摘 要
随着信息技术的快速发展,传统的高校学科竞赛管理模式逐渐暴露出许多管理效率低下、操作繁琐的问题。为提高管理效率并优化学科竞赛的组织与参与过程,本文设计并实现了一个基于Web的高校学科竞赛管理系统。该系统采用Django框架进行开发,充分利用其高效、简洁和安全性特点,为高校学科竞赛的管理提供了一个高效、可扩展的解决方案。
系统主要由管理员、教师用户、学生用户和评审用户四个角色组成。管理员负责系统的整体管理,包括竞赛信息、竞赛类型、报名信息和评审信息的维护。教师用户能够管理竞赛内容、查看报名情况并参与评审工作。学生用户通过系统查询竞赛信息,完成报名操作,并查看评审结果。评审用户则主要负责对参赛作品进行评分和评价。系统采用了模块化设计,使得每个角色的功能独立而又紧密联系,确保了各类信息的有序流转与高效处理。
系统支持用户权限管理、数据的实时更新和竞赛信息的动态管理,能够应对高校学科竞赛管理中常见的各类需求变化。通过该系统,教师和学生可以更加方便地参与竞赛管理,系统的后台管理界面也为管理员提供了直观的操作平台,从而大大提高了竞赛管理的工作效率。
关键词:Web应用;Django框架;高校学科竞赛;管理系统;用户角色
Abstract
With the rapid development of information technology, the traditional management mode of subject competitions in universities has gradually exposed many problems of low management efficiency and cumbersome operation. To improve management efficiency and optimize the organization and participation process of subject competitions, this article designs and implements a web-based university subject competition management system. The system is developed using the Django framework, fully utilizing its efficient, concise, and secure features, providing an efficient and scalable solution for the management of academic competitions in universities.
The system mainly consists of four roles: administrator, teacher user, student user, and reviewer user. The administrator is responsible for the overall management of the system, including the maintenance of competition information, competition types, registration information, and evaluation information. Teacher users can manage competition content, view registration status, and participate in evaluation work. Student users can query competition information through the system, complete the registration process, and view the evaluation results. The reviewing users are mainly responsible for grading and evaluating the entries. The system adopts a modular design, which makes the functions of each role independent and closely related, ensuring the orderly flow and efficient processing of various types of information.
The system supports user permission management, real-time data updates, and dynamic management of competition information, and can respond to various changes in common needs in university subject competition management. Through this system, teachers and students can participate in competition management more conveniently, and the backend management interface of the system also provides an intuitive operating platform for administrators, greatly improving the efficiency of competition management.
Keywords:Web applications; Django framework; University subject competitions; Management system; ROLE
目 录
1绪论
1.1 研究背景和意义
随着高校教学改革的深入推进,学科竞赛在培养学生创新能力、实践能力和团队协作精神方面发挥着重要作用。学科竞赛不仅能促进学科知识的深度掌握,还能激发学生的创新思维,提升其综合素质。然而,当前高校学科竞赛的管理仍面临许多挑战,包括信息管理的分散、工作流程繁琐、竞赛数据处理不规范等问题。这些问题导致竞赛组织者在处理报名、评审、信息发布等工作时,效率低下且容易发生错误。
在传统的管理模式下,竞赛的组织和管理通常依赖于手动记录和纸质文档,信息传递速度慢,难以实现实时更新和信息共享。此外,随着学科竞赛规模的逐步扩大,传统的管理方式难以适应日益复杂的需求。特别是竞赛项目的类型日益增多,参与人员层次复杂,手动管理的方式往往无法满足日常管理的高效性和便捷性。
因此,开发一个高效、稳定的学科竞赛管理系统已成为亟待解决的课题。通过信息化手段优化竞赛的管理流程,不仅能够提高管理效率,还能减少人为操作失误,确保竞赛活动的顺利进行。同时,数字化管理为竞赛的各类信息提供了实时更新和快速处理的能力,使得参与者可以随时了解竞赛动态,确保信息的透明和公平性。
高校学科竞赛管理系统的研究和开发,不仅能为高校竞赛管理提供理论支持和实践经验,还能为各类学科竞赛的顺利开展提供技术保障。这种系统化、信息化的管理模式具有重要的实践意义,对提升高校学科竞赛的管理水平具有积极的推动作用。
1.2 国内外研究现状
