoot框架是基于Spring框架的开源项目,简化Java应用程序的开发过程。SpringBoot通过约定优于配置的理念,减少了传统Spring应用的繁琐配置,开发者可以快速搭建和部署应用程序。框架提供了一系列默认配置,支持自动化配置,简化了应用启动的复杂性[5]。SpringBoot内置了嵌入式Web服务器,使得开发者能够独立运行Java应用,无需外部容器。
SpringBoot支持微服务架构,开发者可以轻松创建和管理多个微服务。框架集成了丰富的功能模块,包括安全、数据访问和消息中间件等,支持RESTful API和JSON数据格式的处理[6]。SpringBoot还提供了强大的监控和管理功能,允许开发者实时监控应用的健康状态和性能指标。借助SpringBoot,开发者能够高效构建和维护现代企业级应用,满足复杂业务需求。
2.4 Vue技术
Vue是一种渐进式JavaScript框架,专注于构建用户界面。Vue采用组件化的开发模式,允许开发者将应用程序拆分为独立的、可重用的组件,从而提高了开发效率和代码的可维护性[7]。框架的核心库专注于视图层,支持数据绑定和DOM操作,提供了简洁的API。Vue的虚拟DOM机制提升了应用的性能,减少了实际DOM操作的次数。
Vue支持双向数据绑定,能够自动更新视图与模型之间的变化。开发者可以通过Vue的指令系统,简化数据展示和事件处理。Vue还支持路由管理和状态管理,使得开发复杂单页面应用变得更加容易[8]。借助Vue的生态系统,开发者能够使用多种工具和库来扩展功能,满足不同的业务需求。Vue在前端开发中逐渐成为主流选择,受到广泛关注和应用。
2.5 MySQL数据库
MySQL是一种开源关系型数据库管理系统,广泛应用于Web应用和企业级数据存储。MySQL支持结构化查询语言,允许开发者通过标准语句进行数据的创建、读取、更新和删除操作[9]。数据库通过表格形式组织数据,支持数据完整性和约束条件的定义。MySQL的存储引擎机制使得用户可以根据具体需求选择不同的存储引擎,以优化性能和功能。
MySQL具有高性能和可扩展性,支持大规模数据存储和高并发访问。系统提供了丰富的用户权限管理和数据加密安全特性。MySQL能够与多种编程语言和框架兼容,广泛应用于内容管理系统、电子商务平台和数据分析等各种场景。
3系统需求分析
3.1系统功能需求分析
本系统旨在为大学校园论坛提供高效、便捷的管理与计费支持,利用Spring Boot框架开发,结合MySQL数据库实现数据管理,构建一个包括版主用户 、普通用户及管理员三类角色的综合管理系统。通过实现多个功能模块,本系统能够满足校园用户在综合服务中的不同需求,提供高效的服务管理与维护功能。以下是各类用户功能模块的详细分析。
(1)版主用户 功能
- 首页功能:展示论坛的最新动态、热门帖子以及校园公告。
- 校园论坛:版主可以管理论坛中的帖子,删除违规内容,审核新帖,管理讨论话题。
- 校园公告:版主可以发布和管理校园公告,确保重要通知及时传达给全体用户。
- 校园资讯:查看校园资讯,发布与管理相关的资讯内容,确保信息的时效性和准确性。
- 举报反馈:查看用户的举报内容,对恶意内容进行处理。
- 个人中心:查看版主个人信息,查看版主数据(如帖子数量、评论数量等),管理个人设置。
- 评论管理:对论坛内的评论进行管理,删除不符合规定的评论,保证讨论的质量。
(2) 普通用户功能
- 首页功能:展示论坛的最新动态、热门帖子、校园公告等信息。
- 校园论坛:用户可以浏览帖子、发表新帖、参与评论、回复他人帖子等。
- 校园公告:查看校园发布的重要公告,确保能够及时获取校园内的通知。
- 校园资讯:用户可以浏览校园资讯,了解学校的新闻动态和各类活动信息。
- 举报反馈:用户可以对不良信息进行举报,帮助维护论坛环境。
- 失物招领:用户可以查看失物招领信息,发布自己捡到的物品或寻找失物,促进校园资源共享。
- 个人中心:管理个人信息,查看自己的帖子和评论记录,查看私信记录并回复私信。
- 私信功能:用户可以与其他用户进行私下沟通,处理个人私信的记录。
- 评论管理:管理自己在论坛中发布的评论,删除不再需要的评论内容。
(3)管理员功能
- 后台首页:展示系统的整体运行情况,提供各类数据概览(如用户数量、帖子数量、活跃度等)。
- 系统用户管理:管理员可以管理平台内所有用户,包括普通用户、版主用户和管理员,进行用户的新增、删除、权限修改等操作。
- 失物招领管理:管理员可以审核和管理失物招领信息,确保信息的真实性和有效性。
- 私信记录管理:管理员可以查看和管理所有用户的私信记录,确保没有违规内容。
- 私信回复管理:管理员可以查看对私信的回复情况,对违规私信进行处理。
- 版主数据管理:管理员可以查看和统计版主的工作数据,如审核帖子数量、处理评论数量等,评估版主的工作效率。
- 系统管理:管理员可以管理系统的基础设置,例如轮播插图、网站样式、功能模块等。
- 留言管理(举报反馈):管理员负责处理用户的举报反馈,对违规内容进行处理,并采取必要的管理措施。
- 校园公告管理:管理员可以发布、修改、删除校园公告,确保重要通知及时更新。
- 资源管理(校园资讯):管理员可以发布和管理校园资讯,包括资讯的分类、内容发布和修改。
- 交流管理(校园论坛):管理员可以管理论坛分类、发布新的讨论话题、管理帖子及评论等。
3.2系统非功能性分析
大学校园论坛在撰写系统毕业论文时,非功能性需求分析是一个重要的部分。非功能性需求主要关注的是系统如何运行,而不是它具体完成什么功能。这些需求包括性能、可用性、安全性、可维护性、可扩展性、易用性等方面。以下是一个关于 校园论坛非功能性需求分析的概要。
性能需求:系统需确保快速响应和高吞吐量,以支持大量用户同时访问,即使在高峰时段也能保持流畅的操作体验,避免因延迟或卡顿影响用户体验。
可用性:系统必须具备高可用性,采用冗余部署、负载均衡等策略,确保即使部分组件故障也能迅速恢复服务,减少服务中断时间,保障用户业务的连续性。
安全性:鉴于系统处理用户敏感信息,如个人信息等,必须实施严格的安全措施,包括数据加密、访问控制、防攻击机制等,以保护用户数据免受未授权访问或泄露。
可维护性:系统设计应注重可维护性,采用模块化、标准化的架构,提供详尽的开发文档和用户手册,确保系统易于理解和维护,降低长期运维成本。
可扩展性:随着业务的发展,系统可能需要扩展功能或提升性能。因此,系统需具备灵活的可扩展性,能够轻松添加新模块、优化性能,以应对未来增长的需求。
易用性:用户界面应直观易用,符合用户习惯,提供清晰的导航和友好的操作反馈,帮助用户快速上手并高效完成任务,提升整体用户满意度。
3.3系统可行性分析
通过大学校园论坛的可行性分析,我们可以从技术可行性、经济可行性、操作可行性三个维度进行深入探讨,以确保系统的开发与应用具有坚实的可行性基础。
3.3.1技术可行性
Springboot作为目前流行的Java企业级应用开发框架,以其“约定优于配置”的原则,极大地简化了开发流程,降低了技术门槛。同时,结合MyBatis Plus这一强大的ORM框架,可以高效实现数据持久化操作。前端采用Vue框架,不仅提升了用户界面的交互体验,也实现了前后端分离的现代Web架构。MySQL数据库作为后端数据存储,以其高性能和稳定性为系统提供了可靠的数据支持。综上所述,从技术角度来看,该系统的开发具备高度可行性。
3.3.2经济可行性
考虑到Springboot、Vue、MyBatis Plus及MySQL等均为开源技术,无需支付高昂的许可费用,大大降低了系统的开发成本。同时,这些技术拥有广泛的用户群体和成熟的社区支持,便于获取技术支持和资源共享。此外,系统的实施将显著提升 校园论坛的效率和用户体验,从而带来潜在的经济效益。因此,从经济角度来看, 校园论坛的开发同样具备可行性。
3.3.3操作可行性
系统设计应遵循用户友好原则,确保用户能够轻松上手并高效使用。通过合理的界面布局、直观的操作流程以及详尽的帮助文档,可以大大降低用户的学习成本,提高系统的操作可行性。此外,系统还应具备完善的权限管理和数据安全机制,确保操作的安全性和合规性。
从技术、经济、操作三个维度来看, 校园论坛的开发均具备高度的可行性。
3.4系统用例分析
校园论坛用例分析主要从普通用户 、管理员、版主用户这些实体展开描述。
3.4.1普通用户 用例分析
普通用户详细用例图如图3-1所示。

