1. 灰色系统
1.1 定义
“部分信息已知、部分信息未知” 的不确定系统
“全已知”(白色系统), “全未知”(黑色系统)
1.2 3个核心特征
- 信息不完全性:系统的结构、参数、边界条件、输入输出关系中,至少有一项是未知或模糊的。例:分析 “用户转化率” 系统 —— 已知影响因素有 “浏览时长、点击次数”(部分信息),但未知 “用户隐性需求、竞品干扰” 等因素(部分信息未知),因此是灰色系统。
- 数据稀疏性:系统可观测的数据量少(小样本),无法通过传统统计方法(如回归分析)捕捉规律。例:电路仿真中,受限于实验成本,仅采集到 5 组 “电阻、电容与输出电压” 的对应数据(小样本),无法用正态分布假设建模,属于灰色系统。
- 不确定性与非线性:系统内部因素之间、因素与目标之间的关系是非线性、非确定性的,无法用简单的线性方程描述。例:“传感器测量精度” 系统 —— 温度、湿度对精度的影响不是 “温度每升高 1℃,精度下降固定值”,而是复杂的非线性关系,且存在环境噪声干扰(不确定性),属于灰色系统。
2. 为什么需要灰色关联分析
传统分析方法的局限:
- 数据要求高:传统方法需要大量数据(样本量≥30)、数据服从正态分布,且要求信息完全明确;
- 抗干扰能力弱:对异常值敏感,小样本、非平稳数据(如电路瞬态测试数据、短期用户行为数据)下结果不可靠;
- 量纲依赖强:不同因素单位不同(如电压 V、温度℃、用户浏览时长 s),直接计算会导致结果偏差;
- 非线性适配差:现实中因素与目标的关系多为非线性,传统线性分析难以捕捉。
灰色关联分析正是为解决这些痛点而生 —— 它不依赖数据分布、不要求大样本,能处理模糊、不完全、非线性的系统,用简单的量化方法打通 “未知信息” 与 “已知数据” 的关联
3. 研究什么问题(会得到什么结论)
核心是解决 “多因素对单一目标的影响程度排序问题”,具体可拆解为 3 类典型问题:
- “影响因素识别” 问题:目标变量(如电路输出电压、用户转化率)受多个因素(如电阻、电容;浏览时长、点击次数)影响,需明确 “哪些因素是关键影响者”;
- “因素重要性排序” 问题:多个影响因素中,需量化 “谁的影响更显著”(如 “温度对传感器精度的影响是否比湿度大”);
- “系统趋势一致性” 问题:判断各影响因素与目标变量的变化趋势是否同步(如 “电压升高时,输出功率是否同步升高”,趋势越同步,关联度越高)。
以上是灰色关联分析的引子,下面是灰色关联分析的思想,具体的实现,以及实现细节
4. 核心思想
“趋势同步性即关联度”
“两个序列的变化趋势越同步、差异越小,它们的关联度越高;反之则越低”
5. 代码之前的理论解释和知识储备
5.1 数据
在你面前有一些数列
参考数列(母数列):反映系统行为特征的数据序列,记作
比较数列(子数列):影响系统行为因素组成的数据序列,记作
可以这样理解:参考序列看作因变量 ,比较序列看作自变量
在网上找了个例子(如图)—— 数据纯属虚构......仅用于数学分析

结婚对数是参考数列 ;房价,人均收入,女性失业数是比较数列
我们需要研究:
哪些因素是主要因素,哪些是次要因素;哪些对系统发展影响大,哪些影响小。从而进行系统分析,强化推动因素,抑制阻碍因素
整个灰色关联分析可以分成两个大的步骤:
一个是数据预处理,一个是确定灰色关联系数
5.2 数据预处理
子母数列各有特点:随年份增加,有的上升有的下降;有的指标越大越好(人均收入),有的指标越小越好(放假,女性失业数),有的指标落在某个区间最好(比如买房子,离市中心太近太吵,离市中心太远出行又不方便,在理想范围内都是满分,超过范围开始扣分),有的指标越靠近某个值越好(比如人的体温,越靠近越好)
所以我们对数据分类:分为极大型(越大越好),极小型(越小越好),中间型(越靠近理想值越好),区间型(区间内最好);其中极大型指标标也被称为——效益型指标,极小型指标也被称为——成本型指标
为了统一评价标准,我们需要将所有指标全部转为极大型,namely实现数据的正向化
5.2.1 正向化处理
极小型转极大型:
中间型转极大型:
最大差距值:
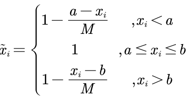
区间型转极大型:
最大差距值:
为区间左右边界