高校学科竞赛管理系统的研究在国内外已有一定的进展。国外一些发达国家的高校在学科竞赛的管理和信息化方面较早进行了尝试,并取得了较好的效果。例如,美国、欧洲等地区的一些大学和教育机构已经采用了基于Web的竞赛管理平台,通过系统化的管理提高了竞赛的组织效率,减少了人工干预的环节,优化了竞赛数据的处理过程。这些系统通常集成了报名管理、评审信息处理、成绩发布和结果分析等功能,能够有效地支持大规模竞赛的组织和实施。
国外相关研究主要集中在如何通过信息化手段提升竞赛管理的自动化和智能化水平,尤其是在竞赛过程中的实时信息更新与反馈机制、成绩评定的公平性和透明性方面进行了大量探讨。例如,欧洲一些学术机构针对竞赛评审环节的公正性进行了深入研究,提出了基于在线平台的竞赛评分与评审机制,以确保评审的公平性和匿名性。欧美地区的高校还通过引入数据分析和云计算技术,实现了跨地域的竞赛管理,极大地扩展了竞赛的参与范围。
在国内,随着高校对学科竞赛的重视程度不断提升,学科竞赛管理系统的研究和开发逐渐得到关注。许多高校已开始探索并实施信息化管理模式,以提升竞赛的组织效率和参赛体验。国内的研究主要集中在如何结合高校的具体需求,开发适合本校的学科竞赛管理平台。国内一些研究探讨了基于Web的管理系统架构和功能设计,结合实际应用案例,提出了针对不同用户角色(如管理员、教师、学生、评审)的定制化功能模块。此外,也有部分研究关注如何通过系统化的管理优化竞赛流程,提高竞赛活动的公平性和透明度。
尽管国内外在学科竞赛管理系统方面已取得了一定的研究成果,但仍有不少问题亟待解决。例如,如何进一步提高系统的稳定性和数据处理能力,如何确保不同类型竞赛的管理需求得到有效满足,如何在系统中引入更多智能化功能以提升管理效率等,这些仍是未来研究的重要方向。
1.3 论文组成结构
第一章是绪论,本文章的开头部分,对本题目的研究背景和意义及研究现状等一些做文字性的描述。
第二章研究了高校学科竞赛管理系统的所采用的开发技术。
第三章是系统分析部分,包括可行性分析、功能需求分析、系统操作流程分析。
第四章是系统设计部分,本文章的重要部分,提供了系统架构的详细设计和一些主要功能模块的设计说明。
第五章是系统的具体实现,介绍系统的各个模块的具体实现。
第六章在前几章的基础上对系统进行测试和运行。
最后对系统进行了认真的总结,以此对未来有一个新的展望。
2相关技术介绍
2.1 B/S体系结构
B/S体系[1],即Browser/Server体系,是一种常见的网络应用程序架构。其工作原理基于客户端与服务器之间的请求-响应模型。用户通过浏览器向服务器发送请求,服务器接收到请求后进行处理,并生成相应的响应结果,最终将响应返回给客户端。浏览器接收到服务器返回的响应后,解析其中的标记语言(如HTML[2]),并根据CSS样式表和PythonScript脚本来渲染页面,呈现给用户。用户可以与页面进行交互,例如点击链接、填写表单等操作,这些操作会触发新的请求,循环执行上述过程。
2.2 Django框架
Django是一个使用Python语言开发的Web应用程序框架[3]。它提供了一种简单而强大的方式来构建复杂的网站和应用程序。通过使用Django,开发人员可以更轻松地处理数据库、创建用户界面和处理用户请求。它还提供了一个自动生成管理界面的功能,使得管理后台数据变得更加简单。Django还具有强大的安全功能,可以保护网站免受常见的网络攻击[4]。总之,Django是一个非常实用和易于学习的框架,适用于各种规模的Web项目。无论你是初学者还是经验丰富的开发人员,都可以从Django的便利性和灵活性中受益。
2.3 MySQL数据库
MySQL是一种广泛使用的开源关系型数据库管理系统[5](RDBMS),其稳定性、可靠性和卓越性能使其成为众多应用程序的首选数据库。MySQL支持标准SQL语法,并提供丰富的功能和特性,如事务处理、触发器和存储过程等,以满足开发者对数据管理和操作的需求。MySQL具有良好的可扩展性,支持主从复制、分布式架构和集群部署,适用于各种规模和负载的应用场景。作为一个开源项目,MySQL拥有庞大的用户社区和活跃的开发者社区,为用户提供了丰富的文档、教程和支持资源。总之,MySQL是一款可靠、强大且灵活的关系型数据库管理系统[6],通过其卓越性能和可扩展性,帮助开发者高效地管理和操作数据,并得到了广大用户的认可和应用。
2.4 Python语言
Python是一种简洁易读、跨平台且功能强大的编程语言[7]。它拥有庞大而活跃的社区,提供了丰富的第三方库和框架,如NumPy、Pandas和Django,使开发人员能够快速构建各种应用程序。Python在数据处理和科学计算方面表现出色,通过相关库和工具,可以进行数据分析、机器学习和科学计算等任务。此外,Python广泛应用于Web开发[8]、自动化脚本、网络爬虫等领域,其多样性使其成为一个全能的编程语言。无论你是初学者还是有经验的开发者,Python的简单语法、跨平台性以及强大的社区支持都能为你提供高效、优雅和可靠的编程体验。总之,Python是一个强大而灵活的编程语言,深受开发人员喜爱,并在各个领域得到广泛应用。
3系统分析
3.1 可行性分析
在软件开发的过程中,可行性分析是至关重要的,它旨在评估问题的可行性,以便尽可能快地解决,同时也要考虑到不同的解决方案的优势和劣势,以及实施这些方案所带来的经济效益。通过对高校学科竞赛管理系统的可行性分析,可以从技术、操作和经济三个方面来评估其可行性,从而为其提供有效的支持和保障。
3.1.1 技术可行性
在技术可行性方面,选择使用Python作为开发语言,结合相应的框架Django,以实现系统的功能需求。Python作为一种简洁而强大的编程语言,具有丰富的库支持和成熟的开发社区,可以满足系统的开发需求。Django作为Python的Web框架,提供了高度可扩展的开发环境,使得系统的设计和实现更加便捷和高效。
3.1.2 经济可行性
开发本系统的技术都是可以从网上直接免费下载,不用花一分钱,而且系统的源代码都是自己进行设计开发的,不需要额外的成本,如果后期想要进行运营,只要把配置到服务器上,花费服务器的租赁费用,在使用中可以进行增加广告收益,因此在经济方面是可行的。
3.1.3 操作可行性
在操作可行性方面,本系统设计注重用户体验,采用了直观易用的界面设计,并提供详细的帮助文档支持,确保用户可以轻松上手使用各项功能。无论是用户还是管理员,都能通过简洁明了的操作流程完成信息查询和管理等任务。因此,从用户操作的角度来看,本系统具备良好的操作可行性。
3.2 功能需求分析
功能需求分析是高校学科竞赛管理系统设计和开发的关键步骤,它旨在明确系统的功能和性能要求。以下是对高校学科竞赛管理系统的功能需求分析:
一、学生用户功能需求分析:
学生用户可以在后台首页查看所有竞赛信息,了解不同类型的竞赛活动以及相应的报名要求。学生可以通过系统进行竞赛报名,并查看报名的详细信息。学生还可以查看自己参加的竞赛评审结果,以便了解竞赛进程和成绩。
二、教师用户功能需求分析:
教师用户在后台首页可以查看竞赛信息、管理不同类型的竞赛,并查看报名信息。教师可以对竞赛信息进行修改、更新,并且能够管理竞赛的具体内容。教师还可查看报名信息和评审信息,但其权限通常不涉及系统用户管理。教师用户的主要职责是在竞赛过程中提供支持和指导,并参与评审工作。
三、管理员功能需求分析:
管理员在后台首页可以进行系统管理,查看和操作所有用户信息和竞赛信息。管理员负责管理竞赛的各个类别、竞赛活动的具体内容以及竞赛的报名信息。系统内的所有竞赛类型、报名信息和评审信息都能由管理员进行创建、修改或删除。此外,管理员还可以对用户进行管理,配置权限并维护系统的安全性。
四、评审用户功能需求分析:
评审用户在后台首页可以查看报名信息和竞赛评审相关内容。评审用户的职责主要是对学生的竞赛作品或成绩进行评审,给出评价和打分。他们可以查看报名信息,审核报名材料,并根据竞赛要求对参赛作品进行评分和评价。
根据以上功能需求,得出以下用例图,学生用户用例图如下所示。