图3-1普通用户 用例图
3.4.2管理员用例分析
管理员详细用例图如图3-2所示。

图3-2管理员用例图
3.4.3版主用户用例分析
版主用户详细用例图如图3-3所示。

图3-3版主用户用例图
4系统设计
4.1系统架构设计
系统采用SpringBoot 框架开发,该系统分为VIEW层、Controller层、Model层、DAO层和持久化数据存储层,VIEW层支持电脑浏览器访问系统。VIEW 层与 Controller 层紧密结合并系协同工作,共同完成前台页面的数据展示;Controller层为控制层,通过接收前端请求的参数进行业务处理,返回指定的路径或数据;Model层主要是服务层,用于业务逻辑处理;DAO 和持久化层,主要用于访问数据库和持久化数据[10]。整个系统架构如图4-1所示。

图4-1 系统架构图。
4.2系统结构设计
大学校园论坛的整体结构设计如图4-2所示。

图4-3整体功能结构设计图
4.3系统功能设计
4.3.1系统开发流程
大学校园论坛开发时,首先进行需求分析,进而对系统进行总体的设计规划,设计系统功能模块,数据库的选择等,本系统的开发流程如图4-4所示。

图4-4系统开发流程图
4.3.2 用户登录流程
为了保证系统的安全性,要使用本系统对系统信息进行管理,必须先登陆到系统中。如图4-5所示。

图4-5 登录流程图
4.3.3 系统操作流程
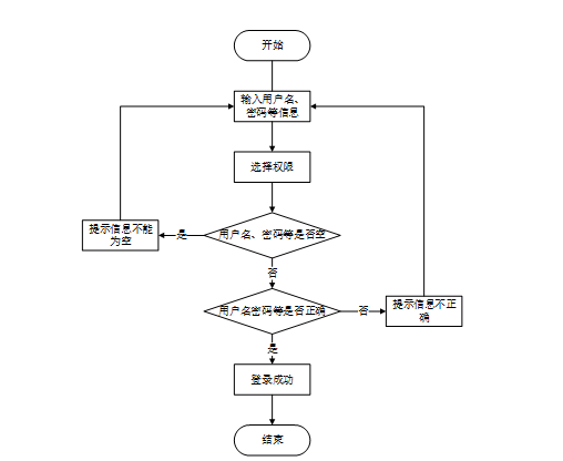
用户打开并进入系统后,会先显示登录界面,输入正确的用户名和密码,系统自动检测信息,若信息无误,则用户会进入系统功能界面,进行操作,否则会提示错误无法登录,操作流程如图4-6所示。

图4-6 系统操作流程图
4.3.4 添加信息流程
管理员可以对校园通知、校园资讯等进行信息的添加,用户可以对自己权限内的信息进行添加,输入信息后,系统会自行验证输入的信息和数据,若信息正确,会将其添加到数据库内,若信息有误,则会提示重新输入信息,添加信息流程如图4-7所示。

图4-7 添加信息流程图
4.3.5 修改信息流程
管理员可以对校园通知、校园资讯等进行的修改,用户可以对自己权限内的信息进行修改,首先进入修改信息界面,输入修改信息数据,系统进行数据的判断验证,修改信息合法则修改成功,信息更新至数据库,信息不合法则修改失败,重新输入。修改信息流程图如图4-8所示。

图4-8 修改信息流程图
4.3.6 删除信息流程
管理员可以对校园通知、校园资讯等进行信息的删除,对要删除的信息进行选中后,点击删除按钮,系统会询问是否确定,若点击确定,则系统会删除掉选中的信息,并在数据库内对信息进行删除,删除信息流程图如图4-9所示。