5.2.2 标准化处理
将不同量纲、不同数值范围的指标,映射到统一的数值区间(如 [0,1] 或 [-1,1]),消除数值尺度和量纲的影响
以下列举几个常见的标准化处理方法:
1. min-max 标准化(归一化,映射到 [0,1])
(原始数据,指标最大最小值,标准化后的数据)
2. z-score 标准化(标准化为均值 0、方差 1)
(
,
,
标准化后的数据)
解释:为什么这里是
明确:
大多数情况我们的统计都是抽样调查,所以 表示的是样本均值
样本均值 的性质:“最小偏差平方和性质”——对任意一个样本,样本均值 x̄是使得 “样本内所有数据与它的偏差平方和最小” 的唯一值 ,我们聚焦于“偏差平方和”,用样本均值计算“偏差平方和”一定是最小的
计算 “能反映总体真实情况的方差” 时,我们理想中想用 “总体均值 μ”,但实际只能用 “样本均值 ”,而
与总体均值或多或少存在些许细微偏差,导致低估总体方差,所以需要用 n-1 修正
数学上的修正逻辑:通过大量统计证明,当分母用 时,样本方差是总体方差
是总体方差
的 无偏估计(即样本方差的期望等于总体方差)
3. 初值化标准化
该指标的第一个数据点(初值)
标准化后的数据(起点为 1,后续数据为相对初值的倍数)
以每个指标的 “第一个数据点为基准”,所有数据除以该基准值,使序列起点统一为 1,突出数据的 “相对变化趋势”
4. 均值标准化
我们采用第四种“均值标准化”,处理完毕后的数据

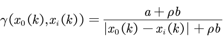
5.3 灰色关联系数

这里的两个 表示在两个维度同时取最值(其实相减之后,所有数据中的最小值最大值)

对上表中每一个元素定义为:

得到灰色关联系数,其中 为分辨系数,一般取0.5
纵列取和得到灰色关联度

灰色关联度越大,相应序列关联度就越大,对系统的影响越大
解释灰色关联度公式

分子:“最小差 + 分辨系数 * 最大差”
分母:“当前绝对差 + 分辨系数 * 最大差”
分子上面的最小差对分子值的影响不大,更大的意义是将关联系数的值域定在(0, 1]而不是(0, 1)

6. Conclusion
数学建模其实是一件很有意思的事情,Matlab也是一个很强大的工具。这里面“灰色关联系数”的公式重要吗,其实没多重要,问AI很快就能知道。我觉得更重要的是,正向化,标准化,以及没有涉及的归一化,还有 z - score 标准化中方差计算为什么用 .这些是对数据的处理方法,在概统里面,这些处理方法非常常见,大抵可以比喻成数学的树干,“灰色关联分析”更像是树的枝叶。
学数学建模的过程中,“灰色关联分析”算是印象比较深刻的存在,其实也就是因为我知道了什么是正向化,归一化,标准化,觉得特别有意思。
(最后将小厮的代码附上)
7. 代码
x = xlsread('灰色关联分析date.xlsx'); X = x'; %对矩阵进行元素的转置 %% %使用正向化和标准化的前提,必须第一行是指标,第一列是对象 disp('正向化'); vec = input('以数组形式输入待正向化的向量组,[1,2,3]表示1,2,3列需要正向化,不需要则输入-1\n'); if (vec ~= -1) % ~= 表示“不等于” for i = 1 : size(vec,2) flag = input(['第' num2str(i) '列是哪类数据(1.极小型 2.中间型 3.区间型)']); if (flag == 1) X(:,vec(i)) = min2max(X(:,vec(i))); elseif (flag == 2) best = input('请输入最适中间值:\n'); X(:,vec(i)) = mid2max(X(:,vec(i)), best); else interval = input('请输入最适区间(以"[a,b]"形式输入:\n'); X(:,vec(i)) = int2max(X(:,vec(i)),interval(1),interval(2)); end end end disp('正向化完成') %% disp('标准化'); [m,n] = size(X); square_x = (X .* X); sum_x = sum(square_x) .^ 0.5; stand_x = X ./ repmat(sum_x,m,1); disp(stand_x); disp('标准化完成'); %% disp('进行灰色关联分析'); %Method1 %gra = [res,max(res,[],1)];添加一个列向量在矩阵的右边 %添加一个行向量在矩阵的底部 gra = [stand_x; max(stand_x, [], 1)]; [r,c] = size(gra); gamma = zeros(r,c); %zero是方阵,zeros是矩阵 %对于已知规模的大型矩阵,最好提前用zeros/ones声明尺寸,再通过索引赋值 %为了在后面和gra矩阵维度匹配,这里不可以zeros(r-1,c) %gamma gra 7*9矩阵 disp('求灰色关联系数'); %一行一行拼接得到gamma for i = 1 : r gamma(i,:) = abs(gra(i,:) - gra(r,:)); end Gamma = gamma((1:r-1),:); %Method2 %一列一列拼接得到gamma %for i = 1 : c % gamma = (:,i) = abs(gra(:,i) - gra(r,i)); %end %Gamma = gamma((1:r-1),:); disp('Gamma'); Min = min(Gamma); Max = max(Gamma); Discrimination = 0.5; Coefficient = (Min + Discrimination * Max)./(Gamma + Discrimination * Max); disp('求灰色关联度'); Grade = sum(Coefficient,2)/c; disp(Grade); %% function [ret] = min2max(a)%形参,接受实参,不同函数形参可以使用相同的名称,形参具有局部作用域 ret = max(a) - a; end function [ret] = mid2max(a,mid)%形参的定义在函数声明时完成,不需要提前定义 ret = 1 - abs(a - mid) / max(abs(a - mid)); end function [ret] = int2max(s,a,b)%函数被调用时,Matlab自动根据传入的实参为形参分配内存和赋值 M = max(max(s) - b,a - min(s)); for i = 1 : size(s)%因为自动根据实参调整,所以这里直接size(s) if s(i) > b s(i) = 1 - (s(i) - b) / M; elseif s(i) < a s(i) = 1 - (a - s(i)) / M; else s(i) = 1; end end ret = s; end
1万+

被折叠的 条评论
为什么被折叠?