图3-1 学生用户用例图
管理员用例图如下所示。

图3-2 管理员用例图
教师用户用例图如下所示。

图3-3 教师用户用例图
评审用户用例图如下所示。

图3-4评审用户用例图
3.3 系统操作流程分析
3.3.1信息添加流程
用户登录系统后,选择要添加的信息类型,填写相应的信息表单并提交。系统对信息进行处理,并给予用户反馈结果。用户可以根据需要返回上级页面或继续操作。

图3-5信息添加流程图
3.3.2信息删除流程
用户登录系统后,导航至相应的信息管理功能入口。选择要删除的信息,并确认删除操作。系统进行删除处理,并给予用户反馈结果。用户可以根据需要返回上级页面或继续操作。

4系统设计
4.1 系统架构设计
高校学科竞赛管理系统的架构设计包括客户端、服务器端、第三方集成、安全性和权限控制、扩展性和性能优化、高可用性和容错性等方面。客户端通过Web浏览器或移动应用程序访问系统,而服务器端负责接收和处理请求,并提供功能和数据。系统采用分层架构,包括表现层、业务逻辑层、数据访问层和数据库。同时,系统需考虑与其他系统的集成、安全性和权限控制、扩展性和性能优化、高可用性和容错性等方面的问题。这样的架构设计将确保系统的稳定性、可扩展性和安全性,为用户提供稳定、高效的使用体验。系统架构图如下图所示。

图4-1 系统架构图
4.2 系统功能结构
系统功能结构是将一个系统的各种功能以有组织、结构化的方式描述和组织的过程。它涉及系统中不同组成部分之间的相互关系和交互作用,以及它们如何协同实现整体目标。系统功能结构对于确保系统正常运行和高效性至关重要。通常,系统功能结构包括功能模块、数据流、控制流和界面等几个方面。功能模块是实现特定功能的基本单元,通过数据流进行信息交换,并受到控制流的调度和控制。数据流描述了系统中信息的传递和处理过程,可以是模块间的数据传输或输入输出之间的数据传递。系统的功能结构图如下所示。

图4-2 系统功能结构图
4.3 数据库设计
数据库设计是指在构建和组织数据库系统时,根据实际需求和目标,进行数据模型的设计和规划的过程。它涉及到确定数据库中的表、字段、关系以及约束等方面的设计决策。
4.3.1 数据库实体设计
数据库实体设计是数据库设计的关键步骤,对实际业务逻辑中涉及的实体及其属性进行抽象建模,明确系统中的主要信息对象及其关系[9]。在实体设计中,根据需求分析确定系统的核心实体,如用户、角色、权限等,提取实体的主要属性,如用户的ID、姓名、联系方式,名称、类型等,同时定义各实体之间的关系,包括一对一、一对多、多对多等。在设计过程中,注重实体的完整性、规范性和唯一性,确保设计能够满足系统功能需求,并为后续的表设计提供清晰的结构框架。实体设计需遵循数据库设计的标准化要求,避免数据冗余和不必要的复杂度。
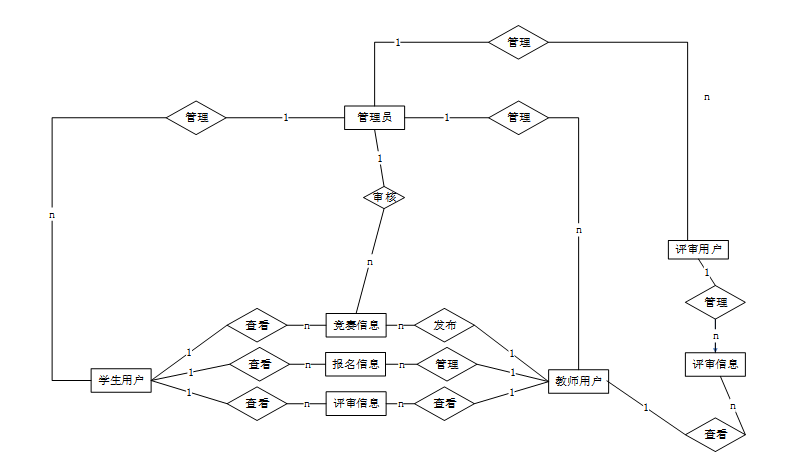
下面是整个系统中主要的数据库表总E-R实体关系图。