图4-9 删除信息流程图
4.4数据库设计
在进行数据库设计时,概念设计帮助明确系统的整体结构和需求。在这一阶段,需要确定实体、属性以及它们之间的关系,为后续的数据库表设计奠定基础。接下来,将深入探讨数据库表设计的具体细节,实现更高效的数据存储和管理。
4.4.1 概念设计
概念设计是数据库设计的第一步,其主要目标是对系统的数据需求进行全面的理解和抽象[11]。在这一阶段,通过建立实体-关系模型(ER模型)来识别系统中的关键实体、属性及其相互关系。概念设计的输出是一个清晰的ER图,作为后续数据库表设计的基础。以下将展示系统的全局E-R图。

图4-10数据库E-R图
4.4.2数据库表设计
这一阶段的重点是将概念模型转换为实际的数据库结构,包括表的创建、字段的定义及数据类型的选择。每个实体通常对应于数据库中的一张表,而实体的属性则转化为表的列[12]。以下是系统的数据库表设计展示。
表 4-1-access_token(登陆访问时长)
| 编号 | 字段名 | 类型 | 长度 | 是否非空 | 是否主键 | 注释 |
| 1 | token_id | int | 是 | 是 | 临时访问牌ID | |
| 2 | token | varchar | 64 | 否 | 否 | 临时访问牌 |
| 3 | info | text | 65535 | 否 | 否 | 信息 |
| 4 | maxage | int | 是 | 否 | 最大寿命:默认2小时 | |
| 5 | create_time | timestamp | 是 | 否 | 创建时间 | |
| 6 | update_time | timestamp | 是 | 否 | 更新时间 | |
| 7 | user_id | int | 是 | 否 | 用户编号 |
表 4-2-article(文章)
| 编号 | 字段名 | 类型 | 长度 | 是否非空 | 是否主键 | 注释 |
| 1 | article_id | mediumint | 是 | 是 | 文章id | |
| 2 | title | varchar | 125 | 是 | 是 | 标题 |
| 3 | type | varchar | 64 | 是 | 否 | 文章分类 |
| 4 | hits | int | 是 | 否 | 点击数 | |
| 5 | praise_len | int | 是 | 否 | 点赞数 | |
| 6 | create_time | timestamp | 是 | 否 | 创建时间 | |
| 7 | update_time | timestamp | 是 | 否 | 更新时间 | |
| 8 | source | varchar | 255 | 否 | 否 | 来源 |
| 9 | url | varchar | 255 | 否 | 否 | 来源地址 |
| 10 | tag | varchar | 255 | 否 | 否 | 标签 |
| 11 | content | longtext | 4294967295 | 否 | 否 | 正文 |
| 12 | img | varchar | 255 | 否 | 否 | 封面图 |
| 13 | description | text | 65535 | 否 | 否 | 文章描述 |
表 4-3-article_type(文章分类)
| 编号 | 字段名 | 类型 | 长度 | 是否非空 | 是否主键 | 注释 |
| 1 | type_id | smallint | 是 | 是 | 分类ID | |
| 2 | display | smallint | 是 | 否 | 显示顺序 | |
| 3 | name | varchar | 16 | 是 | 否 | 分类名称 |
| 4 | father_id | smallint | 是 | 否 | 上级分类ID | |
| 5 | description | varchar | 255 | 否 | 否 | 描述 |
| 6 | icon | text | 65535 | 否 | 否 | 分类图标 |
| 7 | url | varchar | 255 | 否 | 否 | 外链地址 |
| 8 | create_time | timestamp | 是 | 否 | 创建时间 | |
| 9 | update_time | timestamp | 是 | 否 | 更新时间 |
表 4-4-auth(用户权限管理)
| 编号 | 字段名 | 类型 | 长度 | 是否非空 | 是否主键 | 注释 |
| 1 | auth_id | int | 是 | 是 | 授权ID | |
| 2 | user_group | varchar | 64 | 否 | 否 | 用户组 |
| 3 | mod_name | varchar | 64 | 否 | 否 | 模块名 |
| 4 | table_name | varchar | 64 | 否 | 否 | 表名 |
| 5 | page_title | varchar | 255 | 否 | 否 | 页面标题 |
| 6 | path | varchar | 255 | 否 | 否 | 路由路径 |
| 7 | parent | varchar | 64 | 否 | 否 | 父级菜单 |
| 8 | parent_sort | int | 是 | 否 | 父级菜单排序 | |
| 9 | position | varchar | 32 | 否 | 否 | 位置 |
| 10 | mode | varchar | 32 | 是 | 否 | 跳转方式 |
| 11 | add | tinyint | 是 | 否 | 是否可增加 | |
| 12 | del | tinyint | 是 | 否 | 是否可删除 | |
| 13 | set | tinyint | 是 | 否 | 是否可修改 | |
| 14 | get | tinyint | 是 | 否 | 是否可查看 | |
| 15 | field_add | text | 65535 | 否 | 否 | 添加字段 |
| 16 | field_set | text | 65535 | 否 | 否 | 修改字段 |
| 17 | field_get | text | 65535 | 否 | 否 | 查询字段 |
| 18 | table_nav_name | varchar | 500 | 否 | 否 | 跨表导航名称 |
| 19 | table_nav | varchar | 500 | 否 | 否 | 跨表导航 |
| 20 | option | text | 65535 | 否 | 否 | 配置 |
| 21 | create_time | timestamp | 是 | 否 | 创建时间 | |
| 22 | update_time | timestamp | 是 | 否 | 更新时间 |
表 4-5-code_token(验证码)
| 编号 | 字段名 | 类型 | 长度 | 是否非空 | 是否主键 | 注释 |
| 1 | code_token_id | int | 是 | 是 | 验证码ID | |
| 2 | token | varchar | 255 | 否 | 否 | 令牌 |
| 3 | code | varchar | 255 | 否 | 否 | 验证码 |
| 4 | expire_time | timestamp | 是 | 否 | 失效时间 | |
| 5 | create_time | timestamp | 是 | 否 | 创建时间 | |
| 6 | update_time | timestamp | 是 | 否 | 更新时间 |
表 4-6-collect(收藏)
| 编号 | 字段名 | 类型 | 长度 | 是否非空 | 是否主键 | 注释 |
| 1 | collect_id | int | 是 | 是 | 收藏ID | |
| 2 | user_id | int | 是 | 是 | 收藏人ID | |