图4-3 系统E-R图
4.3.2 数据库表设计
数据库表设计基于实体设计,将抽象的实体映射为具体的表结构。设计过程中,为每个实体定义表名、字段名及数据类型[10]。根据业务需求,合理定义主键、外键及约束条件,确保表之间的关联性,例如通过外键建立用户表和角色表之间的关系。表设计时注重数据存储的完整性、一致性,并通过索引优化查询效率,最终确保数据库结构能够支持系统的功能需求。以下是系统的数据库表设计展示。
| 编号 | 字段名 | 类型 | 长度 | 是否非空 | 是否主键 | 注释 |
| 1 | token_id | int | 是 | 是 | 临时访问牌ID | |
| 2 | token | varchar | 64 | 否 | 否 | 临时访问牌 |
| 3 | info | text | 65535 | 否 | 否 | 信息 |
| 4 | maxage | int | 是 | 否 | 最大寿命:默认2小时 | |
| 5 | create_time | timestamp | 是 | 否 | 创建时间 | |
| 6 | update_time | timestamp | 是 | 否 | 更新时间 | |
| 7 | user_id | int | 是 | 否 | 用户编号 |
表 4-2-auth(用户权限管理)
| 编号 | 字段名 | 类型 | 长度 | 是否非空 | 是否主键 | 注释 |
| 1 | auth_id | int | 是 | 是 | 授权ID | |
| 2 | user_group | varchar | 64 | 否 | 否 | 用户组 |
| 3 | mod_name | varchar | 64 | 否 | 否 | 模块名 |
| 4 | table_name | varchar | 64 | 否 | 否 | 表名 |
| 5 | page_title | varchar | 255 | 否 | 否 | 页面标题 |
| 6 | path | varchar | 255 | 否 | 否 | 路由路径 |
| 7 | parent | varchar | 64 | 否 | 否 | 父级菜单 |
| 8 | parent_sort | int | 是 | 否 | 父级菜单排序 | |
| 9 | position | varchar | 32 | 否 | 否 | 位置 |
| 10 | mode | varchar | 32 | 是 | 否 | 跳转方式 |
| 11 | add | tinyint | 是 | 否 | 是否可增加 | |
| 12 | del | tinyint | 是 | 否 | 是否可删除 | |
| 13 | set | tinyint | 是 | 否 | 是否可修改 | |
| 14 | get | tinyint | 是 | 否 | 是否可查看 | |
| 15 | field_add | text | 65535 | 否 | 否 | 添加字段 |
| 16 | field_set | text | 65535 | 否 | 否 | 修改字段 |
| 17 | field_get | text | 65535 | 否 | 否 | 查询字段 |
| 18 | table_nav_name | varchar | 500 | 否 | 否 | 跨表导航名称 |
| 19 | table_nav | varchar | 500 | 否 | 否 | 跨表导航 |
| 20 | option | text | 65535 | 否 | 否 | 配置 |
| 21 | create_time | timestamp | 是 | 否 | 创建时间 | |
| 22 | update_time | timestamp | 是 | 否 | 更新时间 |
表 4-3-code_token(验证码)
| 编号 | 字段名 | 类型 | 长度 | 是否非空 | 是否主键 | 注释 |
| 1 | code_token_id | int | 是 | 是 | 验证码ID | |
| 2 | token | varchar | 255 | 否 | 否 | 令牌 |
| 3 | code | varchar | 255 | 否 | 否 | 验证码 |
| 4 | expire_time | timestamp | 是 | 否 | 失效时间 | |
| 5 | create_time | timestamp | 是 | 否 | 创建时间 | |
| 6 | update_time | timestamp | 是 | 否 | 更新时间 |
表 4-4-competition_type(竞赛类型)
| 编号 | 字段名 | 类型 | 长度 | 是否非空 | 是否主键 | 注释 |
| 1 | competition_type_id | int | 是 | 是 | 竞赛类型ID | |
| 2 | competition_type | varchar | 64 | 否 | 否 | 竞赛类型 |
| 3 | create_time | datetime | 是 | 否 | 创建时间 | |
| 4 | update_time | timestamp | 是 | 否 | 更新时间 |
表 4-5-contest_information(竞赛信息)
| 编号 | 字段名 | 类型 | 长度 | 是否非空 | 是否主键 | 注释 |
| 1 | contest_information_id | int | 是 | 是 | 竞赛信息ID | |
| 2 | contest_name | varchar | 64 | 否 | 否 | 竞赛名称 |
| 3 | competition_no | varchar | 64 | 否 | 否 | 竞赛编号 |
| 4 | competition_type | varchar | 64 | 否 | 否 | 竞赛类型 |
| 5 | event_status | varchar | 64 | 否 | 否 | 赛事状态 |
| 6 | start_time | datetime | 否 | 否 | 开始时间 | |
| 7 | end_time | datetime | 否 | 否 | 结束时间 | |
| 8 | rule_document | varchar | 255 | 否 | 否 | 规则文档 |
| 9 | competition_introduction | text | 65535 | 否 | 否 | 竞赛介绍 |
| 10 | enrollment_information_limit_times | int | 是 | 否 | 报名参加限制次数 | |
| 11 | create_time | datetime | 是 | 否 | 创建时间 | |
| 12 | update_time | timestamp | 是 | 否 | 更新时间 |
表 4-6-enrollment_information(报名信息)
| 编号 | 字段名 | 类型 | 长度 | 是否非空 | 是否主键 | 注释 |
| 1 | enrollment_information_id | int | 是 | 是 | 报名信息ID | |
| 2 | student_users | int | 否 | 否 | 学生用户 | |
| 3 | student_name | varchar | 64 | 否 | 否 | 学生姓名 |
| 4 | student_phone_number | varchar | 64 | 否 | 否 | 学生电话 |
| 5 | contest_name | varchar | 64 | 否 | 否 | 竞赛名称 |
| 6 | competition_no | varchar | 64 | 否 | 否 | 竞赛编号 |
| 7 | works_no | varchar | 64 | 否 | 否 | 作品编号 |
| 8 | work_file | varchar | 255 | 否 | 否 | 作品文件 |
| 9 | registration_time | datetime | 否 | 否 | 报名时间 | |
| 10 | registration_remarks | text | 65535 | 否 | 否 | 报名备注 |
| 11 | examine_state | varchar | 16 | 是 | 否 | 审核状态 |
| 12 | examine_reply | varchar | 16 | 否 | 否 | 审核回复 |
| 13 | review_information_limit_times | int | 是 | 否 | 作品评审限制次数 | |
| 14 | create_time | datetime | 是 | 否 | 创建时间 | |
| 15 | update_time | timestamp | 是 | 否 | 更新时间 | |
| 16 | source_table | varchar | 255 | 否 | 否 | 来源表 |
| 17 | source_id | int | 否 | 否 | 来源ID | |
| 18 | source_user_id | int | 否 | 否 | 来源用户 |
表 4-7-hits(用户点击)
| 编号 | 字段名 | 类型 | 长度 | 是否非空 | 是否主键 | 注释 |
| 1 | hits_id | int | 是 | 是 | 点赞ID | |
| 2 | user_id | int | 是 | 否 | 点赞人 | |
| 3 | create_time | timestamp | 是 | 否 | 创建时间 | |
| 4 | update_time | timestamp | 是 | 否 | 更新时间 | |
| 5 | source_table | varchar | 255 | 否 | 否 | 来源表 |
| 6 | source_field | varchar | 255 | 否 | 否 | 来源字段 |
| 7 | source_id | int | 是 | 否 | 来源ID |
表 4-8-review_information(评审信息)
| 编号 | 字段名 | 类型 | 长度 | 是否非空 | 是否主键 | 注释 |
| 1 | review_information_id | int | 是 | 是 | 评审信息ID | |
| 2 | review_account_number | int | 否 | 否 | 评审账号 | |
| 3 | reviewer_name | varchar | 64 | 否 | 否 | 评审姓名 |
| 4 | review_phone_number | varchar | 64 | 否 | 否 | 评审电话 |
| 5 | contest_name | varchar | 64 | 否 | 否 | 竞赛名称 |
| 6 | competition_no | varchar | 64 | 否 | 否 | 竞赛编号 |
| 7 | works_no | varchar | 64 | 否 | 否 | 作品编号 |
| 8 | innovation | varchar | 64 | 否 | 否 | 创新性 |
| 9 | technical_difficulty | varchar | 64 | 否 | 否 | 技术难度 |
| 10 | degree_of_completion | varchar | 64 | 否 | 否 | 完成程度 |
| 11 | show_effect | varchar | 64 | 否 | 否 | 展示效果 |
| 12 | application_value | varchar | 64 | 否 | 否 | 应用价值 |
| 13 | total_rating | varchar | 64 | 否 | 否 | 总计评分 |
| 14 | e_cert | varchar | 255 | 否 | 否 | 电子证书 |
| 15 | review_time | datetime | 否 | 否 | 评审时间 | |
| 16 | review_comments | text | 65535 | 否 | 否 | 评审评语 |
| 17 | create_time | datetime | 是 | 否 | 创建时间 | |
| 18 | update_time | timestamp | 是 | 否 | 更新时间 | |
| 19 | source_table | varchar | 255 | 否 | 否 | 来源表 |
| 20 | source_id | int | 否 | 否 | 来源ID | |
| 21 | source_user_id | int | 否 | 否 | 来源用户 |
表 4-9-review_user(评审用户)
| 编号 | 字段名 | 类型 | 长度 | 是否非空 | 是否主键 | 注释 |
| 1 | review_user_id | int | 是 | 是 | 评审用户ID | |
| 2 | reviewer_name | varchar | 64 | 否 | 否 | 评审姓名 |
| 3 | review_phone_number | varchar | 64 | 否 | 否 | 评审电话 |
| 4 | gender_review | varchar | 64 | 否 | 否 | 评审性别 |
| 5 | examine_state | varchar | 16 | 是 | 否 | 审核状态 |
| 6 | user_id | int | 是 | 否 | 用户ID | |
| 7 | create_time | datetime | 是 | 否 | 创建时间 | |
| 8 | update_time | timestamp | 是 | 否 | 更新时间 |
表 4-10-schedule(日程管理)
| 编号 | 字段名 | 类型 | 长度 | 是否非空 | 是否主键 | 注释 |
| 1 | schedule_id | smallint | 是 | 是 | 日程ID | |
| 2 | content | varchar | 255 | 否 | 否 | 日程内容 |
| 3 | scheduled_time | datetime | 否 | 否 | 计划时间 | |
| 4 | user_id | int | 是 | 否 | 用户ID | |
| 5 | create_time | datetime | 否 | 否 | 创建时间 | |
| 6 | update_time | datetime | 否 | 否 | 更新时间 |
表 4-11-score(评分)
| 编号 | 字段名 | 类型 | 长度 | 是否非空 | 是否主键 | 注释 |
| 1 | score_id | int | 是 | 是 | 评分ID | |
| 2 | user_id | int | 是 | 否 | 评分人 | |
| 3 | nickname | varchar | 64 | 否 | 否 | 昵称 |
| 4 | score_num | double | 是 | 否 | 评分 | |
| 5 | create_time | timestamp | 是 | 否 | 创建时间 | |
| 6 | update_time | timestamp | 是 | 否 | 更新时间 | |
| 7 | source_table | varchar | 255 | 否 | 否 | 来源表 |
| 8 | source_field | varchar | 255 | 否 | 否 | 来源字段 |
| 9 | source_id | int | 是 | 否 | 来源ID |
表 4-12-student_users(学生用户)
| 编号 | 字段名 | 类型 | 长度 | 是否非空 | 是否主键 | 注释 |
| 1 | student_users_id | int | 是 | 是 | 学生用户ID | |
| 2 | student_name | varchar | 64 | 否 | 否 | 学生姓名 |
| 3 | student_phone_number | varchar | 64 | 否 | 否 | 学生电话 |
| 4 | student_gender | varchar | 64 | 否 | 否 | 学生性别 |
| 5 | examine_state | varchar | 16 | 是 | 否 | 审核状态 |
| 6 | user_id | int | 是 | 否 | 用户ID | |
| 7 | create_time | datetime | 是 | 否 | 创建时间 | |
| 8 | update_time | timestamp | 是 | 否 | 更新时间 |
表 4-13-teacher_user(教师用户)
| 编号 | 字段名 | 类型 | 长度 | 是否非空 | 是否主键 | 注释 |
| 1 | teacher_user_id | int | 是 | 是 | 教师用户ID | |
| 2 | teachers_name | varchar | 64 | 否 | 否 | 教师姓名 |
| 3 | teachers_phone_number | varchar | 64 | 否 | 否 | 教师电话 |
| 4 | teacher_gender | varchar | 64 | 否 | 否 | 教师性别 |
| 5 | examine_state | varchar | 16 | 是 | 否 | 审核状态 |
| 6 | user_id | int | 是 | 否 | 用户ID | |
| 7 | create_time | datetime | 是 | 否 | 创建时间 | |
| 8 | update_time | timestamp | 是 | 否 | 更新时间 |
表 4-14-upload(文件上传)
| 编号 | 字段名 | 类型 | 长度 | 是否非空 | 是否主键 | 注释 |
| 1 | upload_id | int | 是 | 是 | 上传ID | |
| 2 | name | varchar | 64 | 否 | 否 | 文件名 |
| 3 | path | varchar | 255 | 否 | 否 | 访问路径 |
| 4 | file | varchar | 255 | 否 | 否 | 文件路径 |
| 5 | display | varchar | 255 | 否 | 否 | 显示顺序 |
| 6 | father_id | int | 否 | 否 | 父级ID | |
| 7 | dir | varchar | 255 | 否 | 否 | 文件夹 |
| 8 | type | varchar | 32 | 否 | 否 | 文件类型 |
表 4-15-user(用户账户)
| 编号 | 字段名 | 类型 | 长度 | 是否非空 | 是否主键 | 注释 |
| 1 | user_id | int | 是 | 是 | 用户ID | |
| 2 | state | smallint | 是 | 否 | 账户状态:(1可用|2异常|3已冻结|4已注销) | |
| 3 | user_group | varchar | 32 | 否 | 否 | 所在用户组 |
| 4 | login_time | timestamp | 是 | 否 | 上次登录时间 | |
| 5 | phone | varchar | 11 | 否 | 否 | 手机号码 |
| 6 | phone_state | smallint | 是 | 否 | 手机认证:(0未认证|1审核中|2已认证) | |
| 7 | username | varchar | 16 | 是 | 否 | 用户名 |
| 8 | nickname | varchar | 16 | 否 | 否 | 昵称 |
| 9 | password | varchar | 64 | 是 | 否 | 密码 |
| 10 | | varchar | 64 | 否 | 否 | 邮箱 |
| 11 | email_state | smallint | 是 | 否 | 邮箱认证:(0未认证|1审核中|2已认证) | |
| 12 | avatar | varchar | 255 | 否 | 否 | 头像地址 |
| 13 | open_id | varchar | 255 | 否 | 否 | 针对获取用户信息字段 |
| 14 | create_time | timestamp | 是 | 否 | 创建时间 |
表 4-16-user_group(用户组)
| 编号 | 字段名 | 类型 | 长度 | 是否非空 | 是否主键 | 注释 |
| 1 | group_id | mediumint | 是 | 是 | 用户组ID | |
| 2 | display | smallint | 是 | 否 | 显示顺序 | |
| 3 | name | varchar | 16 | 是 | 否 | 名称 |
| 4 | description | varchar | 255 | 否 | 否 | 描述 |
| 5 | source_table | varchar | 255 | 否 | 否 | 来源表 |
| 6 | source_field | varchar | 255 | 否 | 否 | 来源字段 |
| 7 | source_id | int | 是 | 否 | 来源ID | |
| 8 | register | smallint | 否 | 否 | 注册位置 | |
| 9 | create_time | timestamp | 是 | 否 | 创建时间 | |
| 10 | update_time | timestamp | 是 | 否 | 更新时间 |
5关键模块的设计与实现
高校学科竞赛管理系统的详细设计与实现主要是根据前面的高校学科竞赛管理系统的需求分析和高校学科竞赛管理系统的总体设计来设计页面并实现业务逻辑。主要从高校学科竞赛管理系统界面实现、业务逻辑实现这两部分进行介绍。
5.1学生用户功能模块
5.1.1 用户注册界面
注册模块满足用户两部分,当用户想要进行资料相关信息的查询管理的时候,就必须进行登录,如果没有账号的话,在登录界面,点击“注册”按钮就会跳转到注册的界面,根据提示填写好注册信息,添加提交,注册的信息在数据库中就添加完成了,然后再输入填写好的账号和密码进行登录,其注册主界面展示如下图所示。