| 3 | source_table | varchar | 255 | 否 | 否 | 来源表 |
| 4 | source_field | varchar | 255 | 否 | 否 | 来源字段 |
| 5 | source_id | int | 是 | 否 | 来源ID | |
| 6 | title | varchar | 255 | 否 | 否 | 标题 |
| 7 | img | varchar | 255 | 否 | 否 | 封面 |
| 8 | create_time | timestamp | 是 | 否 | 创建时间 | |
| 9 | update_time | timestamp | 是 | 否 | 更新时间 |
表 4-7-comment(评论)
| 编号 | 字段名 | 类型 | 长度 | 是否非空 | 是否主键 | 注释 |
| 1 | comment_id | int | 是 | 是 | 评论ID | |
| 2 | user_id | int | 是 | 是 | 评论人ID | |
| 3 | reply_to_id | int | 是 | 否 | 回复评论ID | |
| 4 | content | longtext | 4294967295 | 否 | 否 | 内容 |
| 5 | nickname | varchar | 255 | 否 | 否 | 昵称 |
| 6 | avatar | varchar | 255 | 否 | 否 | 头像地址 |
| 7 | create_time | timestamp | 是 | 否 | 创建时间 | |
| 8 | update_time | timestamp | 是 | 否 | 更新时间 | |
| 9 | source_table | varchar | 255 | 否 | 否 | 来源表 |
| 10 | source_field | varchar | 255 | 否 | 否 | 来源字段 |
| 11 | source_id | int | 是 | 否 | 来源ID |
表 4-8-forum(论坛)
| 编号 | 字段名 | 类型 | 长度 | 是否非空 | 是否主键 | 注释 |
| 1 | forum_id | mediumint | 是 | 是 | 论坛ID | |
| 2 | display | smallint | 是 | 否 | 排序 | |
| 3 | user_id | mediumint | 是 | 否 | 用户ID | |
| 4 | nickname | varchar | 16 | 否 | 否 | 昵称 |
| 5 | praise_len | int | 否 | 否 | 点赞数 | |
| 6 | hits | int | 是 | 否 | 访问数 | |
| 7 | title | varchar | 125 | 是 | 否 | 标题 |
| 8 | keywords | varchar | 125 | 否 | 否 | 关键词 |
| 9 | description | varchar | 255 | 否 | 否 | 描述 |
| 10 | url | varchar | 255 | 否 | 否 | 来源地址 |
| 11 | tag | varchar | 255 | 否 | 否 | 标签 |
| 12 | img | text | 65535 | 否 | 否 | 封面图 |
| 13 | content | longtext | 4294967295 | 否 | 否 | 正文 |
| 14 | create_time | timestamp | 是 | 否 | 创建时间 | |
| 15 | update_time | timestamp | 是 | 否 | 更新时间 | |
| 16 | avatar | varchar | 255 | 否 | 否 | 发帖人头像 |
| 17 | type | varchar | 64 | 是 | 否 | 论坛分类 |
| 18 | istop | int | 是 | 否 | 是否置顶 |
表 4-9-forum_type(论坛分类)
| 编号 | 字段名 | 类型 | 长度 | 是否非空 | 是否主键 | 注释 |
| 1 | type_id | smallint | 是 | 是 | 分类ID | |
| 2 | name | varchar | 16 | 是 | 否 | 分类名称 |
| 3 | description | varchar | 255 | 否 | 否 | 描述 |
| 4 | url | varchar | 255 | 否 | 否 | 外链地址 |
| 5 | father_id | smallint | 是 | 否 | 上级分类ID | |
| 6 | icon | varchar | 255 | 否 | 否 | 分类图标 |
| 7 | create_time | timestamp | 是 | 否 | 创建时间 | |
| 8 | update_time | timestamp | 是 | 否 | 更新时间 |
表 4-10-hits(用户点击)
| 编号 | 字段名 | 类型 | 长度 | 是否非空 | 是否主键 | 注释 |
| 1 | hits_id | int | 是 | 是 | 点赞ID | |
| 2 | user_id | int | 是 | 否 | 点赞人 | |
| 3 | create_time | timestamp | 是 | 否 | 创建时间 | |
| 4 | update_time | timestamp | 是 | 否 | 更新时间 | |
| 5 | source_table | varchar | 255 | 否 | 否 | 来源表 |
| 6 | source_field | varchar | 255 | 否 | 否 | 来源字段 |
| 7 | source_id | int | 是 | 否 | 来源ID |
表 4-11-lost_and_found(失物招领)
| 编号 | 字段名 | 类型 | 长度 | 是否非空 | 是否主键 | 注释 |
| 1 | lost_and_found_id | int | 是 | 是 | 失物招领ID | |
| 2 | item_pictures | varchar | 255 | 否 | 否 | 物品图片 |
| 3 | item_name | varchar | 64 | 否 | 否 | 物品名称 |
| 4 | lost_place | varchar | 64 | 否 | 否 | 丢失地方 |
| 5 | lost_time | datetime | 否 | 否 | 丢失时间 | |
| 6 | collection_location | varchar | 64 | 否 | 否 | 领取地点 |
| 7 | contact_information | varchar | 64 | 否 | 否 | 联系方式 |
| 8 | recruiting_users | int | 否 | 否 | 招领用户 | |
| 9 | user_name | varchar | 64 | 否 | 否 | 用户姓名 |
| 10 | admissions_remarks | longtext | 4294967295 | 否 | 否 | 招领备注 |
| 11 | hits | int | 是 | 否 | 点击数 | |
| 12 | collect_len | int | 是 | 否 | 收藏数 | |
| 13 | comment_len | int | 是 | 否 | 评论数 | |
| 14 | private_letter_record_limit_times | int | 是 | 否 | 私信限制次数 | |
| 15 | create_time | datetime | 是 | 否 | 创建时间 | |
| 16 | update_time | timestamp | 是 | 否 | 更新时间 |