图5-1用户注册界面图
5.1.2 用户登录界面
用户是可以通过自己的账户名和密码进行登录的,当用户输入完整的自己的账户名和密码信息并点击“登录”按钮后,将会首先验证输入的有没有空数据,再次验证输入的账户名+密码和数据库中当前保存的用户信息是否一致,只有在一致后将会登录成功并自动跳转到系统的首页中;否则将会提示相应错误信息,用户登录界面如下图所示。

图5-2用户登录界面图
登录代码:
def Login(self, ctx):
print("===================登录=====================")
ret = {
"error": {
"code": 70000,
"message": "账户不存在",
}
}
body = ctx.body
password = md5hash(body["password"]) or ""
obj = service_select("user").Get_obj(
{"username": body["username"]}, {"like": False}
)
if obj:
user_group = service_select("user_group").Get_obj({'name': obj['user_group']}, {"like": False})
if user_group and user_group['source_table'] != '':
user_obj = service_select(user_group['source_table']).Get_obj({"user_id": obj['user_id']}, {"like": False})
if user_obj['examine_state'] == '未通过':
ret = {
"error": {
"code": 70000,
"message": "账户未通过审核",
}
}
return ret
if user_obj['examine_state'] == '未审核':
ret = {
"error": {
"code": 70000,
"message": "账户未审核",
}
}
return ret
if obj["state"] == 1:
if obj["password"] == password:
timeout = timezone.now()
timestamp = int(time.mktime(timeout.timetuple())) * 1000
token = md5hash(str(obj["user_id"]) + "_" + str(timestamp))
ctx.request.session[token] = obj["user_id"]
service_select("access_token").Add(
{"token": token, "user_id": obj["user_id"]}
)
obj["token"] = token
ret = {
"result": {"obj": obj}
}
else:
ret = {
"error": {
"code": 70000,
"message": "密码错误",
}
}
else:
ret = {
"error": {
"code": 70000,
"message": "用户账户不可用,请联系管理员",
}
}
return ctx.response(json.dumps(ret, ensure_ascii=False))
5.1.3 竞赛信息管理界面
学生用户点击“竞赛信息管理”这一菜单会显示竞赛信息列表这个子菜单,点击“竞赛信息列表”可以查看竞赛信息详情并报名参加,可以进行查询和重置的操作。竞赛信息管理界面如下图所示。

图5-3竞赛信息管理界面图
5.1.4报名信息管理界面
学生用户点击“报名信息管理”这一菜单会显示报名信息列表这个子菜单,点击“报名信息列表”可以查看报名信息详情,可以进行查询和重置的操作。报名信息管理界面如下图所示。

图5-4报名信息管理界面图
查看报名信息代码如下:
def Get_obj(self, ctx):
query = dict(ctx.query)
config_plus = {}
if "field" in query:
field = query.pop("field")
config_plus["field"] = field
obj = self.service.Get_obj(query, obj_update(self.config, config_plus))
if self.service.error:
return {"error": self.service.error}
if obj:
self.interact_obj(ctx, obj)
return {"result": {"obj": obj}}
5.2管理员功能模块
5.2.1系统用户界面
管理员可以管理系统的用户,包括添加新用户、编辑用户信息、修改用户信息等操作,以确保系统的权限管理和安全性。系统用户界面如下图所示。

图5-5系统用户界面图
5.2.2竞赛信息管理界面
管理员点击“竞赛信息管理”这一菜单会显示竞赛信息列表和竞赛信息添加两个子菜单,点击“竞赛信息列表”可以查看竞赛信息详情和报名参加,可以进行查询、重置、删除等操作。点击“竞赛信息添加”,管理员可以添加新的竞赛信息。竞赛信息管理界面如下图所示。

图5-6竞赛信息管理界面图
添加竞赛信息管理代码如下:
def Add(self, ctx):
body = ctx.body
unique = self.config.get("unique")
obj = None
if unique:
qy = {}
for i in range(len(unique)):
key = unique[i]
qy[key] = body.get(key)
obj = self.service.Get_obj(qy)
if not obj:
error = self.Add_before(ctx)
if error["code"]:
return {"error": error}
error = self.Events("add_before", ctx, None)
if error["code"]:
return {"error": error}
result = self.service.Add(body, self.config)
if self.service.error:
return {"error": self.service.error}
res = self.Add_after(ctx, result)
if res:
result = res
res = self.Events("add_after", ctx, result)
if res:
result = res
return {"result": result}
else:
return {"error": {"code": 10000, "message": "已存在"}}
5.2.3竞赛类型管理界面
管理员点击“竞赛类型管理”这一菜单会显示竞赛类型列表和竞赛类型添加两个子菜单,点击“竞赛类型列表”可以查看竞赛类型详情,可以进行查询、重置、删除等操作。点击“竞赛类型添加”,管理员可以添加新的竞赛类型。竞赛类型管理界面如下图所示。

图5-7竞赛类型管理界面图
5.2.4报名信息管理界面
管理员点击“报名信息管理”这一菜单会显示报名信息列表这个子菜单,点击“报名信息列表”可以查看报名信息详情,可以进行查询、重置、删除、作品评审和审核的操作。报名信息管理界面如下图所示。

图5-8报名信息管理界面图
删除报名信息代码如下:
def Del(self, ctx):
if len(ctx.query) == 0:
errorMsg = {"code": 30000, "message": "删除条件不能为空!"}
return errorMsg
result = self.service.Del(ctx.query, self.config)
if self.service.error:
return {"error": self.service.error}
return {"result": result}
5.3教师用户功能模块
5.3.1竞赛信息管理界面
教师用户点击“竞赛信息管理”这一菜单会显示竞赛信息列表和竞赛信息添加两个子菜单,点击“竞赛信息列表”可以查看竞赛信息详情,可以进行查询、重置、删除等操作。点击“竞赛信息添加”,教师用户可以添加新的竞赛信息。竞赛信息管理界面如下图所示。

图5-9竞赛信息管理界面图
5.3.2竞赛类型管理界面
教师用户点击“竞赛类型管理”这一菜单会显示竞赛类型列表和竞赛类型添加两个子菜单,点击“竞赛类型列表”可以查看竞赛类型详情,可以进行查询、重置、删除等操作。点击“竞赛类型添加”,教师用户可以添加新的竞赛类型。竞赛类型管理界面如下图所示。

图5-10竞赛类型管理界面图
5.4评审用户功能模块
5.4.1报名信息管理界面
评审用户点击“报名信息管理”这一菜单会显示报名信息列表这个子菜单,点击“报名信息列表”可以查看报名信息详情,可以进行查询、重置和作品评审的操作。报名信息管理界面如下图所示。

图5-11报名信息管理界面图
5.4.2评审信息管理界面
评审用户点击“评审信息管理”这一菜单会显示评审信息列表这个子菜单,点击“评审信息列表”可以查看评审信息详情,可以进行查询、重置的操作。评审信息管理界面如下图所示。