表 4-12-message(留言板)
| 编号 | 字段名 | 类型 | 长度 | 是否非空 | 是否主键 | 注释 |
| 1 | message_id | int | 是 | 是 | 留言板ID | |
| 2 | user_id | int | 是 | 否 | 用户ID | |
| 3 | title | varchar | 64 | 否 | 否 | 标题 |
| 4 | content | longtext | 4294967295 | 是 | 否 | 内容 |
| 5 | nickname | varchar | 32 | 是 | 否 | 昵称 |
| 6 | avatar | varchar | 255 | 否 | 否 | 头像 |
| 7 | | varchar | 125 | 否 | 否 | 留言者邮箱 |
| 8 | phone | varchar | 11 | 否 | 否 | 留言者手机号码 |
| 9 | create_time | timestamp | 是 | 否 | 创建时间 | |
| 10 | update_time | timestamp | 是 | 否 | 更新时间 | |
| 11 | reply | longtext | 4294967295 | 否 | 否 | 回复 |
| 12 | reply_state | tinyint | 否 | 否 | 回复状态 |
表 4-13-moderator_master_data(版主数据)
| 编号 | 字段名 | 类型 | 长度 | 是否非空 | 是否主键 | 注释 |
| 1 | moderator_master_data_id | int | 是 | 是 | 版主数据ID | |
| 2 | posting_user | int | 否 | 否 | 发帖用户 | |
| 3 | moderator_name | varchar | 64 | 否 | 否 | 版主姓名 |
| 4 | number_of_views | double | 否 | 否 | 浏览数量 | |
| 5 | number_of_replies | double | 否 | 否 | 回复数量 | |
| 6 | number_of_posts | double | 否 | 否 | 发帖数量 | |
| 7 | create_time | datetime | 是 | 否 | 创建时间 | |
| 8 | update_time | timestamp | 是 | 否 | 更新时间 |
表 4-14-moderator_user(版主用户)
| 编号 | 字段名 | 类型 | 长度 | 是否非空 | 是否主键 | 注释 |
| 1 | moderator_user_id | int | 是 | 是 | 版主用户ID | |
| 2 | user_name | varchar | 64 | 否 | 否 | 用户姓名 |
| 3 | user_gender | varchar | 64 | 否 | 否 | 用户性别 |
| 4 | examine_state | varchar | 16 | 是 | 否 | 审核状态 |
| 5 | user_id | int | 是 | 否 | 用户ID | |
| 6 | create_time | datetime | 是 | 否 | 创建时间 | |
| 7 | update_time | timestamp | 是 | 否 | 更新时间 |
表 4-15-notice(公告)
| 编号 | 字段名 | 类型 | 长度 | 是否非空 | 是否主键 | 注释 |
| 1 | notice_id | mediumint | 是 | 是 | 公告ID | |
| 2 | title | varchar | 125 | 是 | 否 | 标题 |
| 3 | content | longtext | 4294967295 | 否 | 否 | 正文 |
| 4 | create_time | timestamp | 是 | 否 | 创建时间 | |
| 5 | update_time | timestamp | 是 | 否 | 更新时间 |
表 4-16-ordinary_user(普通用户)
| 编号 | 字段名 | 类型 | 长度 | 是否非空 | 是否主键 | 注释 |
| 1 | ordinary_user_id | int | 是 | 是 | 普通用户ID | |
| 2 | user_name | varchar | 64 | 否 | 否 | 用户姓名 |
| 3 | user_gender | varchar | 64 | 否 | 否 | 用户性别 |
| 4 | examine_state | varchar | 16 | 是 | 否 | 审核状态 |
| 5 | user_id | int | 是 | 否 | 用户ID | |
| 6 | create_time | datetime | 是 | 否 | 创建时间 | |
| 7 | update_time | timestamp | 是 | 否 | 更新时间 |
表 4-17-praise(点赞)
| 编号 | 字段名 | 类型 | 长度 | 是否非空 | 是否主键 | 注释 |
| 1 | praise_id | int | 是 | 是 | 点赞ID | |
| 2 | user_id | int | 是 | 是 | 点赞人 | |
| 3 | create_time | timestamp | 是 | 否 | 创建时间 | |
| 4 | update_time | timestamp | 是 | 否 | 更新时间 | |
| 5 | source_table | varchar | 255 | 否 | 否 | 来源表 |
| 6 | source_field | varchar | 255 | 否 | 否 | 来源字段 |
| 7 | source_id | int | 是 | 否 | 来源ID | |
| 8 | status | tinyint | 是 | 否 | 点赞状态:1为点赞,0已取消 |
表 4-18-private_letter_record(私信记录)
| 编号 | 字段名 | 类型 | 长度 | 是否非空 | 是否主键 | 注释 |
| 1 | private_letter_record_id | int | 是 | 是 | 私信记录ID | |
| 2 | recruiting_users | int | 否 | 否 | 招领用户 | |
| 3 | private_letter_user | int | 否 | 否 | 私信用户 | |
| 4 | private_letter_title | varchar | 64 | 否 | 否 | 私信标题 |
| 5 | private_letter_content | text | 65535 | 否 | 否 | 私信内容 |
| 6 | private_letter_reply_limit_times | int | 是 | 否 | 回复限制次数 | |
| 7 | create_time | datetime | 是 | 否 | 创建时间 | |
| 8 | update_time | timestamp | 是 | 否 | 更新时间 | |
| 9 | source_table | varchar | 255 | 否 | 否 | 来源表 |
| 10 | source_id | int | 否 | 否 | 来源ID | |
| 11 | source_user_id | int | 否 | 否 | 来源用户 |
表 4-19-private_letter_reply(私信回复)
| 编号 | 字段名 | 类型 | 长度 | 是否非空 | 是否主键 | 注释 |
| 1 | private_letter_reply_id | int | 是 | 是 | 私信回复ID | |