图5-12评审信息管理界面图
6 系统测试
高校学科竞赛管理系统测试是为了检验软件是否达到设计要求,是否存在错误,通过测试的方法来检查高校学科竞赛管理系统,以便发现高校学科竞赛管理系统中的错误。测试工作是保证高校学科竞赛管理系统质量的关键。
6.1系统测试
用户查看竞赛信息功能测试:
表6-1用户查看竞赛信息功能测试用例表
| 测试名称 | 测试功能 | 操作 | 操作过程 | 预期结果 | 测试结果 |
| 用户查看竞赛信息功能模块测试 | 用户查看竞赛信息功能成功 | 点击“竞赛信息” | 点击某一条“竞赛信息”,查看竞赛信息详情。 | 成功查看竞赛信息。 | 正确 |
用户查看评审信息功能测试:
表6-2用户查看评审信息功能测试用例表
| 测试名称 | 测试功能 | 操作 | 操作过程 | 预期结果 | 测试结果 |
| 用户查看评审信息功能模块测试 | 用户查看评审信息功能成功 | 点击“评审信息” | 点击某一条“评审信息”信息,查看评审信息详情。 | 成功查看评审信息。 | 正确 |
管理员发布竞赛信息功能测试:
表6-3管理员发布竞赛信息功能测试用例表
| 测试名称 | 测试功能 | 操作 | 操作过程 | 预期结果 | 测试结果 |
| 管理员发布竞赛信息功能测试 | 添加竞赛信息的情况 | 输入新竞赛信息的基本信息 | 后台选择“竞赛信息管理”菜单后,填写新竞赛信息后点击“提交”按钮 | 新竞赛信息发布成功 | 正确 |
6.2测试结果
通过编写了高校学科竞赛管理系统的测试用例,已经检测完毕了6章节中的3大模块,它为高校学科竞赛管理系统的后期推广运营提供了强力的技术支撑。
结 论
在开发高校学科竞赛管理系统之前,我们进行了详尽的需求调研和技术研究。通过网上查询和线下问卷调查,我们深入了解了用户对高校学科竞赛管理系统的具体需求,并研究了现有的高校学科竞赛管理系统功能及其开发背景。同时,对高校学科竞赛管理系统的研究现状进行了梳理,为系统设计提供了理论支持。在明确了系统功能后,我们精心选择了开发工具:采用流行的Python语言和Django框架进行开发,并利用开源的MySQL数据库进行数据存储。接着,我们对系统进行了需求分析,包括可行性、性能、功能和用例等方面的分析,以确保系统的实用性和稳定性。在完成系统设计和数据库设计后,我们开始了系统的开发工作,并最终完成了系统的测试和总结。
在开发过程中,我收获颇丰,不仅学习到了许多书本上没有的知识,还提升了自己的实践能力和解决问题的能力。虽然目前系统已经初步完成,但仍有待进一步改进和完善,例如界面布局的优化和代码编写的提升等。由于我的专业知识有限,系统可能存在一些不足和缺陷,我将继续努力学习和改进,以期将系统做得更加完美。我希望能有机会将系统投入到学校的实际使用中,为同学们提供便捷的服务。
参考文献
- 黄维.基于B/S模式的虚拟网络宠物安全管理体系分析[J].信息系统工程,2024,(05):4-7.
- 张宇薇.HTML5在Web前端开发中的应用[J].集成电路应用,2024,41(04):274-276.
- 邱红丽,张舒雅.基于Django框架的web项目开发研究[J].科学技术创新,2021,(27):97-98.
- 段艺,涂伟忠.Django开发从入门到实践[M].机械工业出版社:202211.635.
- 李艳杰.MySQL数据库下存储过程的综合运用研究[J].现代信息科技,2023,7(11):80-82+88.
- 肖睿,李鲲程,范效亮,等.MySQL数据库应用技术及实践[M].人民邮电出版社:202206.228.
- 明日科技.快速上手Python[M].化学工业出版社:202211.337.
- 明日科技.Python Web开发手册[M].化学工业出版社:202201.411.
- 马艳艳,吴晓光.计算机软件与数据库的设计策略分析[J].电子技术,2024,53(05):104-105.
- 李俊萌.计算机软件测试技术与开发应用策略分析[J].信息记录材料,2023,24(03):50-52.
- Liang J .Teaching Reform and Exploration of Python Programming Course Based on Knowledge Graph[J].Journal of Educational Research and Policies,2025,7(1):24-29.
- Lei L .A Probe Into the Mixed Teaching Reform of Python Language Programming[J].Journal of Electronic Research and Application,2024,8(6):66-71.
- Yang L ,Cao S ,Liu L , et al.cyclicpeptide: a Python package for cyclic peptide drug design.[J].Briefings in bioinformatics,2024,26(1):
- 冀燕丽,关典.高校学科竞赛管理系统的设计与实现——以北京科技大学为例[J].中国信息化,2024,(09):51-52+54.
- 刘婷婷,张曰花,陈红娟.高校大学生学科竞赛管理系统的设计[J].黑龙江科学,2024,15(05):119-121.
- 任嘉,徐卓农,邓飞.对高校学科竞赛管理系统改进的研究[J].科技视界,2020,(20):168-170.DOI:10.19694/j.cnki.issn2095-2457.2020.20.72.
- 方伟鉴,曾俊成,唐银翔,等.基于B/S的高校大学生学科竞赛大数据管理系统设计与实现[J].信息通信,2020,(06):164-165.
- 蒋勤德.基于OLAP技术的学科竞赛管理系统设计与实现[D].广西大学,2019.DOI:10.27034/d.cnki.ggxiu.2019.000358.
- 李炳乾.智慧型校园背景下学科竞赛系统的建设研究[J].吉林广播电视大学学报,2019,(09):120-121+160.
- 李志昕,马月坤.高校学科竞赛管理系统研发与应用[J].计算机产品与流通,2019,(09):253.
致谢
在这篇论文的撰写过程中,我深感“砥砺前行,勇往直前”的道理。正如成语所说,“千里之行,始于足下”。无论面对多么艰难的挑战,只要我们保持坚定的信念和努力的态度,就能够攻克困难,实现自己的目标。
同时,我们也要明白“世上无难事,只怕有心人”的道理。通过不断学习和积累知识,我们能够拓展自己的视野,提升自己的能力。正如一句古训所说:“读书破万卷,下笔如有神”,只有通过不断学习和锤炼才能够成为真正的专家和领导者。
在攻克困难的过程中,我们也要保持“与时俱进”的意识。正如成语所说:“时不我待”。在一个日新月异的时代,只有跟上时代的步伐,不断更新自己的知识和技能,才能立于不败之地。
最后,我要引用一句励志的名言:“成功源于自信,自信源于经验,经验源于失败”。在追求梦想的道路上,我们可能会遇到许多挫折和失败,但正是通过这些经历,我们能够积累宝贵的经验,提升自己的能力,并最终实现自己的目标。
在本文的写作过程中,这些励志的成语和名言一直激励着我,让我坚持不懈,追求卓越。希望这些励志的言辞也能够激励和鼓舞其他人,在追逐自己的梦想的道路上勇往直前,不断超越自我!
请关注点赞+私信博主,免费领取项目源码
849

被折叠的 条评论
为什么被折叠?