| 2 | recruiting_users | int | 否 | 否 | 招领用户 | |
| 3 | private_letter_user | int | 否 | 否 | 私信用户 | |
| 4 | reply_title | varchar | 64 | 否 | 否 | 回复标题 |
| 5 | reply_content | text | 65535 | 否 | 否 | 回复内容 |
| 6 | create_time | datetime | 是 | 否 | 创建时间 | |
| 7 | update_time | timestamp | 是 | 否 | 更新时间 | |
| 8 | source_table | varchar | 255 | 否 | 否 | 来源表 |
| 9 | source_id | int | 否 | 否 | 来源ID | |
| 10 | source_user_id | int | 否 | 否 | 来源用户 |
表 4-20-schedule(日程管理)
| 编号 | 字段名 | 类型 | 长度 | 是否非空 | 是否主键 | 注释 |
| 1 | schedule_id | smallint | 是 | 是 | 日程ID | |
| 2 | content | varchar | 255 | 否 | 否 | 日程内容 |
| 3 | scheduled_time | datetime | 否 | 否 | 计划时间 | |
| 4 | user_id | int | 是 | 否 | 用户ID | |
| 5 | create_time | datetime | 否 | 否 | 创建时间 | |
| 6 | update_time | datetime | 否 | 否 | 更新时间 |
表 4-21-score(评分)
| 编号 | 字段名 | 类型 | 长度 | 是否非空 | 是否主键 | 注释 |
| 1 | score_id | int | 是 | 是 | 评分ID | |
| 2 | user_id | int | 是 | 否 | 评分人 | |
| 3 | nickname | varchar | 64 | 否 | 否 | 昵称 |
| 4 | score_num | double | 是 | 否 | 评分 | |
| 5 | create_time | timestamp | 是 | 否 | 创建时间 | |
| 6 | update_time | timestamp | 是 | 否 | 更新时间 | |
| 7 | source_table | varchar | 255 | 否 | 否 | 来源表 |
| 8 | source_field | varchar | 255 | 否 | 否 | 来源字段 |
| 9 | source_id | int | 是 | 否 | 来源ID |
表 4-22-slides(轮播图)
| 编号 | 字段名 | 类型 | 长度 | 是否非空 | 是否主键 | 注释 |
| 1 | slides_id | int | 是 | 是 | 轮播图ID | |
| 2 | title | varchar | 64 | 否 | 否 | 标题 |
| 3 | content | varchar | 255 | 否 | 否 | 内容 |
| 4 | url | varchar | 255 | 否 | 否 | 链接 |
| 5 | img | varchar | 255 | 否 | 否 | 轮播图 |
| 6 | hits | int | 是 | 否 | 点击量 | |
| 7 | create_time | timestamp | 是 | 否 | 创建时间 | |
| 8 | update_time | timestamp | 是 | 否 | 更新时间 |
表 4-23-upload(文件上传)
| 编号 | 字段名 | 类型 | 长度 | 是否非空 | 是否主键 | 注释 |
| 1 | upload_id | int | 是 | 是 | 上传ID | |
| 2 | name | varchar | 64 | 否 | 否 | 文件名 |
| 3 | path | varchar | 255 | 否 | 否 | 访问路径 |
| 4 | file | varchar | 255 | 否 | 否 | 文件路径 |
| 5 | display | varchar | 255 | 否 | 否 | 显示顺序 |
| 6 | father_id | int | 否 | 否 | 父级ID | |
| 7 | dir | varchar | 255 | 否 | 否 | 文件夹 |
| 8 | type | varchar | 32 | 否 | 否 | 文件类型 |
表 4-24-user(用户账户)
| 编号 | 字段名 | 类型 | 长度 | 是否非空 | 是否主键 | 注释 |
| 1 | user_id | int | 是 | 是 | 用户ID | |
| 2 | state | smallint | 是 | 否 | 账户状态:(1可用|2异常|3已冻结|4已注销) | |
| 3 | user_group | varchar | 32 | 否 | 否 | 所在用户组 |
| 4 | login_time | timestamp | 是 | 否 | 上次登录时间 | |
| 5 | phone | varchar | 11 | 否 | 否 | 手机号码 |
| 6 | phone_state | smallint | 是 | 否 | 手机认证:(0未认证|1审核中|2已认证) | |
| 7 | username | varchar | 16 | 是 | 否 | 用户名 |
| 8 | nickname | varchar | 16 | 否 | 否 | 昵称 |
| 9 | password | varchar | 64 | 是 | 否 | 密码 |
| 10 | | varchar | 64 | 否 | 否 | 邮箱 |
| 11 | email_state | smallint | 是 | 否 | 邮箱认证:(0未认证|1审核中|2已认证) | |
| 12 | avatar | varchar | 255 | 否 | 否 | 头像地址 |
| 13 | open_id | varchar | 255 | 否 | 否 | 针对获取用户信息字段 |
| 14 | create_time | timestamp | 是 | 否 | 创建时间 |
表 4-25-user_group(用户组)
| 编号 | 字段名 | 类型 | 长度 | 是否非空 | 是否主键 | 注释 |
| 1 | group_id | mediumint | 是 | 是 | 用户组ID | |
| 2 | display | smallint | 是 | 否 | 显示顺序 | |
| 3 | name | varchar | 16 | 是 | 否 | 名称 |
| 4 | description | varchar | 255 | 否 | 否 | 描述 |
| 5 | source_table | varchar | 255 | 否 | 否 | 来源表 |
| 6 | source_field | varchar | 255 | 否 | 否 | 来源字段 |
| 7 | source_id | int | 是 | 否 | 来源ID | |
| 8 | register | smallint | 否 | 否 | 注册位置 | |
| 9 | create_time | timestamp | 是 | 否 | 创建时间 | |
| 10 | update_time | timestamp | 是 | 否 | 更新时间 |
5系统实现
5.1版主用户功能实现
5.1.1首页
首页是系统的主界面,展示平台的核心内容,包括校园论坛、校园公告、校园资讯等。用户可以通过首页快速访问各个功能模块,还可以根据关键词搜索相关内容,如图所示。

图5-1系统首页界面图
5.1.2校园资讯
点击系统导航栏上的“校园资讯”菜单按钮,将进入校园资讯列表,用户可以查看系统发布的所有校园资讯内容。点击校园资讯后进入详情页,可以查看该资讯的详细内容,用户可以点赞、收藏、评论等。校园资讯列表页面如图所示。

图5-2校园资讯列表界面图
5.1.3校园论坛
点击系统导航栏上的“校园论坛”菜单按钮,可查看校园论坛详情。界面图所示。

图5-3校园论坛界面图
5.1.4 失物招领
用户点击首页“失物招领”按钮,可查看失物招领列表。失物招领界面如下图所示。

图5-4失物招领界面图
5.1.5个人中心
点击系统左上角的“个人中心”菜单按钮,用户可以在个人中心查看个人首页 、版主数据、举报反馈、评论管理。个人中心界面图所示。


图5-5个人中心界面图
5.2管理员功能实现
5.2.1后台首页界面
管理员登录进入台后首页可查看用户统计数据。后台首页界面如下图所示。

图5-6后台首页界面图
5.2.2系统用户管理
校园论坛中的管理人员是可以对注册的版主用户和普通用户进行管理的,包括对用户信息进行增删改查等操作,也可以对管理员进行管控。界面如下图所示。

图5-7系统用户管理界面图
5.2.3 轮播图管理界面
管理员点击“系统管理-轮播图”菜单,可以对前台展示的轮播图进行设置,界面如下图所示。

图5-8轮播图管理界面图
5.2.4校园公告界面
管理员点击“校园公告”这个菜单,可以对系统中的网站介绍、网站公告、测试公告、关于我们、联系方式进行管理和查看。校园公告界面如下图所示。

图5-9校园公告界面图
5.2.5 资源管理界面
管理员点击“资源管理”菜单,管理员可以上传、编辑或删除系统的资源,如文章、图片、视频等。这些资源可用于校园资讯模块的展示。管理员还可以对解读进行分类和标签化,方便用户查找和使用,界面如下图所示。

图5-10资源管理界面图
5.3普通用户功能实现
5.3.1 校园论坛
普通用户点击“校园论坛”,可对论坛文章点赞收藏。校园论坛添加界面如下图所示。

图5-11校园论坛界面图
5.3.2失物招领
普通用户点击“失物招领”,可查看失物招领列表,还可以通过关键词搜索。失物招领界面如下图所示。

图5-12失物招领界面图
5.3.3个人中心
普通用户点击“个人中心”,可对个人中心各功能进行管理和操作。

图5-13个人中心界面图
6系统测试
6.1测试目的
测试的主要目的是确保系统的功能和性能满足预期的需求,同时识别和修复潜在的缺陷。通过系统测试,可以验证各个功能模块的正确性和稳定性,确保系统在不同使用场景下的表现符合设计要求。测试目的包括确认系统功能的完整性、验证数据处理的准确性、评估系统的性能和安全性。测试还可以提高用户满意度,保证用户在使用系统时获得流畅和可靠的体验。通过全面的测试,可以降低后期维护成本,减少系统上线后出现故障的风险,从而保障系统的长期稳定运行。
6.2测试方法
在本系统中,测试方法主要依赖于测试用例的设计与执行。测试用例是根据系统需求文档编写的,覆盖所有功能模块及其边界情况。每个测试用例包含输入数据、预期结果和实际结果的对比,以验证系统的功能是否按预期工作。
常见的测试用例包括功能测试用例、边界测试用例和异常测试用例[13]。功能测试用例针对系统的各项功能进行验证;边界测试用例则侧重于输入数据的边界条件,验证系统在极端情况下是否能够稳定运行;异常测试用例则用于验证系统在处理错误输入或异常情况时的反应。本文选择功能测试用例进行系统测试。
在测试执行过程中,记录每个用例的执行结果,并根据实际结果与预期结果的对比,判断系统是否存在缺陷。通过系统化的测试用例执行,可以有效提高测试的覆盖率和效率,为系统的最终上线提供保障。
6.3测试内容
通过对系统中所含的主要实体对象及其功能操作进行测试用例设计。以下是详细的测试:
表6-1用户注册登录测试表
用户注册登录测试用例:
| 用例说明 | 测试目的 | 测试步骤 | 预期结果 | 输出结果 | 通过情况 |
| 用户注册、登录 | 测试用户正确注册、登录 |
| 用户注册成功,登录成功 | 结果输出符合预期 | 通过 |
表6-2校园资讯评论测试表
校园资讯评论测试用例:
| 用例说明 | 测试目的 | 测试步骤 | 预期结果 | 输出结果 | 通过情况 |
| 校园资讯评论 | 测试用户校园资讯评论功能 |
2、点击评论,输入相关信息点击提交 | 生成新的评论信息 | 结果输出符合预期 | 通过 |
表6-3校园资讯添加测试表
管理员校园资讯添加测试用例:
| 用例说明 | 测试目的 | 测试步骤 | 预期结果 | 输出结果 | 通过情况 |
| 校园资讯添加测试 | 测试管理员添加校园资讯功能 |
| 校园资讯添加成功 | 结果输出符合预期 | 通过 |
表6-4校园通知删除测试表
校园通知删除测试用例:
| 用例说明 | 测试目的 | 测试步骤 | 预期结果 | 输出结果 | 通过情况 |
| 校园通知删除测试 | 测试校园通知删除功能 |
| 校园通知删除成功,前端不在展示该校园通知 | 结果输出符合预期 | 通过 |
6.4测试结论
经过上述测试,并对测试数据结果综合分析。大学校园论坛具备简便,数据透明等特性。完全符合大学校园论坛的要求。
结 论
本课题的设计与实现基于Spring Boot框架的大学校园论坛系统,成功构建了一个高效、便捷的校园服务平台。系统结合了Java技术和MySQL数据库,采用前后端分离的架构,满足了版主用户、普通用户和管理员三类用户的需求,并为每个用户角色提供了定制化的功能和权限管理。通过系统的实施,普通用户能够快速访问校园公告、校园论坛、校园资讯等信息,方便参与校园生活;版主用户能够高效管理大学校园论坛、提升论坛凝聚力;管理员则能够全面掌控平台内容,确保信息的及时更新与管理效率的提升。
大学校园论坛系统在提升大学校园服务管理效率、优化用户体验方面发挥了积极作用。它不仅有效整合了大学校园内的各类信息,还促进了大学校园社交和学术交流的开展,为大学校园内的信息流动提供了技术支持。同时,系统的设计与实现也为高校信息化建设提供了有益的借鉴。随着技术的不断发展,未来可以进一步拓展系统功能,如增强用户互动性、提供更精细化的个性化服务等,进一步提升平台的整体服务能力。
综上所述,本课题不仅实现了一个功能完整的大学校园论坛系统,还为高校信息管理与服务体系的智能化升级提供了宝贵的经验。
参考文献
- 冯志林.Java EE程序设计与开发实践教程[M].机械工业出版社:202105.353.
- 尹应荆.JAVA编程语言在计算机软件开发中的应用[J].石河子科技,2023,(05):45-47.
- 刘江涛,王亮亮,吴庆茹,等.基于B/S模式的铁路勘测设计案例信息化管理系统设计与实现[J].铁路计算机应用,2021,30(03):32-35.
- 王志亮,纪松波.基于SpringBoot的Web前端与数据库的接口设计[J].工业控制计算机,2023,36(03):51-53.
- 熊永平.基于SpringBoot框架应用开发技术的分析与研究[J].电脑知识与技术,2021,15(36):76-77.
- 赵媛.基于Vue的Web系统前端性能优化分析[J].电脑编程技巧与维护,2024,(09):44-46.
- 秦冬.浅析Vue框架在前端开发中的应用[J].信息与电脑(理论版),2024,36(13):61-63.
- 李艳杰.MySQL数据库下存储过程的综合运用研究[J].现代信息科技,2023,7(11):80-82+88.
- 陈倩怡,何军.Vue+Springboot+MyBatis技术应用解析[J].电脑编程技巧与维护,2020,(01):14-15+28.
- 马艳艳,吴晓光.计算机软件与数据库的设计策略分析[J].电子技术,2024,53(05):104-105.
- [1]Xie R ,Liu Q ,Lin G , et al.An integrated hybrid dual-frequency wireless charging system with anti-offset performance via phase-shift control for consumer electronics[J].Journal of Physics: Conference Series,2024,2903(1):012015-012015.
- 张轶,洪正国,龚彦华.超算中心用户及计费管理系统的实现与运行[J].科技与创新,2024,(19):21-24+28.DOI:10.15913/j.cnki.kjycx.2024.19.006.
- Ritu G ,Abhilasha S .A charge system search based watermarking technique for gray-scale images using DWT–SVD[J].Multimedia Tools and Applications,2023,83(18):53743-53757.
- Paramitha P A ,Rochim F A ,Fauzi A .Design and Implementation Network Administrators Account Management System Based on Authentication, Authorization, and Accounting Based on TACACS and LDAP[J].IOP Conference Series Materials Science and Engineering,2020,803(1):012040.
- 朱悦瑶,胡曦明,赵晶晶.面向智慧校园的校园公交掌上综合服务系统设计与开发[J].现代计算机,2024,30(22):212-216.
- 范敬義,范俊杰,蔡月亮,薛翔尹,吴奕茜,华泽.校园综合服务平台设计与实现[J].现代计算机,2023,29(23):101-105.
- 谭淑娟.面向大学校园的综合能源服务实践与探究[D]. 齐鲁工业大学, 2023.
- 倪建东.综合实践活动中社会服务的序列化构建——以“校园志愿者”活动课程为例[J].教学月刊小学版(综合),2023,(03):4-6.
- 马振南,李娜,沈烈.基于专属“钉钉”高职院校数字化综合服务平台研究与实践[J].浙江交通职业技术学院学报,2022,23(04):83-88.
- 乔赟鸽凌.智慧校园建设背景下高校学籍档案综合管理服务平台设计[J].信息与电脑(理论版),2022,34(15):115-118.
致 谢
本论文的完成离不开众多导师、同学以及亲友的支持与帮助。在此,首先向我的导师表示最诚挚的感谢。在整个研究和写作过程中,导师以严谨治学的态度和丰富的专业知识给予了我无私的指导,从论文选题到最终定稿的每一个环节,都为我提供了宝贵的建议与意见,使我得以不断完善研究内容、拓展学术视野。导师耐心细致的指导不仅帮助我解决了许多学术难题,也让我在研究能力与学术写作方面得到了显著的提升。导师的鼓励与支持是我完成这篇论文的重要动力,也让我深刻体会到学术研究的严谨性与意义。
我还要感谢在学习生活中给予我帮助和支持的同学、朋友以及家人。论文撰写过程中,许多同学与我共同探讨问题,分享经验与资料,使我的研究更加全面深入。朋友们的关心和陪伴让我在繁忙的研究过程中能够调节心情,保持良好的状态。特别感谢我的家人,他们始终给予我无条件的理解和支持,为我创造了安心学习与研究的环境。正是因为有了大家的帮助和支持,我才能克服论文写作中的重重困难并顺利完成。再次向所有支持和帮助过我的人表达衷心的感谢。
附录
系统核心代码设计
用户注册
注册页UserController.java,传入user对象,并将"user_id"、 "state"、 "user_group"、"login_time"、"phone"、"phone_state"、 "username"、"nickname"、"password"、"email"、"email_state"、"avatar"、"create_time"输入,重点是 "username"、"nickname"、"password"必须输入,通过获取username,数据库查询是否有该用户,如果存在,则提示“用户已存在”,否则执行将UserId置为空(数据库表中该字段已设置自动递增),代码如图所示。

注册核心代码图
用户登录
登录页,首先传入"username"、"email"、"phone"、"password",用户可通过用户名、邮箱、手机号进行登陆,通过判断resultList来确定查询结果,然后执行查询用户组UserGroup,用户组里面不存在,依然报“用户不存在”,执行完以上代码,最后涉及到用户带有“审核”的,会查询examine_state(用户的审核状态),数据库表user_group中含有source_table和source_field进行查询,以上步骤完成,对输入的密码进行存储Token到数据库,匹对账号和密码,数据库中的AccessToken为令牌,用于身份认证,代码如图所示。

用户登录核心代码图
修改密码
修改密码,通过请求data,获取旧密码,并将新密码重新赋值,期间都是需要通过加密,代码如图所示。

修改密码核心代码图
修改数据
修改一个数据,原理与add基本一致,不同点在于通过readConfig()读取关键字,以及通过readQuery()获取URL后面?指定位置的标识,转成Map对象后,执行update操作,同样通过拼接的sql语句执行,执行过程读取query,toWhereSql()语句完成数据库操作,body为修改对象的值,代码如图所示。

修改数据核心代码图
删除数据
删除一条数据,通过readQuery(),获取URL后面的对象地址,删除FROM具体的table,query删除查询FindConfig语句,代码如图示。

删除数据核心代码图
获取列表
通过请求的参数获取列表数据,代码如图所示。

获取列表核心代码图
图片上传
通过请求的参数获取列表数据,代码如图4-13所示。

图片上传核心代码图
请关注点赞+私信博主,免费领取项目源码
2134

被折叠的 条评论
为什么被折叠?



